16Associating Historical and Future Data with Hospitality Opportunities
Associating Historical and Future Data with Hospitality Opportunities
This chapter describes how to set up and manage historical and future opportunity information. It includes the following topics:
About Histories and Futures Functionality
The Histories and Futures functionality of Siebel Hospitality allows you to capture, aggregate, and analyze historical and future Information about meetings and other events. This information can include sleeping rooms (reserved, booked, picked up, and complimentary) at 30, 60, and 90 day intervals, food and beverage (F&B) items, function spaces, and similar data.
Siebel Hospitality can store historical and future information for multiple years in the past and future. Historical and future information is made available to help users make selling, inventory management, and forecasting decisions. Historical and future information can be sent to another property along with an initial opportunity or quote.
Users of Histories and Futures functionality might include sales managers, event managers, directors of sales, and revenue managers. Histories and Futures functionality might also be used by a global sales office (GSO), sometimes called a virtual reservation office, which books sleeping rooms, meeting rooms, group blocks, and so on, on behalf of the property.
You can capture and use historical and future information regardless of whether your property or another property fulfills the events. You can capture and use historical and future information from competitor properties, which are properties not under the same ownership as your property, and which might share only a minimum of information. You can also capture and use historical and future information from sister properties, which are properties under the same ownership as your property. Sister properties might share information, leads, employees, and management staff.
For example, suppose one of your customers held a meeting at your property last year. This customer purchased F&B items, a function space, and sleeping rooms for the meeting. This year, you can use the data from the meeting that occurred last year as a basis for booking another, similar event.
When the status of a quote becomes Definite, the record becomes historical information. After a record has reached a status of Definite, statistical information accumulates against the record. This statistical information includes, but is not limited to, room block details (blocked and actual), room revenues, and function revenues.
Histories and Futures Data
You can use Histories and Futures functionality to capture event history or future information such as the following:
Event dates
Fulfilling properties, whether sister properties or competitor properties
Total revenues, including revenues derived from rooms, rentals, and F&B items
Complimentary, suites, and comments
Room block information, including agreed, blocked, picked-up (30 day prior, 60 day prior, and 90 day prior), actuals, wash percentage, no shows, and Average Daily Rate (ADR)
Function information, if available, including agreed, expected, guaranteed, and actual attendees; equipment, audio-visual (AV), and F&B details; and comments
Housing methods, including rooming lists, individual call-ins, and so on
Scenario for Researching Historical Data
This topic gives one example of how the Histories and Futures functionality might be used. You might use Histories and Futures functionality differently, depending on your business model.
A user at a property belonging to a major hotel chain is working on a lead for a major corporate client. This client is planning a product release in the user’s town. The client has used sister properties for various events in the past. The client also conducted a similar product release last year at a competitor property in the same city.
For the product release, the client is asking for a number of rooms that will sell out the user’s entire hotel. The user wants to gather information about product release that occurred last year, and research how other events booked by this client have turned out, before reserving the entire hotel.
First, the property user contacts the competitor hotel and asks for the event history of the product release that occurred last year. The user captures the historical information provided by the competitor in the historical data views of Siebel Hospitality.
Next, the user searches the historical data views of Siebel Hospitality for other events booked by this client at sister properties to see how the client has performed against past commitments. She also views and factors in the historical information she gathered from the competitor property. If the user finds enough history information that is relevant to the product release event, she applies it to her decision. If not, she goes on to analyze the historical data views for similar events conducted by other clients to establish the trend.
The user’s research and analysis show that the client has been reasonably accurate in estimating event requirements and has consistently honored previous financial commitments. If her property is unable to accommodate this lead, the user can refer it to a sister property and pass along the history. In this case, however, the user decides that her property can accommodate the lead.
The user blocks guest rooms according to the contract terms and her judgment. Her decision is based on the historical data analysis. Depending on her judgment, the number of rooms blocked could be different from the contracted number of rooms.
Over the life span of the lead, the user and her colleagues capture details of the lead in the historical data views of Siebel Hospitality. Which details are captured is determined by predefined conditions. This information can then be used by the whole organization for future business with this client.
Process of Setting Up Histories and Futures Data
This topic lists the tasks typically performed by administrators when setting up Histories and Futures data. Your company might follow a different process according to its business requirements.
To set up Histories and Futures data, perform the following procedures:
Entering Records for Competitor Properties (Administrator)
Siebel Hospitality can capture historical and future information from competitor properties as well as for your property and its sister properties. To allow users to add historical and future records for competitor properties, you must create records for these competitor properties.
This task is a step in Process of Setting Up Histories and Futures Data.
To enter records for competitor properties
Follow the steps of Adding Property Records.
In the Property Type field, select Competitor.
Complete the other fields, as required.
Configuring Fields for Histories and Futures (Administrator)
Administrators can configure some fields in the Histories and Futures views to change or enhance the functionality according to the business model of your company. For more information about configuring fields in Siebel Business Applications, see the chapter on configuring business components in Configuring Siebel Business Applications.
This task is a step in Process of Setting Up Histories and Futures Data.
Setting Up Event Templates for Histories and Futures (Administrator)
Administrators can set up event templates to apply to opportunities, including historical and future opportunities. Event templates contain generic information that can be applied to opportunities created by users. This generic information can include associated function, room block, historical opportunity, and property records. For more information about setting up event templates, see Process of Creating Event Templates.
This task is a step in Process of Setting Up Histories and Futures Data.
Importing Historical and Future Data (Administrator)
You can import historical and future opportunities and related data into the Histories and Futures views from third-party applications. Siebel Hospitality includes the TNT History Oppty Insert Web service for importing data.
For more information about importing data into Siebel Business Applications, see the chapter on importing data in Siebel Enterprise Integration Manager Administration Guide. For more information about the TNT History Oppty Insert Web service, see Siebel CRM Web Services Reference.
This task is a step in Process of Setting Up Histories and Futures Data.
Exporting Historical and Future Data (Administrator)
Siebel Hospitality can export Histories and Futures information in several formats. For more information about exporting records from a Siebel application, see the chapter on sharing information in Siebel Fundamentals.
This task is a step in Process of Setting Up Histories and Futures Data.
Setting User Properties for Histories and Futures (Administrator)
Administrators can set user properties to modify or enhance the Histories and Futures views in Siebel Hospitality. For more information about these user properties, see User Properties for Histories and Futures.
This task is a step in Process of Setting Up Histories and Futures Data.
Process of Managing Histories and Futures Data
This topic lists the tasks typically performed by sales managers, event managers, directors of sales, and revenue managers when managing and using histories and futures records. Your company might follow a different process according to its business requirements.
To manage histories and futures records, perform the following procedures:
Entering Historical Data in the Histories Screen (User)
The Histories screen lists historical opportunities, quotes associated with a selected opportunity, and functions and room blocks associated with a selected quote. You can enter all this information to create a collection of historical data with which to associate current opportunities.
Historical opportunities are made to appear in this screen in the following ways:
You can manually enter a new opportunity and, optionally, enter associated quotes, functions, and room blocks. In this case, the historical record is editable.
When an existing quote has a status of Definite, Siebel Hospitality automatically displays the associated opportunity, the quote, and associated functions and room blocks in the Histories screen. In this case, the historical record is read only.
To manually enter a new historical opportunity, the quotes associated with the opportunity, and the functions and room blocks associated with the quotes, follow the procedures in this topic.
Entering Historical Opportunities Manually
To manually enter a historical opportunity, follow this procedure.
This task is a step in Process of Managing Histories and Futures Data.
To enter a historical opportunity manually
Navigate to the Histories screen, Histories view.
In the Historical Opportunities list, add a record.
Complete the fields, as required.
Some fields are described in the table that follows.
Field Comments Opportunity
Opportunity name from the Opportunity Capture view.
Intermediary Account
Name of the secondary account, if any.
Segment
Customer or market category classification for this opportunity.
Type
Means of classifying the opportunity, for example, Board Meeting, Job Fair, and so on.
Event Template
Event template that has been applied to this opportunity.
Peak # Rooms
Calculated field. The sum of the values of the Peak # Rooms fields of all the quotes associated with this opportunity.
Contracted Rooms
Calculated field. The sum of the Contracted Rooms fields of all the quotes associated with this opportunity.
Blocked Rooms
Calculated field. The sum of the Blocked Rooms fields of all the quotes associated with this opportunity.
Picked Up Rooms
Calculated field. The sum of the Picked Up Rooms fields of all the actualized quotes associated with this opportunity.
Actual Rooms
Calculated field. The sum of the Actual Rooms fields of all the quotes associated with this opportunity.
Projected Rooms
Calculated field. The sum of the Projected Rooms fields of all the quotes associated with this opportunity.
Complimentary Rooms
Calculated field. The sum of the Complimentary Rooms fields of all the quotes associated with this opportunity.
Locked
Select to make this record read only.
About Locking, Unlocking, and Deleting Historical Opportunities
When the Locked field of a historical opportunity record is selected, the record is locked, becoming inactive and read only. In a record that was automatically created in this view when a quote changed to Definite, Locked is automatically selected.
When a historical opportunity record is locked, it remains visible to users. However, only the creator of that record can unlock and edit it. If record was created in the Histories view, only the user who created the record in the Histories view can lock the record, or unlock and edit it. Additionally, depending on the business model of your company, the ability to lock and unlock records might be limited to users with specific permissions or responsibilities.
When a historical opportunity record is locked, only the system administrator can delete the record.
Entering Historical Quotes Manually
To manually enter a quote associated with a historical opportunity, follow this procedure.
This task is a step in Process of Managing Histories and Futures Data.
To enter a historical quote manually
Navigate to the Histories screen, histories view.
In the Historical Opportunities list, select an opportunity with which to associate a quote.
Scroll down to the center of the view.
In the Quotes list, add a quote record to the currently selected opportunity.
Complete the fields, as required.
Some fields are described in the following table.
Field Comments Property
Name of the property in which the quote event occurred. Clicking the link displays the Property screen, Properties view.
Peak # Rooms
Calculated field. Compiled from the Room Block totals associated with the current quote record.
Picked Up
Calculated field. Compiled from the Picked Up totals associated with the current quote record.
Total Revenue
Calculated field. Compiled from the revenue figures (Room Block, Functions, and so on) associated with the current quote record.
% Double Occupancy
Calculated field. The percentage of Double Rooms against Total Rooms Blocked. The calculation is as follows:
(Double Room Percent divided by Total Rooms Blocked) multiplied by 100.0
The Double Room Percent is displayed in the Quote screen, Room Block Info view, in the Double % field under the Occupancy % heading.
% No Shows
Calculated field. It is compiled from the difference between the Agreed and Actual counts.
Entering Historical Functions Manually
To manually enter a function associated with a historical quote, follow this procedure.
This task is a step in Process of Managing Histories and Futures Data.
To enter a historical function manually
Navigate to the Histories screen, histories view.
In the Historical Opportunities list, select an opportunity.
Scroll down to the center of the view.
In the Quotes list, select a quote in which to add a function.
In the Functions list, add a function record to the currently selected quote.
Complete the fields, as required.
Some fields are described in the following table.
Field Comments Room Rental Revenue
Total revenue value for the Room Rental revenue category for this function.
Food Revenue
Total revenue value for the Food revenue category for this function.
Beverage Revenue
Total revenue value for the Beverage revenue category for this function.
Entering Historical Room Blocks Manually
To manually enter a room block associated with a historical quote, follow this procedure.
This task is a step in Process of Managing Histories and Futures Data.
To enter a historical room block manually
Navigate to the Histories screen, histories view.
In the Historical Opportunities list, select an opportunity.
In the Quotes list, select a quote in which to add a room block.
Scroll down to the end of the view.
In the Room Blocks list, add a room block record to the currently selected quote.
Complete the fields, as required.
Some fields are described in the following table.
Field Comments Picked Up
Calculated field. The sum of all room types from all dates associated with the current opportunity.
30 Day Pick Up
Read only. The number of rooms picked up on the 30th day before the arrival date on the quote.
60 Day Pick Up
Read only. The number of rooms picked up on the 60th day before the arrival date on the quote.
90 Day Pick Up
Read only. The number of rooms picked up on the 90th day before the arrival date on the quote.
Actual vs Contracted
Calculated field. It is derived from the following formula:
(Actual divided by Contracted) multiplied by 100.0
Actual vs Blocked
Calculated field. It is derived from the following formula:
(Actual divided by Blocked) multiplied by 100.0
About 30, 60, and 90 Day Pick-Ups
The Room Blocks list is also referred to as the 30-60-90 day snapshot. Siebel Hospitality captures picked-up rooms data associated with event room blocks at 30, 60, and 90 days prior to the arrival date and displays these figures in the 30 Day Pick Up, 60 Day Pick Up, and 90 Day Pick Up fields. The 30, 60, and 90 day counts come from active quote records that are not yet part of the Histories and Futures records.
Siebel Hospitality captures these figures only on the 30th, 60th, and 90th days before the arrival date. For example, if an event is entered on the 75th day before the occurrence of the event, the 30 Day Pick Up, 60 Day Pick Up, and 90 Day Pick Up fields are blank. Only when the event reaches 60 and 30 days before the arrival date are the respective 60 Day Pick Up and 30 Day Pick Up fields populated. The 90 Day Pick Up field remains blank.
If an existing event is rescheduled to a date that is either sooner or later than the original date, Siebel Hospitality clears the fields, recapturing and repopulating them at the new 30th, 60th, and 90th days before arrival. For example, suppose the arrival date of an event is 45 days from today, and the event record has data for the 60th and 90th days before the arrival date. If the event is postponed to 50 days from today, the 60 Day Pick Up and 90 Day Pick Up fields are cleared, and the 30 Day Pick Up field is populated when the new 30th day before arrival occurs (that is, 20 days from today).
Associating Historical and Future Opportunities with a Present Opportunity (User)
You can compare past and future opportunities with a present opportunity by manually associating past and future opportunities with a selected, current opportunity. You can use the comparison as a basis for assessing the present opportunity.
To associate historical opportunities and future opportunities with a present opportunity, follow the procedures in this topic.
Associating Historical Opportunities with an Opportunity
To associate a historical opportunity with a present opportunity, follow this procedure.
This task is a step in Process of Managing Histories and Futures Data.
To associate a historical opportunity with an opportunity
Navigate to the Opportunities screen, then the Opportunities List view.
In the Opportunities List, locate an opportunity with which to associate a historical or future opportunity.
Click the link in the Opportunity Name field.
Click the Histories and Futures view tab.
Scroll down to the lower part of the view, and create a new record in the Historical Opportunities list.
In the Opportunity field of the historical opportunity, click the single select button.
The Add Historical Opportunities dialog box appears with a row of query fields.
Enter query criteria for the historical opportunities you might want to associate with the current opportunity, and click Go.
The Add Historical Opportunities dialog box displays a list of historical opportunities that meet the query criteria you entered.
Note: The Add Historical Opportunities dialog box displays only historical opportunities that are visible in the Histories screen.Do one of the following:
Select an existing historical opportunity to associate with the current opportunity, and click OK.
Create a new historical opportunity by clicking New, completing the fields in the Add Historical Opportunities dialog box, and clicking Save.
The opportunity you selected or created appears in the Historical Opportunities list.
To view details of a historical opportunity such as associated quotes, functions, and room blocks, drill down on the Opportunity field.
Siebel Hospitality displays details of the opportunity in the Histories view.
Associating Future Opportunities with an Opportunity
To associate a future opportunity with a present opportunity, follow this procedure.
This task is a step in Process of Managing Histories and Futures Data.
To associate a future opportunity with an opportunity
Navigate to the Opportunities screen, then the Opportunities List view.
In the Opportunities List, locate an opportunity with which to associate a historical or future opportunity.
Click the link in the Opportunity Name field.
Click the Histories and Futures view tab.
Scroll down to the lower part of the view, and create a new record in the Future Opportunities list.
In the Opportunity field of the future opportunity, click the single select button.
The Add Future Opportunities dialog box appears with a row of query fields.
Enter query criteria for the future opportunities to associate with the current opportunity, and click Go.
The Add Future Opportunities list displays a list of future opportunities that meet the query criteria you entered.
Note: The Add Future Opportunities dialog box displays only opportunities dated later than the current date.Select a future opportunity to associate with the current opportunity, and click OK.
The opportunity you selected appears in the Future Opportunities list.
To view details of a future opportunity such as associated properties, dates, and functions, drill down on the Opportunity field.
Siebel Hospitality displays details of the opportunity in the Opportunity Capture view.
Applying an Event Template to a Historical Opportunity(User)
After an opportunity has been created, you can apply an event template to define standard information about that opportunity. When you apply an event template to an opportunity, you overwrite the existing information in the opportunity with information from the template. To associate event templates with historical opportunities, follow the procedure in Applying an Event Template to an Opportunity.
This task is a step in Process of Managing Histories and Futures Data.
Sharing Historical and Future Opportunities with Another Property (User)
Depending on your responsibilities and permissions, you might have visibility only to your property or group of properties. If you want to send historical or future opportunity information for your property to a property outside your area of visibility, create a proposal draft with the historical or future opportunity information. Another user who has access to the target property can then attach the proposal to an opportunity associated with the target property. For more information about creating and managing proposals, see the chapter on proposals in Siebel Correspondence, Proposals, and Presentations Guide.
To share a historical or future opportunity with another property, follow the procedures in this topic.
Making Historical and Future Opportunities Availableto Other Properties
To make historical or future opportunity information available to other properties by adding the information to a proposal, follow this procedure.
This task is a step in Process of Managing Histories and Futures Data.
To make a historical or future opportunity available to other properties
Navigate to the Opportunities screen, then the Opportunities List view.
In the Opportunities list, query for and select a historical or future opportunity to send to another property.
In the opportunity record, click the link in the Opportunity Name field.
Click the Proposals view tab.
Follow the steps for creating a proposal and generating a proposal draft, as described in the chapter on proposals in Siebel Correspondence, Proposals, and Presentations Guide.
Siebel Hospitality exports the opportunity information to a Microsoft Word document.
Save the proposal draft document to a location on your company network that is public or accessible to the target property.
Accessing Historical and Future Opportunities from Other Properties
To access historical or future opportunity information in a proposal generated from another property, follow this procedure.
This task is a step in Process of Managing Histories and Futures Data.
To access a historical or future opportunity from another property
Navigate to the Opportunities screen, then the Opportunities List view.
In the Opportunities list, query for and select a historical or future opportunity to send to another property.
In the opportunity record, click the link in the Opportunity Name field.
Click the Proposals view tab.
In the Proposals list, add a new record.
In the Draft Name field, click the single select button.
In the Add Attachment dialog box, click Browse and navigate to the network location of the proposal document that contains the historical or future opportunity information you want to access.
Select the proposal document, and click OK.
In the Name field, enter a name for the proposal.
The historical or future opportunity information is visible to the current property in the document attachment to the opportunity.
Workflows for Histories and Futures Functionality
This topic describes the workflows for Histories and Futures functionality that are specific to Siebel Hospitality. By modifying these workflows, you can configure Histories and Futures functionality according to the business requirements of your company. For more information about workflows, and about customizing workflows, see Siebel Business Process Framework: Workflow Guide.
This topic includes the following topics:
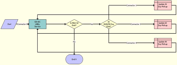
TNT Nightly 30 60 90 Day Pickup Workflow
This workflow checks for quotes whose arrival dates are 30, 60, and 90 days from the current date. It updates the 30 Day Pick Up, 60 Day Pick Up, and 90 Day Pick Up fields of their associated room block line items. The following image shows this workflow.
This workflow is started once each day through a repeating job at a specified time.

Workflow Description. This workflow performs the following actions:
SIA BC Utility Service. The workflow loops through all room block line items whose quote arrival dates are 30, 60, and 90 days from the current date.
Is RBLI Id Exist? This decision step identifies the next step in the workflow. If no room block line items are available in Step 1, the workflow goes to End. If room block line items are available in Step 1, the workflow proceeds to Step 3.
IS 30/60/90 Day Exist? If any of the room block line items exist, this workflow step checks whether the quote arrival date is 30, 60, or 90 days from the current date.
Update 30 Day Pickup. If the quote arrival date is 30 days from the current date, this workflow step updates the 30 Day Pick Up field in the Room Block Line Items BC with the current Picked Up field value.
Update 60 Day Pickup. If the quote arrival date is 60 days from the current date, this workflow step updates the 60 Day Pick Up field in the Room Block Line Items BC with the current Picked Up field value.
Update 90 Day Pickup. If the quote arrival date is 90 days from the current date, this workflow step updates the 90 Day Pick Up field in the Room Block Line Items BC with the current Picked Up field value.
Associated Business Service Methods
The following table shows the step in this workflow that calls a business service method.
Workflow Step | Business Service Method Called |
---|---|
SIA BC Utility Service |
BCNextRecord |
TNT Nightly Update History Opportunity Workflow
This workflow checks for definite quotes that have been modified and updates their associated historical opportunities. The following image shows this workflow.
This workflow is started once each day through a repeating job at a specified time.

Workflow Description. This workflow performs the following actions:
-
SIA BC Utility Service. The workflow step loops through all Definite quote records and looks for quotes whose functions, room blocks, or other associated data have been modified.
-
Is Quote Exist. If quotes that meet the requirements in Step 1 are found, this decision step continues the workflow to Step 3. If quotes that meet the requirements of Step 1 are not found, this decision step ends the workflow.
-
Invoke W/F. If any of the Definite quotes have been modified, this workflow step calls the TNT Update History Opportunity Workflow, which updates the modified data in the associated historical opportunity records.
Associated Business Service Methods
The following table shows the step in this workflow that calls a business service method.
Workflow Step | Business Service Method Called |
---|---|
SIA BC Utility Service |
BCNextRecord |
TNT Update History Opportunity Workflow
This workflow updates a historical opportunity and the data associated with the opportunity. The following image shows this workflow.
This workflow is called by the TNT Nightly Update History Opportunity Workflow.

Workflow Description. This workflow performs the following actions:
Quote - History Opty Transform. This workflow step transfers the quote-related data, which includes Opportunity, Quote, Functions, and Room Block details, to a historical opportunity using Data Map Objects.
Refresh Hierarchal Records. This workflow step calls the Refresh Hierarchal business components when hierarchal records are transferred through the Data Transfer Utilities (DTU), to maintain the hierarchy in the destination business component.
Associated Business Service Methods
The following table shows the steps in this workflow that call business service methods.
Workflow Step | Business Service Method Called |
---|---|
Quote - History Opty Transform |
DataTransfer |
Refresh Hierarchal Records |
RefreshHierchyBCs |
TNT SHM Create Function Order Workflow
This workflow creates an order for a function. If an order already exists for the function, this workflow updates the Order Id fields in the function and the function line items and navigates to the Orders screen. The following image shows this workflow.
This workflow is started when a user clicks Menu and chooses Create Function Order in the Quote screen, Function applet.

Workflow Description. This workflow performs the following actions:
Create Order Header? This workflow step checks whether or not to create order header information. If the function does not have an order, this step returns True.
Create Order Header - DTU. This workflow step creates an order with header information.
Add Func/Order Association. This workflow step associates the quote functions with the order.
Order Items Exist? If an order exists, this workflow step returns True.
Update Order Id on Line Items. If an order exists, this workflow step updates the Order Id for the function and the function line items.
Create Order Line Items - DTU. If an order does not exist, this workflow step creates an order along with the function and the function line items. The QuoteFunctionSearchSpec input argument prevents the line items for subfunctions and grandchild functions from being created twice.
Create Order Child Line Items - DTU. This workflow step associates a subfunction and the subfunction line items with the order created in the preceding step. The QuoteFunctionSearchSpec input argument prevents the line items for subfunctions and grandchild functions from being created twice.
Create Order Grand Child Line Items - DTU. This workflow step associates the grandchild function and the grandchild function line items with the order created in Step 6.
Refresh Hierarchal Order Items. When hierarchal records are transferred through the Data Transfer Utilities (DTU), then in order to maintain the hierarchy in the destination business component, the workflow calls the Refresh Hierarchal business components.
Last Record in Selection? In a multiple selection, this workflow step checks whether or not the selected record is the last record.
Go To Order Function View. If the selected record is the last record, this workflow step navigates to the Order screen, Functions view. If the selected record is not the last record, then the workflow ends and is called again for the next selected record.
Associated Business Service Methods
The following table shows the steps in this workflow that call business service methods.
Workflow Step | Business Service Method Called |
---|---|
Create Order Header - DTU |
DataTransfer |
Add Func/Order Association |
AddFunctionOrderAssoc |
Create Order Line Items - DTU |
DataTransfer |
Create Order Child Line Items - DTU |
DataTransfer |
Create Order Grand Child Line Items - DTU |
DataTransfer |
Refresh Hierarchal Order Items |
RefreshHierchyBCs |
Update Order Id on Line Items |
UpdateOrderLineItems |
Go To Order Function View |
GotoView |
TNT SHM Create One Quote Workflow
This workflow creates a quote with functions and room blocks. The following image shows this workflow.
This workflow is started when a user clicks the Create Quote button in the Opportunity screen, Capture list applet.

Workflow Description. This workflow performs the following actions:
Opty - Quote Transform. The workflow step transfers the opportunity-related data along with functions and function line items, notes, macro estimates, and concessions to the quote through Data Map Objects.
Sleeping Room Mapping. This workflow step maps generic room blocks to specific room blocks.
Refresh Hierarchal Records. When hierarchal records are transferred through the Data Transfer Utilities (DTU) to maintain the hierarchy in the destination business component, the workflow calls the Refresh Hierarchal business components.
Convert Generic Line Items. This workflow step converts generic function line items to specific function line items.
Non-Participating Property? This workflow step checks whether or not the opportunity property is a participating property.
Bypass Flag Set on this Property? If the opportunity property is a participating property, this workflow step checks whether or not the Bypass flag is set for the function.
Best Fit Function Spaces. If the Bypass flag is not set, this workflow step checks the availability of function spaces using a best-fit algorithm and reserves the available function spaces.
Reserve Sleeping Rooms. This workflow step checks the availability of sleeping rooms and reserves the available sleeping rooms.
Price Sleeping Rooms. This workflow step retrieves the price for the created property-specific sleeping rooms.
Room Rate Calculation. This workflow step creates the negotiated room records for the property-specific sleeping rooms.
Skip Function Pricing and Rollup? If the Skip Function Pricing and Rollup process property is set by the user, this workflow step skips the function pricing and rollup.
Price Functions. This workflow step retrieves the prices for the created functions and line items.
Revenue Rollup of Average Values. This workflow step rolls up the revenue of all the functions and function line items and updates the Total Quote Revenue.
Get Initial Function Revenue. If Skip Function Pricing and Rollup is set to True, this workflow step retrieves the initial function space revenue.
Auto book Critical Assets. This workflow step books the critical line items required for the functions on a specific date and time.
Update Quote Status. This workflow step sets the Status of the quote to Prospect.
Update Meal Period. After a quote is generated from an opportunity and if the function type is associated with the property in the Property Pricing Administration screen, this method updates the function type. The function type update in turn updates the read-only Meal Period field.
Associated Business Service Methods
The following table shows the steps in this workflow that call business service methods.
Workflow Step | Business Service Method Called |
---|---|
Opty - Quote Transform |
DataTransfer |
Sleeping Room Mapping |
DataTransfer |
Refresh Hierarchal Records |
RefreshHierchyBCs |
Convert Generic Line Items |
Map Generic Products |
Best Fit Function Spaces |
FSI Best Fit |
Reserve Sleeping Rooms |
Reserve SR |
Price Sleeping Rooms |
Reprice All Room Blocks |
Room Rate Calculation |
RoomRateCalculation |
Price Functions |
FnRepriceAll |
Revenue Rollup of Average Values |
RefreshAllFunctions |
Get Initial Function Revenue |
GetInitalFSRev |
Autobook Critical Assets |
Quote Book |
Update Quote Status |
Update Quote Status |
Update Meal Period |
Update Meal Period |