9 SQL*Loader制御ファイル・リファレンス
SQL*Loader制御ファイルは、SQL*Loaderジョブ用のデータ定義言語(DDL)命令を含むテキスト・ファイルです。
SQL*Loader制御ファイルを正しく使用するには、次の項目を理解することが必要です。
注意:
SQL*Loaderは制御ファイルなしで使用することもできます(これはSQL*Loaderエクスプレス・モードと呼ばれます)。詳細は、「SQL*Loaderエクスプレス」を参照してください。
- 制御ファイルの内容
SQL*Loader制御ファイルは、データ定義言語(DDL)命令を含むテキスト・ファイルです。 - 制御ファイルのコメント
コメントはファイル中のパラメータ部分のどこにでも記述できますが、データの部分には記述できません。 - 制御ファイル中でのコマンドライン・パラメータの指定
SQL*Loader制御ファイルでは、OPTIONS句を使用してコマンドライン・パラメータを指定できます。 - ファイル名およびオブジェクト名の指定
通常、オブジェクト名(表名や列名など)の指定に関して、SQL*LoaderはSQL標準規則に準拠しています。 - XMLTypeの表の識別
XMLタイプの表を識別および選択してロードするには、SQL*Loader制御ファイルでXMLTYPE句を使用します。 - フィールド順序の指定
SQL*Loader制御ファイルでFIELDNAMES句を使用して、フィールド順序を指定できます。 - データ・ファイルの指定
SQL*Loader制御ファイルを使用して、データ・ファイルのロード方法を指定する方法について説明します。 - CSV形式のファイルの指定
SQL*Loaderでカンマ区切り値形式のファイルであるデータ・ファイルにアクセスするには、CSV句を使用します。 - BEGINDATAによる制御ファイルのデータの識別
最初のデータ・レコードの前に、BEGINDATA文を指定します。 - データ・ファイル形式およびバッファリングの指定
SQL*Loaderの設定時、制御ファイルで形式およびバッファリングを指定する目的で、オペレーティング・システムに依存したファイル処理オプション文字列(os_file_proc_clause)を指定できます。 - 不良ファイルの指定
SQL*Loader不良ファイルの意味と、そのファイルの指定方法について説明します。 - 廃棄ファイルの指定
SQL*Loader廃棄ファイルの意味と、そのファイルの指定方法について説明します。 - 表レベルでのNULLIF句の指定
表の文字フィールドに特定の文字列または16進文字列が格納されているときに、そのフィールドをNULLとしてロードするには、SQL*Loaderで表レベルのNULLIF句を使用できます。 - 表レベルでの日時書式の指定
SQL*Loader制御ファイルには、表レベルで特定の日時書式を指定できます。 - 異なる文字コード体系の処理
SQL*Loaderでは、(キャラクタ・セットまたはコード・ページと呼ばれる)異なる文字コード体系がサポートされます。 - SQL*Loaderのロードの中断
SQL*Loaderのロードが中断または停止される一般的なシナリオと、そうした問題を修正するために実行できる作業について説明します。 - 物理レコードからの論理レコードの作成
この項では、物理レコードから論理レコードを作成する方法について説明します。 - 表への論理レコードのロード
SQL*Loaderで論理レコードを表にロードするための様々な方法と利用可能な方法について説明します。 - 索引オプション
SQL*Loaderによる索引エントリの作成方法を制御するには、SORTED INDEXES句とSINGLEROW句を使用できます。 - 複数のINTO TABLE句を使用するメリット
特定のSQL*Loaderユースケースで、複数のINTO TABLE句を使用する方法について例を示して説明します。 - バインド配列および従来型パス・ロード
SQL*Loaderの配列インタフェース・オプションを使用すると、表の複数の行が一度に読み取られ、バインド配列に格納されます。
親トピック: SQL*Loader
9.1 制御ファイルの内容
SQL*Loader制御ファイルは、DDL命令を含むテキスト・ファイルです。
DDLを使用して、SQL*Loaderセッションの次の項目を制御します。
-
SQL*Loaderによってロードされるデータの位置
-
SQL*Loaderによるデータ書式設定の方法
-
データのロード時のSQL*Loaderの設定(メモリー管理、拒否レコード、ロード処理の中断など)
-
SQL*Loaderによるロード中のデータの処理方法
SQL*LoaderのDDL構文図の詳細は、「SQL*Loaderの構文図」を参照してください。
SQL*Loader制御ファイルを作成するには、viやxemacsなどのテキスト・エディタを使用します。
通常、制御ファイルには、次の3つの項目が次の順序で含まれます。
-
セッション全体の情報
-
表およびフィールド・リストの情報
-
入力データ(オプションの項目)
例9-1に、サンプル制御ファイルを示します。
例9-1 サンプル制御ファイル
1 -- This is a sample control file 2 LOAD DATA 3 INFILE 'sample.dat' 4 BADFILE 'sample.bad' 5 DISCARDFILE 'sample.dsc' 6 APPEND 7 INTO TABLE emp 8 WHEN (57) = '.' 9 TRAILING NULLCOLS 10 (hiredate SYSDATE, deptno POSITION(1:2) INTEGER EXTERNAL(2) NULLIF deptno=BLANKS, job POSITION(7:14) CHAR TERMINATED BY WHITESPACE NULLIF job=BLANKS "UPPER(:job)", mgr POSITION(28:31) INTEGER EXTERNAL TERMINATED BY WHITESPACE, NULLIF mgr=BLANKS, ename POSITION(34:41) CHAR TERMINATED BY WHITESPACE "UPPER(:ename)", empno POSITION(45) INTEGER EXTERNAL TERMINATED BY WHITESPACE, sal POSITION(51) CHAR TERMINATED BY WHITESPACE "TO_NUMBER(:sal,'$99,999.99')", comm INTEGER EXTERNAL ENCLOSED BY '(' AND '%' ":comm * 100" )
このサンプル制御ファイルの左側の数字は、実際の制御ファイルでは表示されません。これらの数字は、次の説明の番号に対応しています。
-
制御ファイルにコメントを入力します。詳細は、「制御ファイルのコメント」を参照してください。
-
LOAD DATA文によって、SQL*Loaderで新しくデータ・ロードが開始されます。構文の詳細は、「SQL*Loaderの構文図」を参照してください。 -
INFILE句には、ロードするデータが入っているデータ・ファイルの名前を指定します。詳細は、「データ・ファイルの指定」を参照してください。 -
BADFILE句には、拒否レコードが書き込まれるファイルの名前を指定します。詳細は、「不良ファイルの指定」を参照してください。 -
DISCARDFILE句には、廃棄レコードが書き込まれるファイルの名前を指定します。詳細は、「廃棄ファイルの指定」を参照してください。 -
APPEND句は、空ではない表にデータをロードする場合に使用できるオプションの1つです。詳細は、「空でない表へのデータのロード」を参照してください。空の表にデータをロードするには、
INSERT句を使用します。詳細は、「空の表へのデータのロード」を参照してください。 -
INTO TABLE句を使用して、表、フィールドおよびデータ型を識別できます。この句で、データ・ファイル中のレコードとデータベース中の表の関係を定義します。詳細は、「表名の指定」を参照してください。 -
WHEN句には、1つ以上のフィールド条件を指定します。SQL*Loaderで、この条件に基づいてデータをロードするかどうかを判断します。詳細は、「条件に基づいたレコードのロード」を参照してください。 -
TRAILING NULLCOLS句を使用すると、相対位置に指定した列がレコード中に存在しない場合、その列の値はNULLとして処理されます。詳細は、「データが欠落しているショート・レコードの処理」を参照してください。 -
制御ファイルの残りの部分には、ロード中の表の列形式の詳細を参照できるフィールド・リストが含まれます。制御ファイルのセクションの詳細は、「SQL*Loaderフィールド・リスト・リファレンス」を参照してください。
親トピック: SQL*Loader制御ファイル・リファレンス
9.2 制御ファイルのコメント
コメントはファイル中のパラメータ部分のどこにでも記述できますが、データの部分には記述できません。
コメントの前にハイフンを2つ続けて記述します。次に例を示します。
--This is a comment
二重ハイフンの右側のすべてのテキストは行末まで無視されます。
親トピック: SQL*Loader制御ファイル・リファレンス
9.3 制御ファイル中でのコマンドライン・パラメータの指定
SQL*Loader制御ファイルでは、OPTIONS句を使用してコマンドライン・パラメータを指定できます。
これは、同じオプションの組合せで何度も制御ファイルを使用する場合に役立ちます。OPTIONS句は、LOAD DATA文の前に置きます。
- OPTIONS句
OPTIONS句を使用して、次のコマンドライン・パラメータを指定できます。 - 一度に評価されるデフォルト式の数の指定
SQL*LoaderのDEFAULT EXPRESSION CACHE n句を使用して、ダイレクト・パス・ロードで一度に評価されるデフォルト式の数を指定します。デフォルト値は100です。
親トピック: SQL*Loader制御ファイル・リファレンス
9.3.1 OPTIONS句
OPTIONS句では、次のコマンドライン・パラメータを指定できます。
これらのパラメータの説明は、「SQL*Loaderコマンドライン・リファレンス」を参照してください。
BINDSIZE = n
COLUMNARRAYROWS = n
DATE_CACHE = n
DEGREE_OF_PARALLELISM= {degree-num|DEFAULT|AUTO|NONE}
DIRECT = {TRUE | FALSE}
EMPTY_LOBS_ARE_NULL = {TRUE | FALSE}
ERRORS = n
EXTERNAL_TABLE = {NOT_USED | GENERATE_ONLY | EXECUTE}
FILE = tablespace file
LOAD = n
MULTITHREADING = {TRUE | FALSE}
PARALLEL = {TRUE | FALSE}
READSIZE = n
RESUMABLE = {TRUE | FALSE}
RESUMABLE_NAME = 'text string'
RESUMABLE_TIMEOUT = n
ROWS = n
SDF_PREFIX = string
SILENT = {HEADER | FEEDBACK | ERRORS | DISCARDS | PARTITIONS | ALL}
SKIP = n
SKIP_INDEX_MAINTENANCE = {TRUE | FALSE}
SKIP_UNUSABLE_INDEXES = {TRUE | FALSE}
STREAMSIZE = n
TRIM= {LRTRIM|NOTRIM|LTRIM|RTRIM|LDRTRIM}
次に、SQL*Loader制御ファイルで使用できるOPTIONS句の使用例を示します。
OPTIONS (BINDSIZE=100000, SILENT=(ERRORS, FEEDBACK) )
注意:
コマンドラインで指定したパラメータ値は、制御ファイルのOPTIONS句で指定したパラメータ値を上書きします。
親トピック: 制御ファイル中でのコマンドライン・パラメータの指定
9.3.2 一度に評価されるデフォルト式の数の指定
SQL*LoaderのDEFAULT EXPRESSION CACHE n句を使用して、ダイレクト・パス・ロードで一度に評価されるデフォルト式の数を指定します。デフォルト値は100です。
DEFAULT EXPRESSION CACHE句を使用すると、順序を含むデフォルト列式が評価される場合のパフォーマンスが大幅に向上します。
ロードが終了するとき、使用されない順序番号がキャッシュに残される場合があります。このことは、ロードする行数がnの倍数でない場合に発生することがあります。順序番号の損失を防ぐ必要がある場合は、この句に対して1の値を指定します。
親トピック: 制御ファイル中でのコマンドライン・パラメータの指定
9.4 ファイル名およびオブジェクト名の指定
通常、オブジェクト名(表名や列名など)の指定に関して、SQL*LoaderはSQL標準規則に準拠しています。
- SQLおよびSQL*Loaderの予約語と競合するファイル名
SQLおよびSQL*Loaderの予約語は、二重引用符で囲みます。 - SQL*Loader制御ファイルでのSQL文字列の指定
SQL文字列を保持するフィールド・データにSQL演算子を適用するときには、二重引用符で囲んだSQL文字列を指定する必要があります。 - オペレーティング・システムとSQL Loader制御ファイルの文字
制御ファイルで使用する文字は、オペレーティング・システムの予約文字、エスケープ文字および特殊文字の影響を受けます。
親トピック: SQL*Loader制御ファイル・リファレンス
9.4.1 SQLおよびSQL*Loaderの予約語と競合するファイル名
SQLおよびSQL*Loaderの予約語は、二重引用符で囲みます。
SQL*Loaderの予約語はCONSTANTのみです。
二重引用符は、オブジェクト名にSQLが認識可能な文字($、#、_)以外の特殊文字が含まれている場合、またはオブジェクト名に大/小文字の区別が必要な場合に使用する必要があります。
親トピック: ファイル名およびオブジェクト名の指定
9.4.2 SQL*Loader制御ファイルでのSQL文字列の指定
SQL文字列を保持するフィールド・データにSQL演算子を適用するときには、二重引用符で囲んだSQL文字列を指定する必要があります。
関連項目:
親トピック: ファイル名およびオブジェクト名の指定
9.4.3 オペレーティング・システムとSQL Loader制御ファイルの文字
制御ファイルで使用する文字は、オペレーティング・システムの予約文字、エスケープ文字および特殊文字の影響を受けます。
使用中のオペレーティング・システムが、SQL*Loader制御ファイルで使用できる文字に与える影響について説明します。
- 完全パスの指定
パス名を一重引用符で囲んで指定すると、このエラーは回避できます。 - バックスラッシュ・エスケープ文字の使用
DDL構文では、(ご使用のオペレーティング・システムでエスケープ文字の使用が許可されている場合)二重引用符の前にバックスラッシュ・エスケープ文字(\)を付けて、二重引用符で区切られた文字列の中で二重引用符を使用できます。 - 移植不能文字列
SQL*Loader制御ファイルには、オペレーティング・システム間で移植不能な、2種類の文字列があります(filename文字列およびfile processing option文字列)。 - エスケープ文字としてのバックスラッシュの使用
バックスラッシュ文字を使用して、パス名のディレクトリを区切ります。 - エスケープ文字が使用できない場合
オペレーティング・システムによっては、Oracle Databaseの移植不能文字列にエスケープ文字を使用できないことがあります。
親トピック: ファイル名およびオブジェクト名の指定
9.4.3.1 完全パスの指定
パス名を一重引用符で囲んで指定すると、このエラーは回避できます。
完全パス名を指定すると、問題が発生する場合があります。これは、特殊文字の使用が原因でオペレーティング・システム依存の非互換が発生するためです。
9.4.3.2 バックスラッシュ・エスケープ文字
DDL構文では、(ご使用のオペレーティング・システムでエスケープ文字の使用が許可されている場合)二重引用符の前にバックスラッシュ・エスケープ文字(\)を付けて、二重引用符で区切られた文字列の中で二重引用符を使用できます。
一重引用符で区切られた文字列中で一重引用符を使用する場合も、その前にバックスラッシュを付けます。
たとえば、homedir\data"norm\mydataという文字列には、二重引用符が含まれています。二重引用符の直前にバックスラッシュを付けることによって、二重引用符を文字列として使用できます。
INFILE 'homedir\data\"norm\mydata'
また、バックスラッシュを2回続けて書くことによって、バックスラッシュ自体を文字列中に表示できます。
例:
"so'\"far" or 'so\'"far' is parsed as so'"far "'so\\far'" or '\'so\\far\'' is parsed as 'so\far' "so\\\\far" or 'so\\\\far' is parsed as so\\far
注意:
先頭位置の二重引用符はエスケープできません。そのため、先頭に引用符の付く文字列は作成しないでください。
9.4.3.3 移植不能文字列
SQL*Loader制御ファイルには、オペレーティング・システム間で移植不能な、2種類の文字列があります(filename文字列およびfile processing option文字列)。
別のオペレーティング・システム用に変換した場合、これらの文字列を修正する必要があります。SQL*Loader制御ファイルのこれ以外の文字列はすべて、異なるオペレーティング・システム間で移植可能です。
9.4.3.4 エスケープ文字としてのバックスラッシュの使用
バックスラッシュ文字を使用して、パス名のディレクトリを区切ります。
オペレーティング・システムで、パス名のディレクトリを区切る文字としてバックスラッシュが使用されている場合、およびオペレーティング・システムで実行しているOracle Databaseのリリースで、ファイル名およびその他の移植不能文字列に対してバックスラッシュをエスケープ文字として使用可能な場合は、パス名のディレクトリ間の区切りにバックスラッシュを2つ続けて指定して、パス名全体を一重引用符で囲みます。
9.4.3.5 エスケープ文字が使用できない場合
オペレーティング・システムによっては、Oracle Databaseの移植不能文字列にエスケープ文字を使用できないことがあります。
オペレーティング・システムでエスケープ文字としてバックスラッシュ文字(\)が使用できない場合、バックスラッシュはエスケープ文字ではなく通常の文字として処理されます。それ以外のすべての文字列で、引き続きバックスラッシュ文字を使用できます。このオペレーティング・システムの制限の結果として、次のようなパス名は問題なく指定できます。
INFILE 'topdir\mydir\myfile'
バックスラッシュを2つ続ける必要はありません。
バックスラッシュはエスケープ文字として認識されないため、一重引用符で囲まれた文字列の中に、一重引用符で囲まれた別の文字列を埋め込むことはできません。このルールは、二重引用符の使用にも適用されます。二重引用符で囲まれた文字列は、二重引用符で区切られた他の文字列の中に埋め込むことはできません。
9.5 XMLType表の識別
XMLタイプの表を識別および選択してロードするには、SQL*Loader制御ファイルでXMLTYPE句を使用します。
Oracle Database 10gでは、SQL*Loader制御ファイルでXMLTYPE句を使用できます。形式は、XMLTYPE(フィールド名)です。この句を使用するとXMLTypeの表を識別できるため、適切なSQL文を作成できるようになります。SQL*Loader制御ファイルでXMLTYPE句を使用すると、スキーマベースのXMLType表にデータをロードできます。
例9-2 SQL*Loader制御ファイルでのXMLType表の識別
XMLスキーマ定義は次のとおりです。XMLスキーマxdb_user.xsdがOracle XML DBに登録され、表xdb_tab5が作成されます。
begin dbms_xmlschema.registerSchema('xdb_user.xsd',
'<xs:schema xmlns:xs="http://www.w3.org/2001/XMLSchema"
xmlns:xdb="http://xmlns.oracle.com/xdb">
<xs:element name = "Employee"
xdb:defaultTable="EMP31B_TAB">
<xs:complexType>
<xs:sequence>
<xs:element name = "EmployeeId" type = "xs:positiveInteger"/>
<xs:element name = "Name" type = "xs:string"/>
<xs:element name = "Salary" type = "xs:positiveInteger"/>
<xs:element name = "DeptId" type = "xs:positiveInteger"
xdb:SQLName="DEPTID"/>
</xs:sequence>
</xs:complexType>
</xs:element>
</xs:schema>',
TRUE, TRUE, FALSE); end;
/
表を定義する方法は、次のとおりです。
CREATE TABLE xdb_tab5 OF XMLTYPE XMLSCHEMA "xdb_user.xsd" ELEMENT "Employee";
次の例では、制御ファイルを使用して表xdb_tab5にデータをロードします。この制御ファイルでは、登録済のXMLスキーマxdb_user.xsdを使用してXMLTypeデータをロードします。XMLTYPE句を使用して、この表をXMLType表として識別します。表にデータをロードするために、ダイレクト・パス・モードまたは従来型モードのどちらかを使用できます。
LOAD DATA
INFILE *
INTO TABLE xdb_tab5 TRUNCATE
xmltype(xmldata)
(
xmldata char(4000)
)
BEGINDATA
<Employee> <EmployeeId>111</EmployeeId> <Name>Ravi</Name> <Salary>100000</Sal
ary> <DeptId>12</DeptId></Employee>
<Employee> <EmployeeId>112</EmployeeId> <Name>John</Name> <Salary>150000</Sal
ary> <DeptId>12</DeptId></Employee>
<Employee> <EmployeeId>113</EmployeeId> <Name>Michael</Name> <Salary>75000</S
alary> <DeptId>12</DeptId></Employee>
<Employee> <EmployeeId>114</EmployeeId> <Name>Mark</Name> <Salary>125000</Sal
ary> <DeptId>16</DeptId></Employee>
<Employee> <EmployeeId>115</EmployeeId> <Name>Aaron</Name> <Salary>600000</Sa
lary> <DeptId>16</DeptId></Employee>
関連トピック
親トピック: SQL*Loader制御ファイル・リファレンス
9.6 フィールド順序の指定
SQL*Loader制御ファイルでFIELD NAMES句を使用して、フィールド順序を指定できます。
構文は次のとおりです。
FIELD NAMES {FIRST FILE|FIRST FILE IGNORE|ALL FILES|ALL FILES IGNORE|NONE}
FIELD NAMESのオプションは次のとおりです。
-
FIRSTFILE: 最初のデータ・ファイルに、最初のレコードのデータに対応するフィールド名のリストが含まれることを示します。このリストでは、データ・ファイルのデータと同じデリミタが使用されます。レコードは、データ・ファイルのフィールドとターゲット表の列とのマッピングを設定するために読み取られます。レコードは、データが処理されるとスキップされます。これは、データ・ファイルのフィールドの順序が表の列の順序と異なる場合や、データ・ファイルのフィールドの数がターゲット表の列の数と異なる場合に役立ちます。 -
FIRSTFILEIGNORE: 最初のデータ・ファイルに、最初のレコードのデータに対応するフィールド名のリストが含まれるが、その情報は無視する必要があることを示します。レコードは、データが処理されるとスキップされますが、フィールドの設定には使用されません。 -
ALLFILES: すべてのデータ・ファイルに、最初のレコードのデータに対応するフィールド名のリストが含まれることを示します。各データ・ファイルの最初のレコードは、データが処理されるとスキップされます。フィールドは、データ・ファイルごとに異なる順序で配置できます。SQL*Loaderは、各データ・ファイルのフィールドの順序に基づいてロードを設定します。 -
ALLFILESIGNORE: すべてのデータ・ファイルに、最初のレコードのデータに対応するフィールド名のリストが含まれるが、その情報は無視する必要があることを示します。レコードは、すべてのデータ・ファイルでデータが処理されるとスキップされますが、フィールドの設定には使用されません。 -
NONE: データ・ファイルに、最初のレコードの通常のデータが含まれることを示します。これはデフォルトです。
FIELD NAMES句は、列オブジェクト、ネストした表、VARRAYなどの複合列型では使用できません。
親トピック: SQL*Loader制御ファイル・リファレンス
9.7 データ・ファイルの指定
SQL*Loader制御ファイルを使用して、データ・ファイルのロード方法を指定する方法について説明します。
- データ・ファイルの指定方法の理解
SQL*Loaderでデータ・ファイルをロードする場合は、制御ファイル内でINFILEキーワードを使用するとデータ・ファイルを指定できます。 - INFILE構文の例
次に、INFILE構文を指定する様々な方法を示します。 - 複数のデータ・ファイルの指定
1回のSQL*Loaderの実行で複数のデータ・ファイルのデータをロードする場合は、各データ・ファイルに対してINFILE句を指定します。
親トピック: SQL*Loader制御ファイル・リファレンス
9.7.1 データ・ファイルの指定方法の理解
SQL*Loaderでデータ・ファイルをロードする場合は、制御ファイル内でINFILEキーワードを使用するとデータ・ファイルを指定できます。
ロードするデータを含むデータ・ファイルを指定するには、INFILEキーワードにファイル名を続け、必要な場合はファイル処理オプション文字列を続けます。
指定する単一ファイルが複数ある場合は、INFILEキーワードを複数使用できます。ファイル名にワイルドカードを使用することもできます(アスタリスク(*)は複数文字を、疑問符(?)は1文字を表します)。
注意:
また、コマンドラインからDATAパラメータを使用してデータ・ファイルを指定することもできます。SQL*Loaderで使用可能なコマンドライン・パラメータを参照してください。コマンドラインでファイル名を指定すると、制御ファイルの最初のINFILE句が上書きされます。
ファイル名が指定されない場合は、制御ファイル名の拡張子(ファイルのタイプ)を.datにしたファイル名がデフォルトで採用されます。
ロードする必要があるデータを制御ファイル内にも記述した場合は、ファイル名にアスタリスク(*)を指定してください。この指定の詳細は、トピック「BEGINDATAによる制御ファイルのデータの識別」を参照してください。
注意:
ここで説明する内容は、プライマリ・データ・ファイルのみに適用されます。LOBFILEまたはSDFには適用されません。
INFILEの構文は次のとおりです。
次の表では、INFILEキーワードのパラメータについて説明します。
表9-1 INFILEキーワードのパラメータ
| パラメータ | 説明 |
|---|---|
|
|
データ・ファイル指定が続くことを示します。 |
|
|
データが入っているファイルの名前。ファイル名にはワイルドカードを使用できます。アスタリスク(*)は複数文字を表し、疑問符(?)は1文字を表します。例: ファイル名に空白や句読点文字が含まれている場合は、一重引用符で囲む必要があります。 |
|
|
データが制御ファイル中にある場合は、ファイル名のかわりにアスタリスク(*)を指定します。制御ファイルとデータ・ファイルにデータがあるときに、そのデータを読み取るには、最初にアスタリスクを指定する必要があります。 |
|
|
ファイル処理オプション文字列。データ・ファイルの形式を指定します。また、この指定によってデータ・ファイルの読取りを最適化できます。この文字列の構文は、ご使用のオペレーティング・システムに依存します。 |
9.7.2 INFILE構文の例
次に、INFILE構文を指定する様々な方法を示します。
-
制御ファイルにデータがある場合
INFILE *
-
デフォルトの拡張子.
datを持つファイルsampleにデータがある場合INFILE sample
-
フルパスに指定されたファイル
datafile.datにデータがある場合INFILE 'c:/topdir/subdir/datafile.dat'
注意:
ファイル名に空白やその他の句読点文字が含まれている場合は、ファイル名を一重引用符で囲む必要があります。
-
名前が
empで始まる.datタイプの任意のファイルにデータがある場合INFILE 'emp*.dat'
-
名前がmで始まり、その後に他の任意の1文字が続き、empで終わる.datタイプの任意のファイルにデータがある場合。たとえば、myemp.datという名前のファイルが次の指定に含まれます。
INFILE 'm?emp.dat'
親トピック: データ・ファイルの指定
9.7.3 複数のデータ・ファイルの指定
1回のSQL*Loaderの実行で複数のデータ・ファイルのデータをロードする場合は、各データ・ファイルに対してINFILE句を指定します。
このとき、レコードのレイアウトは同じである必要がありますが、データ・ファイルに同じファイル処理オプションは必要ありません。たとえば、最初と2番目のファイルが異なるファイル処理オプション文字列で指定されていても、3番目のファイルが制御ファイル中のデータで構成されていても実行することができます。
各データ・ファイルに、個別の不良ファイルおよび廃棄ファイルを指定することもできます。このような場合、個別の不良ファイルおよび廃棄ファイルは、各データ・ファイル名の直後に宣言する必要があります。次に、4つのデータ・ファイルを個別の不良ファイルおよび廃棄ファイルとともに指定している制御ファイルの例を示します。
INFILE mydat1.dat BADFILE mydat1.bad DISCARDFILE mydat1.dis INFILE mydat2.dat INFILE mydat3.dat DISCARDFILE mydat3.dis INFILE mydat4.dat DISCARDMAX 10 0
-
mydat1.datでは、不良ファイルと廃棄ファイルの両方が明示的に指定されています。したがって、必要に応じて両方のファイルが作成されます。 -
mydat2.datでは、不良ファイルも廃棄ファイルも指定されていません。そのため、不良ファイルのみが必要に応じて作成されます。不良ファイルが作成された場合、デフォルトのファイル名および拡張子mydat2.badが使用されます。一方、廃棄ファイルについては、行が廃棄されても廃棄ファイルは作成されません。 -
mydat3.datでは、必要に応じてデフォルトの不良ファイルが作成されます。また、必要に応じて、指定された名前の廃棄ファイル(mydat3.dis)も作成されます。 -
mydat4.datでは、必要に応じてデフォルトの不良ファイルが作成されます。DISCARDMAXオプションが指定されているため、SQL*Loaderによって廃棄ファイルが使用されることを前提として、廃棄ファイルがデフォルト名(mydat4.dsc)で作成されます。
親トピック: データ・ファイルの指定
9.8 CSV形式のファイルの指定
SQL*Loaderでカンマ区切り値形式のファイルであるデータ・ファイルにアクセスするには、CSV句を使用します。
これによって、ファイルは、通常の改行文字列(たとえば、UNIXまたはLinuxオペレーティング・システムの場合は\n、Windowsオペレーティング・システムの場合は\nまたは\r\n)を含むストリーム・レコード形式のファイルであるとみなされます。データ値にはレコード終了記号含める(埋め込む)ことができます。CSV句の構文は次のとおりです。
FIELDS CSV [WITH EMBEDDED|WITHOUT EMBEDDED] [FIELDS TERMINATED BY ','] [OPTIONALLY ENCLOSED BY '"']
FIELDS CSV句の主なポイントは次のとおりです。
-
SQL*Loaderのデフォルトでは、
FIELDSCSV句を使用しません。 -
WITHEMBEDDEDおよびWITHOUTEMBEDDEDオプションでは、データのフィールド内にレコード終了記号が含まれている(埋め込まれている)かどうかを指定します。 -
WITHEMBEDDEDを使用する場合、埋込みのレコード終了記号は囲む必要があり、データ・ファイル内の並列度は外部表ロードでは無効になります。 -
TERMINATED BY ','およびOPTIONALLY ENCLOSED BY '"'オプションはデフォルトのため、指定する必要はありません。これらは別の終了記号や囲み文字で上書きできます。 -
CSV句を使用する場合、区切ることが可能なデータ型のみが制御ファイルのフィールドとして許可されます。区切ることが可能なデータ型には、CHAR、日時、期間および数値型EXTERNALが含まれます。 -
CSV句を指定する場合、
TERMINATEDBYおよびENCLOSEDBY句は、フィールド・レベルでは使用できません。 -
CSV句を指定すると、通常のSQL*Loaderの空白の切捨てがデフォルトで実行されます。PRESERVEBLANKSを指定すると、空白の切捨てを回避できます。または、フィールド指定でSQL関数のLTRIMおよびRTRIMを使用すると、左側または右側(あるいはその両方)の空白を削除できます。 -
CSV句を指定する場合、INFILE *句は使用できません。つまり、SQL*Loader制御ファイルに含まれているデータは使用できません。
次のサンプルSQL*Loader制御ファイルでは、デフォルトのデリミタでFIELDS CSV句を使用しています。
LOAD DATA INFILE "mydata.dat" TRUNCATE INTO TABLE mytable FIELDS CSV WITH EMBEDDED TRAILING NULLCOLS ( c0 char, c1 char, c2 char, )
親トピック: SQL*Loader制御ファイル・リファレンス
9.9 BEGINDATAによる制御ファイルのデータの識別
最初のデータ・レコードの前に、BEGINDATA文を指定します。
データが制御ファイルにある場合、ファイル名ではなくアスタリスクがINFILE句の後に続きます。実際のデータは、ロード構成の指定後、制御ファイルに書き込まれます。
構文は次のとおりです。
BEGINDATA
first_data_record
BEGINDATA文を使用する場合は、次のことに注意してください。
-
制御ファイルにデータが含まれているにもかかわらず、
BEGINDATA文を省略すると、SQL*Loaderでデータが制御情報として解釈されるため、エラー・メッセージが発行されます。データが個別ファイルにある場合は、BEGINDATA文は使用できません。 -
BEGINDATAを含む行がデータの先頭行として解釈されてしまうため、BEGINDATA文と同じ行には、空白またはその他の文字を入力しないでください。 -
コメントもデータとして解釈されてしまうため、
BEGINDATAの後に続けて記述しないでください。関連項目:
-
INFILEの使用例については、「データ・ファイルの指定」を参照してください -
「事例1: 可変長データのロード」(事例の使用方法については、「SQL*Loaderの事例」を参照)
-
親トピック: SQL*Loader制御ファイル・リファレンス
9.10 データ・ファイル形式およびバッファリングの指定
SQL*Loaderの設定時、制御ファイルの形式およびバッファリングの指定に対して、オペレーティング・システムに依存したファイル処理オプション文字列(os_file_proc_clause)を制御ファイルに指定できます。
たとえば、ご使用のオペレーティング・システムに、次のようなオプション文字列の構文があるとします。
この構文では、RECSIZEは固定長レコードのサイズ、BUFFERSは非同期I/Oを行うためのバッファ数です。
mydata.datというファイルを80バイトのレコードを含むファイルとして宣言し、SQL*LoaderのI/O処理で使用されるバッファ数を8とする場合は、次の制御ファイルのエントリを使用します。
INFILE 'mydata.dat' "RECSIZE 80 BUFFERS 8"
注意:
この例では、ファイル名に一重引用符を使用し、その他の指定には二重引用符を使用しています。
関連項目:
Windowsシステムでのos_file_proc_clauseの使用方法については、『Oracle Databaseプラットフォーム・ガイド for Microsoft Windows』を参照してください。
親トピック: SQL*Loader制御ファイル・リファレンス
9.11 不良ファイルの指定
SQL*Loader不良ファイルの意味と、そのファイルの指定方法について説明します。
- 不良ファイルの理解と指定
SQL*Loaderを実行すると、不良ファイルまたは拒否ファイルと呼ばれるファイルが生成されることがあります。これらのファイルには、書式エラーまたはOracleエラーの発生が原因でロードを拒否されたレコードが格納されます。 - 不良ファイル名指定の例
不良ファイルを使用する例です。 - LOBFILEおよびSDFを使用した不良ファイルの処理方法
LOBFILEおよびSDFのデータは、拒否された行がある場合、不良ファイルには書き込まれません。 - 拒否レコードの条件
この項では、レコードを拒否する条件について説明します。
親トピック: SQL*Loader制御ファイル・リファレンス
9.11.1 不良ファイルの理解と指定
SQL*Loaderを実行すると、不良ファイルまたは拒否ファイルと呼ばれるファイルが生成されることがあります。これらのファイルには、書式エラーまたはOracleエラーが発生したためにロードを拒否されたレコードが格納されます。
不良ファイルが作成されるように指定すると、次の処理が発生します。
- レコードが1つ以上拒否された場合、不良ファイルが作成され、拒否レコードがログに記録されます。
- レコードが1つも拒否されない場合、不良ファイルは作成されません。
- 不良ファイルが作成される場合、同じ名前の既存のファイルは上書きされます。そのため、残しておきたいファイルが上書きされないようにする必要があります。
注意:
一部のシステムでは、同じ名前のファイルがすでに存在する場合でも、新しいバージョンのファイルが作成される場合があります。
不良ファイルの名前を指定する場合は、BADFILE句を使用します。また、コマンドラインからBADパラメータを使用して不良ファイルを指定することもできます。
コマンドラインで指定したファイル名は、制御ファイルの最初のINFILE句に関連付けられます。この関連付けにより、その句の一部として以前に指定された不良ファイルが存在する場合は、そのファイルがオーバーライドされます。
生成される不良ファイルのファイル形式やレコード形式は、データ・ファイルと同じです。そのため、データを修正した後そのまま再ロードできます。ストリーム・レコード形式のデータ・ファイルに関しては、データ・ファイルにあるレコード終了記号が不良ファイル内でも使用されます。
BADFILE句の構文は次のとおりです。
BADFILE句は、その後に不良ファイルのディレクトリ・パスまたはファイル名(あるいはその両方)が続くことを指定します。BADFILEを指定した場合、ディレクトリ・パス、ファイル名またはこの両方を指定する必要があります。
directoryパラメータには、不良ファイルの書込み先となるディレクトリ・パスを指定します。
filenameパラメータには、使用するプラットフォームに有効なファイル名を指定します。ファイル名に空白やその他の句読点文字が含まれている場合は、一重引用符で囲む必要があります。不良ファイルの名前を指定しなかった場合は、デフォルトで、データ・ファイル名に拡張子(またはファイル・タイプ).badを付けたものがファイル名になります
関連トピック
親トピック: 不良ファイルの指定
9.11.2 不良ファイル名指定の例
不良ファイルを使用する例です。
ファイル名sampleおよびデフォルトのファイル拡張子(またはファイル・タイプ) .badで不良ファイルを指定するには、制御ファイルで次のように入力します。
BADFILE sample
ディレクトリ名のみを指定するには、制御ファイルで次のように入力します。
BADFILE '/mydisk/bad_dir/'
ファイル名bad0001およびファイル拡張子(またはファイル・タイプ) .rejで不良ファイルを指定するには、制御ファイルで次のいずれかの行を入力します。
BADFILE bad0001.rej BADFILE '/REJECT_DIR/bad0001.rej'
親トピック: 不良ファイルの指定
9.11.3 LOBFILEおよびSDFを使用した不良ファイルの処理方法
LOBFILEおよびSDFのデータは、拒否された行がある場合、不良ファイルには書き込まれません。
LOBのロード中にエラーが発生した場合、その行は拒否されません。この場合、LOB列は、空のまま(NULLではなく長さが0(ゼロ)バイト)になります。ただし、LOBFILEを使用してXML列をロードし、このLOBデータのロード中にエラーが発生した場合、XML列はNULLになります。
親トピック: 不良ファイルの指定
9.11.4 拒否レコードの条件
この項では、レコードを拒否する条件について説明します。
レコードは、次の理由で拒否されます。
-
レコードの挿入時に、指定されたデータ型と実際のデータが適合しないなどのOracleエラーが発生する場合。
-
レコードが不適切にフォーマットされて、SQL*Loaderがフィールドの境界を検索できない場合。
-
レコードが制約に違反するか、または一意の索引を非一意にしようとする場合。
デリミタの指定が不適切であっても、WHEN句の指定条件に基づいてデータを評価できる場合は、条件判断が行われ、データが挿入または拒否されます。
前述のリストの2番目の理由でロードが拒否された場合、従来型パス・ロードでもダイレクト・パス・ロードでも表に行は書込みできません。
前述のリストの1番目または3番目の理由でいずれかの表に違反がある場合、従来型パス・ロードでは、表に行は書込みできません。行はその表に対して拒否され、拒否ファイルに書き込まれます。
従来型パス・ロードでは、データ・ファイルのレコードが複数の表にロードされているときに1つ以上の表から拒否されると、そのレコードはいずれの表にもロードされません。
ログ・ファイルには、拒否レコードそれぞれについてのOracleエラー情報が記録されます。拒否レコードの例の詳細は、事例4を参照してください。(事例の使用方法については、「SQL*Loaderの事例」を参照してください。)
親トピック: 不良ファイルの指定
9.12 廃棄ファイルの指定
SQL*Loader廃棄ファイルの意味と、そのファイルの指定方法について説明します。
- 廃棄ファイルの指定と理解
ロード条件を満たさないレコードがある場合、SQL*Loaderを実行すると、廃棄ファイルが生成されることがあります。 - 制御ファイルでの廃棄ファイルの指定
ファイルの名前を指定するには、DISCARDFILE句にディレクトリ・パスまたはファイル名(あるいはその両方)を続けます。 - 廃棄レコード数の上限付け
DISCARDSまたはDISCARDMAXキーワードにintegerを指定して、各データ・ファイルに対して廃棄されるレコード数を制限できます。 - 廃棄ファイル名指定の例
次に、制御ファイル内から廃棄ファイルの名前を指定する様々な方法を示します。 - 廃棄レコードの条件
レコードに対してINTO TABLE句が指定されていない場合、そのレコードは廃棄されます。 - LOBFILEおよびSDFを使用した廃棄ファイルの処理方法
LOBFILEおよびSDFのデータは、廃棄された行がある場合も、廃棄ファイルには書き込まれません。 - コマンドラインからの廃棄ファイルの指定
この項では、コマンドラインから廃棄ファイルを指定する方法について説明します。
親トピック: SQL*Loader制御ファイル・リファレンス
9.12.1 廃棄ファイルの理解と指定
ロード条件を満たさないレコードがある場合、SQL*Loaderを実行すると、廃棄ファイルが生成されることがあります。
このファイルに出力されたレコードは廃棄レコードと呼ばれます。廃棄レコードは、制御ファイル中のWHEN句の指定を満たすことができなかったものです。これらのレコードは、拒否レコードとは異なります。廃棄レコードに必ず不良データがあるとはかぎりません。また、廃棄レコードに対して、挿入は行われません。
廃棄ファイルは次の規則に従って生成されます。
-
廃棄ファイル名を指定し、1つ以上のレコードが制御ファイルに指定したすべての
WHEN句の条件に満たない場合に生成されます。(廃棄ファイルが生成されると、同じ名前の既存のファイルは上書きされることに注意してください。) -
廃棄レコードがない場合、廃棄ファイルは生成されません。
制御ファイル内で廃棄ファイルを指定するには、そのディレクトリまたは名前(またはその両方)を指定するか、廃棄の最大数を指定します。次のいずれかの句により、廃棄ファイルが必要に応じて作成されます。
-
DISCARDFILE=[[directory/][filename]] -
DISCARDS -
DISCARDMAX
生成される廃棄ファイルのファイル形式やレコード形式は、データ・ファイルと同じです。ストリーム・レコード形式のデータ・ファイルに関しては、データ・ファイルにあるレコード終了記号が廃棄ファイル内でも使用されます。
DISCARDパラメータまたはDISCARDMAXパラメータを指定することで、コマンドラインから廃棄ファイルを作成することもできます。
制御ファイルまたはコマンドラインにDISCARD句がない場合、廃棄レコード(つまり、制御ファイルのWHEN句で指定の事項を満たしていないもの)がある場合でも廃棄ファイルは作成されません。
関連トピック
親トピック: 廃棄ファイルの指定
9.12.2 制御ファイルでの廃棄ファイルの指定
ファイルの名前を指定するには、DISCARDFILE句にディレクトリ・パスまたはファイル名(あるいはその両方)を続けます。
DISCARDFILE句は、その後に廃棄ディレクトリ・パスまたはファイル名(あるいはその両方)が続くことを指定します。directory_pathもfilenameも必須ではありません。ただし、少なくとも1つを指定する必要があります。
directoryパラメータには、廃棄ファイルの書込み先となるディレクトリを指定します。
filenameパラメータには、使用するプラットフォームに有効なファイル名を指定します。ファイル名に空白やその他の句読点文字が含まれている場合は、一重引用符で囲む必要があります。
デフォルトのファイル名は、データ・ファイル名にデフォルトのファイル拡張子(またはファイル・タイプ).dscを付けたものが採用されます。廃棄ファイル名をコマンドラインから指定した場合は、制御ファイル中で指定されたファイル名よりも、コマンドラインからの指定ファイル名が優先されます。生成される廃棄ファイルと同じ名前のファイルがすでに存在する場合は、既存ファイルが上書きされるか、新しいバージョンのファイルが生成されます。どちらの処理が行われるかは、使用するオペレーティング・システムによって異なります。
親トピック: 廃棄ファイルの指定
9.12.3 廃棄レコード数の上限付け
DISCARDSまたはDISCARDMAXキーワードにintegerを指定して、各データ・ファイルに対して廃棄されるレコード数を制限できます。
親トピック: 廃棄ファイルの指定
9.12.4 廃棄ファイル名指定の例
次に、制御ファイル内から廃棄ファイルの名前を指定する様々な方法を示します。
-
ファイル名
circularおよびデフォルトのファイル拡張子(またはファイル・タイプ).dscで廃棄ファイルを指定するには、次のとおり入力します。DISCARDFILE
circular -
ファイル名
notapplおよびファイル拡張子(またはファイル・タイプ).mayで廃棄ファイルを指定するには、次のとおり入力します。DISCARDFILE notappl.may
-
廃棄ファイル
forget.meにフルパスを指定するには、次のとおり入力します。DISCARDFILE '/discard_dir/forget.me'
親トピック: 廃棄ファイルの指定
9.12.5 廃棄レコードの条件
レコードに対してINTO TABLE句が指定されていない場合、そのレコードは廃棄されます。
レコードの廃棄は、SQL*Loader制御ファイル中に記述されたすべてのINTO TABLE句がWHEN句を持っていて、レコードがそれらのどの条件にも該当しない場合、またはすべてのフィールドがNULLである場合に発生します。
INTO TABLE句がWHEN句なしで指定されている場合、レコードは廃棄されません。すべてのレコードに関して、指定の表への挿入が試みられます。このとき、レコードが拒否されることはありますが、廃棄されることはありません。
「事例7: 書式化されたレポートからのデータの抽出」に廃棄ファイルの使用例があります。(事例の使用方法については、「SQL*Loaderの事例」を参照してください。)
親トピック: 廃棄ファイルの指定
9.12.6 LOBFILEおよびSDFを使用した廃棄ファイルの処理方法
LOBFILEおよびSDFのデータは、廃棄された行がある場合も、廃棄ファイルには書き込まれません。
親トピック: 廃棄ファイルの指定
9.13 表レベルでのNULLIF句の指定
表の文字フィールドに特定の文字列または16進文字列が格納されているときに、そのフィールドをNULLとしてロードするには、SQL*Loaderで表レベルのNULLIF句を使用できます。
SQL*Loader制御ファイルでのNULLIFの構文は、次のとおりです。
NULLIF {=|!=}{"char_string"|x'hex_string'|BLANKS}
char_stringおよびhex_stringの値は、一重引用符または二重引用符で囲む必要があります。
この指定は、NULLIF句がフィールド・レベルで指定されていないかぎり、マップされた文字フィールドごとに使用されます。フィールド・レベルで指定されたNULLIF句は、表レベルで指定されたNULLIF句に優先します。
SQL*Loaderは、レコードのフィールドの値に基づいて、指定された値を確認します。等号または不等号の指定を使用して一致した場合、その行ではフィールドがNULLに設定されます。空白の切捨て後に長さが0になったフィールドも、すべてNULLに設定されます。
デフォルトのNULLIFまたは他の任意のNULLIF句をフィールドに適用しない場合、フィールド・レベルでNO NULLIFを指定できます。
関連トピック
親トピック: SQL*Loader制御ファイル・リファレンス
9.14 表レベルでの日時書式の指定
SQL*Loader制御ファイルにおいて、表レベルで特定の日時書式を指定できます。
各構文は次のとおりです。
DATE FORMAT mask TIMESTAMP FORMAT mask TIMESTAMP WITH TIME ZONE mask TIMESTAMP WITH LOCAL TIME ZONE mask
この指定は、異なるマスクがフィールド・レベルで指定されていないかぎり、日付またはタイムスタンプ・フィールドごとに使用されます。フィールド・レベルで指定されたマスクは、表レベルで指定されたマスクに優先します。
次に、SQL*Loader制御ファイルでのDATE FORMAT句の使用例を示します。DATE FORMAT句は、hiredateおよびentrydateフィールドのフィールド・レベルのDATEによって上書きされます。
LOAD DATA
INFILE myfile.dat
APPEND
INTO TABLE EMP
FIELDS TERMINATED BY ","
DATE FORMAT "DD-Month-YYYY"
(empno,
ename,
job,
mgr,
hiredate DATE,
sal,
comm,
deptno,
entrydate DATE)関連項目:
-
フィールド・レベルで日時データ型を指定する方法の詳細は、「日時データ型と期間データ型」を参照してください
親トピック: SQL*Loader制御ファイル・リファレンス
9.15 異なる文字コード体系の処理
SQL*Loaderでは、(キャラクタ・セットまたはコード・ページと呼ばれる)異なる文字コード体系がサポートされます。
SQL*Loaderでは、Oracleグローバリゼーション・サポート・テクノロジの機能を使用して、様々な文字コード体系(シングルバイトおよびマルチバイト)を扱うことができます。
次の項では、サポートしている文字コード体系について簡単に説明します。
- マルチバイト(アジア系言語)・キャラクタ・セット
マルチバイト・キャラクタ・セットは、アジア系言語をサポートするために使用されます。 - Unicodeキャラクタ・セット
SQL*Loaderでは、Unicodeキャラクタ・セットのデータのロードがサポートされています。 - データベース・キャラクタ・セット
SQLでデータを格納するためにOracle Databaseで使用可能なキャラクタ・セットは、特定の仕様を満たしている必要があります。 - データ・ファイル・キャラクタ・セット
デフォルトでは、データ・ファイルには、NLS_LANGパラメータで定義されているキャラクタ・セットが使用されます。 - SQL*Loaderによる入力文字の変換
データ・ファイルのインポート時には、デフォルトのキャラクタ・セットを使用することも、キャラクタ・セットを変更することもできます。 - シフト・センシティブ文字データ
通常、シフト・センシティブ文字データのロードは、ASCIIデータまたはEBCDICデータのロードに比べて非常に遅くなります。
親トピック: SQL*Loader制御ファイル・リファレンス
9.15.1 マルチバイト(アジア系言語)・キャラクタ・セット
マルチバイト・キャラクタ・セットは、アジア系言語をサポートするために使用されます。
データをマルチバイト形式でロードしたり、データベース・オブジェクト名(フィールド、表など)をマルチバイト文字で指定することもできます。制御ファイルでは、コメントおよびオブジェクト名にもマルチバイト文字を使用できます。
親トピック: 異なる文字コード体系の処理
9.15.2 Unicodeキャラクタ・セット
SQL*Loaderでは、Unicodeキャラクタ・セットのデータのロードがサポートされています。
Unicodeは、エンコーディングされたユニバーサル・キャラクタ・セットであり、単一のキャラクタ・セットでほとんどの言語による情報の格納をサポートします。Unicodeでは、プラットフォーム、プログラムまたは言語に関係なく、すべての文字に一意のコード値が指定されます。Unicodeには、2つの異なるエンコーディング(UTF-16およびUTF-8)が存在します。
注意:
-
このマニュアルでは、UTF-16およびUTF16の両方の用語が使用されています。UTF-16という用語は、一般的にUnicodeのUTF-16エンコーディングを意味します。UTF16(ハイフンなし)という用語は、キャラクタ・セットの固有の名前で、UTF-16エンコーディングの使用時に
CHARACTERSETパラメータに指定する必要のある用語です。UTF-8およびUTF8の場合も同様です。UnicodeのUTF-16エンコーディングは、固定幅マルチバイト・エンコーディングで、文字コード0x0000から0x007fは、シングルバイトASCIIコードの0x00から0x7fと同じ意味です。
UnicodeのUTF-8エンコーディングは、可変幅マルチバイト・エンコーディングで、文字コード0x00から0x7fがASCIIと同じ意味です。UTF-8の文字は1バイト、2バイトまたは3バイトの長さになります。
-
データベースのキャラクタ・セットには、AL32UTF8を使用することをお薦めします。AL32UTF8は、UnicodeのUTF-8エンコーディングの適切な実装です。Oracle Database12cリリース2以降では、Oracle Universal Installer (OUI)およびOracle Database Configuration Assistant (DBCA)を使用してデータベースを作成する際、デフォルトのデータベース・キャラクタ・セットとしてAL32UTF8が使用されます。
-
UTF8はUnicodeのUTF-8エンコーディングの適切な実装ではないため、データベース・キャラクタ・セットとしてUTF8を使用しないでください。UTF-8処理が予期されている場合にUTF8キャラクタ・セットが使用されると、データの消失およびセキュリティの問題が発生する場合があります。このことは、XMLやURLアドレスなどのWeb関連データに特に該当します。
-
AL32UTF8およびUTF8キャラクタ・セットは、最大文字幅が異なる(1文字当たり4バイトに対して3バイト)ため、相互に互換性がありません。
関連項目:
-
「事例11: Unicodeキャラクタ・セットのデータのロード」(事例の使用方法については、「SQL*Loaderの事例」を参照)
-
Unicodeのエンコーディングの詳細は、『Oracle Databaseグローバリゼーション・サポート・ガイド』を参照してください。
親トピック: 異なる文字コード体系の処理
9.15.3 データベース・キャラクタ・セット
SQLでデータを格納するためにOracle Databaseで使用可能なキャラクタ・セットは、特定の仕様を満たしている必要があります。
Oracle Databaseでは、SQLのCHARデータ型(CHAR、VARCHAR2、CLOBおよびLONG)に格納されたデータ、表名などの識別子、SQL文およびPL/SQLソース・コードに対して、データベース・キャラクタ・セットが使用されます。
シングルバイト・キャラクタ・セットおよびASCII文字またはEBCDIC文字のいずれかを含む可変幅キャラクタ・セットのみがデータベース・キャラクタ・セットとしてサポートされます。マルチバイト固定幅キャラクタ・セット(たとえば、AL16UTF16)は、データベース・キャラクタ・セットとしてサポートされません。
SQLのNCHARデータ型(NCHAR、NVARCHAR2およびNCLOB)に格納されたデータ用のデータベースでは、代替キャラクタ・セットを使用できます。代替キャラクタ・セットは、データベース各国語キャラクタ・セットと呼ばれます。Unicodeキャラクタ・セットのみが、データベース各国語キャラクタ・セットとしてサポートされます。
親トピック: 異なる文字コード体系の処理
9.15.4 データ・ファイル・キャラクタ・セット
デフォルトでは、データ・ファイルには、NLS_LANGパラメータで定義されているキャラクタ・セットが使用されます。
NLS_LANGでサポートされているデータ・ファイル・キャラクタ・セットは、データベース・キャラクタ・セットとしてサポートされているものと同じです。SQL*Loaderでは、データ・ファイル内のOracleでサポートされているすべてのキャラクタ・セットがサポートされます(データベース・キャラクタ・セットとしてサポートされていないものもサポートされます)。
たとえば、SQL*Loaderでは、データ・ファイル内のマルチバイト固定幅キャラクタ・セット(AL16UTF16、JA16EUCFIXEDなど)がサポートされます。また、SQL*Loaderでは、リトル・エンディアン・バイト順序によるUTF-16エンコーディングもサポートされます。ただし、Oracle Databaseでは、ビッグ・エンディアン・バイト順序によるUTF-16エンコーディング(AL16UTF16)のみが、データベース・キャラクタ・セットとしてではなく、データベースの各国語キャラクタ・セットとしてのみサポートされます。
データ・ファイルのキャラクタ・セットは、NLS_LANGパラメータ、またはSQL*LoaderのCHARACTERSETパラメータを使用して設定できます。
親トピック: 異なる文字コード体系の処理
9.15.5 SQL*Loaderによる入力文字の変換
データ・ファイルのインポート時には、デフォルトのキャラクタ・セットを使用することも、キャラクタ・セットを変更することもできます。
- SQL*Loaderを使用したキャラクタ・セット変換のオプション
SQL*Loaderで別のデータベースにデータをロードするときには、データのキャラクタ・セットを変換できます。 - VARRAYまたは主キー・ベースREFへのデータ・ロード時の考慮事項
この項では、VARRAYまたは主キー・ベースREFにデータをロードする場合の考慮事項について説明します。 - CHARACTERSETパラメータ
CHARACTERSETパラメータを指定して、SQL*Loaderに入力データ・ファイルのキャラクタ・セットを示します。 - 制御ファイル・キャラクタ・セット
SQL*Loader制御ファイル自体のキャラクタ・セットは、NLS_LANGパラメータで指定されているセッション・キャラクタ・セットであることが前提です。 - 文字長セマンティクス
バイト長セマンティクスは、UTF16キャラクタ・セット(デフォルトで文字長セマンティクスを使用します)を使用するデータ・ファイル以外のすべてのデータ・ファイルのデフォルトです。
親トピック: 異なる文字コード体系の処理
9.15.5.1 SQL*Loaderを使用したキャラクタ・セット変換のオプション
SQL*Loaderで別のデータベースにデータをロードするときには、データのキャラクタ・セットを変換できます。
CHARACTERSETパラメータを使用してキャラクタ・セットを指定していない場合は、NLS_LANGパラメータで定義されたセッション・キャラクタ・セットが、すべてのデータ・ファイルのデフォルトのキャラクタ・セットになります。ただし、入力データ・ファイルで使用するキャラクタ・セットは、CHARACTERSETパラメータを指定して変更することもできます。
入力データ・ファイルのキャラクタ・セットが、データ・ファイルのキャラクタ・セットおよびデータベースのキャラクタ・セットまたはデータベースの各国語キャラクタ・セットと異なる場合、SQL*Loaderでは自動的にデータ・ファイルのキャラクタ・セットを変換できます。
データのキャラクタ・セット変換が必要な場合、ターゲットのキャラクタ・セットは、ソースのデータ・ファイル・キャラクタ・セットのスーパーセットである必要があります。そうでない場合、ターゲット・キャラクタ・セットに同じ文字がない文字は、置換文字(通常、疑問符(?)などのデフォルトの文字)に変換されます。この置換文字への変換によって、データが失われます。
データベースの文字型CHARおよびVARCHAR2のサイズは、バイト(バイト長セマンティクス)または文字(文字長セマンティクス)で指定できます。バイト単位で指定され、データ・キャラクタ・セットの変換が必要な場合、変換される文字のソース・キャラクタ・セットより多くのバイトがターゲット・キャラクタ・セットに必要になると、変換後の値はソースの値より大きくなることがあります。この変換により、ターゲットの大きい値がデータベースの列のサイズを超える場合、次のエラー・メッセージがレポートされます。
ORA-01401: inserted value too large for column
この問題は、データベースの列サイズを文字単位で指定するか、制御ファイルの文字サイズを使用してデータを記述することでも回避できます。また、最大列サイズがバイト単位で、変換後の値を保持できる大きさであることを確認する方法もあります。
親トピック: SQL*Loaderによる入力文字の変換
9.15.5.2 VARRAYまたは主キー・ベースREFへのデータ・ロード時の考慮事項
この項では、VARRAYまたは主キー・ベースREFにデータをロードする場合の考慮事項について説明します。
SQL*Loaderの従来型パスまたはOracle Call Interface(OCI)を使用して、VARRAYまたは主キー・ベースREFに、データベース・キャラクタ・セットとは異なるキャラクタ・セットのデータをロードする場合は、次のような問題が発生する可能性があります。
-
データベースの列に対してフィールドが大きすぎるという理由で、実際には大きすぎない場合でも、行が拒否される可能性があります。
-
大きすぎるフィールドのみが拒否されるロード処理で、1行もロードされないまま異常終了する可能性があります。
-
主キー・ベース
REF列をSQL*Plusで選択した場合、それらの列が空白として返されるにもかかわらず、行が正しくロードされたようにレポートされる可能性があります。
これらの問題を回避するには、データをロードする前にNLS_LANG環境変数を使用して、クライアントのキャラクタ・セットをデータベース・キャラクタ・セットに設定します。
親トピック: SQL*Loaderによる入力文字の変換
9.15.5.3 CHARACTERSETパラメータ
CHARACTERSETパラメータを指定して、SQL*Loaderに入力データ・ファイルのキャラクタ・セットを示します。
CHARACTERSETパラメータが指定されていない場合、すべてのデータ・ファイルに対するデフォルトのキャラクタ・セットは、NLS_LANGパラメータで定義されたセッション・キャラクタ・セットです。文字データ(SQL*Loaderデータ型のCHAR、VARCHAR、VARCHARC、数値型EXTERNALおよび日時データ型と期間データ型のフィールド)のみが、データ・ファイルのキャラクタ・セットに影響されます。
CHARACTERSETの構文は次のとおりです。
CHARACTERSET char_set_name
char_set_name変数で、キャラクタ・セット名を指定します。通常、指定された名前はOracleがサポートしているキャラクタ・セットの名前である必要があります。
UnicodeのUTF-16エンコーディングの場合は、名前はAL16UTF16でなくUTF16を使用します。AL16UTF16(UTF-16エンコードされたデータに対してサポートされるOracleキャラクタ・セット名)は、ビッグ・エンディアンのバイト順序のUTF-16データにのみ使用されます。ただし、データ・ファイルを作成したシステムのバイト順序を使用してデータを設定することが許可されているため、データ・ファイル内のデータはビッグ・エンディアンまたはリトル・エンディアンのいずれかにできます。このため、異なるキャラクタ・セット名(UTF16)が使用されます。また、キャラクタ・セット名AL16UTF16もサポートされています。ただし、リトル・エンディアンのバイト順序のデータ・ファイルにAL16UTF16を指定すると、SQL*Loaderによって警告メッセージが発行され、データ・ファイルはリトル・エンディアンとして処理されます。
CHARACTERSETパラメータは、LOBFILEおよびSDFのみでなくプライマリ・データ・ファイルに対しても指定できます。すべてのプライマリ・データ・ファイルは同じキャラクタ・セットとみなされます。INFILEパラメータの前に指定されるCHARACTERSETパラメータは、プライマリ・データ・ファイルのリスト全体に適用されます。CHARACTERSETパラメータがプライマリ・データ・ファイルに対して指定される場合、指定された値は、LOBFILEおよびSDFのデフォルトとしても使用されます。LOBFILEまたはSDF仕様でCHARACTERSETパラメータを指定すると、デフォルト設定は上書きされます。
CHARACTERSETパラメータで指定されたキャラクタ・セットは、制御ファイルのINFILE句で指定されたデータには適用されません。制御ファイルは、常に、NLS_LANGパラメータで指定されているセッション・キャラクタ・セットを使用して処理されます。したがって、NLS_LANGパラメータで指定されているセッション・キャラクタ・セット以外のキャラクタ・セットでデータをロードするには、そのデータを別のデータ・ファイルに置く必要があります。
関連項目:
-
サポートされているキャラクタ・セット名の詳細は、『Oracle Databaseグローバリゼーション・サポート・ガイド』を参照してください
-
リトル・エンディアンのUTF-16でエンコーディングされたデータを含むデータ・ファイルをロードする例については、「事例11: Unicodeキャラクタ・セットのデータのロード」を参照してください。(事例の使用方法については、「SQL*Loaderの事例」を参照してください。)
親トピック: SQL*Loaderによる入力文字の変換
9.15.5.4 制御ファイル・キャラクタ・セット
SQL*Loader制御ファイル自体のキャラクタ・セットは、NLS_LANGパラメータで指定されているセッション・キャラクタ・セットであることが前提です。
制御ファイル・キャラクタ・セットがデータ・ファイル・キャラクタ・セットと異なる場合は、次のことに注意してください。SQL*Loader制御ファイルで文字列として指定されたデリミタおよび比較句の値は、比較が行われる前に、制御ファイル・キャラクタ・セットからデータ・ファイル・キャラクタ・セットに変換されます。正しく指定するには、文字列値ではなく16進文字列を指定してください。
16進文字列がUnicodeのUTF-16エンコーディングのデータ・ファイルで使用される場合、ビッグ・エンディアンのシステムとリトル・エンディアンのシステムでバイト順序が異なります。たとえば、ビッグ・エンディアンのシステムでは、UTF-16の「,」(カンマ)はX'002c'です。リトル・エンディアンのシステムではX'2c00'です。SQL*Loaderでは、常に、ビッグ・エンディアン形式で16進文字列を指定する必要があります。必要に応じて、比較が行われる前に、SQL*Loaderによってバイトが交換されます。これによって、ビッグ・エンディアンおよびリトル・エンディアンの両システム上の制御ファイルで同じ構文を使用することができます。
UnicodeのUTF-16エンコーディングのストリーム形式のデータ・ファイルで使用されるレコード終了記号のデフォルトは、UTF-16では「\n」(ビッグ・エンディアンのシステムでは0x000Aで、リトル・エンディアンのシステムでは0x0A00)です。INFILE行上の"STR 'char_str'"指定または "STR x'hex_str'"指定を使用して、これらのデフォルト設定を上書きできます。たとえば、次のいずれかの行を使用して、'\n'のかわりに'ab'をレコード終了記号として使用できます。
INFILE myfile.dat "STR 'ab'" INFILE myfile.dat "STR x'00410042'"
BEGINDATA文の後に指定するデータも、NLS_LANGパラメータで指定されたセッション・キャラクタ・セットであることが前提です。
SQL*Loaderのデータ型(CHAR、VARCHAR、VARCHARC、DATEおよび数値型EXTERNAL)に関して、SQL*Loaderでは、バイト単位(バイト長セマンティクス)または文字単位(文字長セマンティクス)のいずれかで指定される文字フィールドの長さがサポートされます。たとえば、制御ファイルでのCHAR(10)指定は、10バイトまたは10文字を意味します。データ・ファイルでシングルバイト・キャラクタ・セットが使用されている場合、これらは同じです。ただし、データ・ファイルでマルチバイト・キャラクタ・セットが使用されている場合、異なることもあります。
キャラクタ・セット変換中に文字列の拡張によって発生する挿入エラーを回避するには、データ・ファイルおよびターゲット・データベースの列の両方で文字長セマンティクスを使用します。
親トピック: SQL*Loaderによる入力文字の変換
9.15.5.5 文字長セマンティクス
バイト長セマンティクスは、UTF16キャラクタ・セット(デフォルトで文字長セマンティクスを使用します)を使用するデータ・ファイル以外のすべてのデータ・ファイルのデフォルトです。
デフォルトに上書きするには、次の構文で示すとおり、CHARまたはCHARACTERを指定します。
LENGTHパラメータは、SQL*Loader制御ファイルのCHARACTERSETパラメータの後に置かれます。LENGTHパラメータは、プライマリ・データ・ファイルに関する構文の指定のみではなく、LOBFILEデータ・ファイルおよびセカンダリ・データ・ファイル(SDF)にも適用されます。INFILEパラメータの前のLENGTH指定は、プライマリ・データ・ファイルのリスト全体に適用されます。プライマリ・データ・ファイルに対するLENGTH指定は、LOBFILEおよびSDFに対するデフォルトとして使用されます。LOBFILEおよびSDF仕様でLENGTHを指定することによって、デフォルトを上書きできます。CHARACTERSETパラメータとは異なり、LENGTHパラメータは、制御ファイル内に含まれるデータ(INFILE *構文)に適用されます。
LENGTHパラメータに対しては、CHARのかわりにCHARACTERを指定できます。
文字長セマンティクスがSQL*Loaderのデータ・ファイルに対して使用されている場合は、次のSQL*Loaderデータ型で文字長セマンティクスが使用されます。
-
CHAR -
VARCHAR -
VARCHARC -
DATE -
数値型
EXTERNAL(INTEGER、FLOAT、DECIMALおよびZONED)
VARCHARデータ型では、長さサブフィールドはバイナリのSMALLINT長さサブフィールドです。ただし、その値は文字単位の文字列の長さを示します。
次のデータ型では、データ・ファイルで文字長セマンティクスが使用されていてもバイト長セマンティクスを使用します。これは、データがバイナリであるか、またはZONEDおよびDECIMALの場合は、特別にバイナリにエンコーディングされた形式であるためです。
-
INTEGER -
SMALLINT -
FLOAT -
DOUBLE -
BYTEINT -
ZONED -
DECIMAL -
RAW -
VARRAW -
VARRAWC -
GRAPHIC -
GRAPHIC EXTERNAL -
VARGRAPHIC
POSITIONパラメータの開始引数および終了引数は、文字長セマンティクスがデータ・ファイルで使用されていても、バイト単位で解釈されます。これは、異なるデータ型のデータが混在するデータ・ファイル(一部では文字長セマンティクスを使用し、一部ではバイト長セマンティクスを使用する)を処理する場合に必要です。SMALLINT長さフィールドおよび文字データを含むVARCHARデータ型で位置を処理する場合にも必要です。SMALLINT長さフィールドは、システムによって一定のバイト数(通常、2バイト)を必要とします。ただし、その値は、文字列の長さを文字単位で示します。
データ・ファイルの文字長セマンティクスは、データベースの列で文字長セマンティクスが使用されているかどうかに関係なく使用できます。したがって、データ・ファイルおよびデータベースの列で、同じまたは異なる長さのセマンティクスを使用できます。
親トピック: SQL*Loaderによる入力文字の変換
9.15.6 シフト・センシティブ文字データ
通常、シフト・センシティブ文字データのロードは、ASCIIデータまたはEBCDICデータのロードに比べて非常に遅くなります。
シフト・センシティブ文字データを最速でロードするには、デリミタのない固定位置フィールドを使用します。パフォーマンスを向上させるには、次の点に注意してください。
-
フィールド・データに、同数のシフトアウト/シフトイン・バイトが含まれる必要があります。
-
フィールドは、シングルバイト・モードで開始および終了する必要があります。
-
最初のバイトをシフトアウト、最後のバイトをシフトインにできます。
-
最初と最後の文字は、マルチバイトにできません。
-
空白が保存され、マルチバイトの空白を確認する必要がある場合、より遅いパスが使用されます。これは、シングルバイトの空白の削除が実行された後、シフトイン・バイトがフィールドの最後のバイトとなる場合に、発生する可能性があります。
親トピック: 異なる文字コード体系の処理
9.16 SQL*Loaderのロードの中断
SQL*Loaderのロードが中断または停止される一般的なシナリオと、そうした問題を修正するために実行できる作業について説明します。
- SQL*Loaderのロードが中断される原因の理解
ロードは、ターゲットOracle Databaseへのデータのロードに関連する領域エラーなどのエラーで中断されることがあります。 - 中断された従来型パス・ロード
従来型パス・ロードでは、データが中断される前にデータの一部のみがロードされていた場合、最後のコミットの時点までに処理されたデータのみがロードされます。 - 中断されたダイレクト・パス・ロード
ダイレクト・パス・ロードでは、中断されたロードの動作は、ロードが中断された理由によって異なります。 - ロードの中断後の表および索引の状態
ロードが中断されると、すでにロードされたデータはそのまま表に残り、その表は有効な状態のままとなります。 - ログ・ファイルを使用したロード状態の確認
SQL*Loaderのログ・ファイルには、表や索引の状態、および入力データ・ファイルから読み込まれた論理レコード数の情報が記録されます。 - 単一表へのロードの継続
中断されたSQL*Loaderのロードを継続する場合には、SKIPパラメータを使用できます。
親トピック: SQL*Loader制御ファイル・リファレンス
9.16.1 SQL*Loaderのロードが中断される原因の理解
ロードは、ターゲットOracle Databaseへのデータのロードに関連する領域エラーなどのエラーで中断されることがあります。
領域エラーは、データベース・ロードのエラーの主な原因です。領域エラーの場合、SQL*Loaderによってデータ行または索引エントリのための領域がすべて使用されています。エラーの最大数を超えた場合、サーバーからSQL*Loaderに予期しないエラーが返された場合、レコードがデータ・ファイルに対して長すぎた場合、または[Ctrl]キーを押しながら[C]キーを押した場合にも、ロードが中断されます。
ロードが中断された場合のSQL*Loaderの動作は、ロードのモードが従来型パス・ロードかダイレクト・パス・ロードか、およびロードが中断された理由によって異なります。また、中断されたロードを継続する場合、SKIPパラメータを使用するかどうか、およびこのパラメータに指定する値は、状況によって異なります。
関連トピック
親トピック: SQL*Loaderのロードの中断
9.16.2 中断された従来型パス・ロード
従来型パス・ロードでは、データが中断される前にデータの一部のみがロードされていた場合、最後のコミットの時点までに処理されたデータのみがロードされます。
従来型パス・ロードでは、バインド配列のすべてのデータがすべての表にロードされた後で、データがコミットされます。
ロードが中断された場合は、直前のコミット操作の時点までに処理された行のみがロードされます。データの部分コミットは行われません。
親トピック: SQL*Loaderのロードの中断
9.16.3 中断されたダイレクト・パス・ロード
ダイレクト・パス・ロードでは、中断されたロードの動作は、ロードが中断された理由によって異なります。
次の各項では、ロードが中断された理由について説明します。
- 領域エラーによって中断されたロード
領域エラーが原因でロードが中断されたときのSQL*Loaderの動作は、データを複数のサブパーティションにロード中だったかどうかで異なります。 - エラーが最大数を超えたことによって中断されたロード
エラーが最大数を超えると、SQL*Loaderによって、すべての表へのレコードのロードが停止され、その時点までに終了している処理がコミットされます。 - 致命的エラーによって中断されたロード
致命的エラーが発生した場合は、ロードが停止されます。ロードの開始時にROWSが指定されていないかぎり、データは保存されません。 - [Ctrl]キーを押しながら[C]キーを押すことによって中断されたロード
SQL*Loaderによるデータの保存中に[Ctrl]キーを押しながら[C]キーを押すと、データの保存は継続され、保存の完了後にロードが停止されます。
親トピック: SQL*Loaderのロードの中断
9.16.3.1 領域エラーによって中断されたロード
領域エラーが原因でロードが中断されたときのSQL*Loaderの動作は、データを複数のサブパーティションにロード中だったかどうかで異なります。
-
データを複数のサブパーティションにロードしているとき(パーティション表、コンポジット・パーティション表、またはコンポジット・パーティション表の1つのパーティションにロードしているとき)に領域エラーが発生した場合
複数のサブパーティションへのロード中に領域エラーが発生した場合、ロードは中断され、
ROWSが指定されていなければデータは保存されません(この場合、コミット済のデータはすべて保存されます)。このような動作は、行が順不同にロードされる可能性を考慮したためです。順不同になるのは、それぞれの行が順序を考慮せずにパーティションに割り当てられ、そのパーティションが別々にロードされることが原因です。パーティションに割り当てられているすべての行がロードされる前にロードが中断されると、レコード番号nの行はロードされていても、レコード番号n-1の行がロードされていない可能性があります。したがって、単純にSKIP=Nを使用するだけではロードを続行できません。
-
非パーティション表、パーティション表の1つのパーティション、またはコンポジット・パーティション表の1つのサブパーティションにデータをロードしているときに、領域エラーが発生した場合
制御ファイルに記述されている
INTO TABLE文が1つの場合、SQL*Loaderは、エラーが発生する前にロードされていた行と同じ数の行をコミットします。制御ファイルに
INTO TABLE文が複数ある場合、SQL*Loaderは、データ・ファイルから他の表に読取り済のデータをロードし、そのデータをコミットします。いずれの場合も、この動作は、
ROWSパラメータが指定されていたかどうかに関係なく実行されます。ロードを継続する場合は、SKIPパラメータを使用して、ロード済の行をスキップできます。INTO TABLE文が複数あった場合は、それぞれの表に異なる数の行がロードされている可能性があります。したがって、ロードを継続するには、表ごとに異なるSKIPパラメータの値を指定することが必要な場合があります。SKIPパラメータの値がすべての表で同じ場合にのみ、SQL*Loaderによってその値が報告されます。
親トピック: 中断されたダイレクト・パス・ロード
9.16.3.2 エラーが最大数を超えたことによって中断されたロード
エラーが最大数を超えると、SQL*Loaderによって、すべての表へのレコードのロードが停止され、その時点までに終了している処理がコミットされます。
ロードを継続する場合、SKIPパラメータに指定する値は表によって異なります。SKIPパラメータの値がすべての表で同じ場合にのみ、SQL*Loaderによってその値が報告されます。
親トピック: 中断されたダイレクト・パス・ロード
9.16.3.3 致命的エラーによって中断されたロード
致命的エラーが発生した場合は、ロードが停止されます。ロードの開始時にROWSが指定されていないかぎり、データは保存されません。
指定されている場合、コミット済のすべてのデータが保存されます。SKIPパラメータの値がすべての表で同じ場合にのみ、SQL*Loaderによってその値が報告されます。
親トピック: 中断されたダイレクト・パス・ロード
9.16.3.4 [Ctrl]キーを押しながら[C]キーを押すことによって中断されたロード
SQL*Loaderによるデータの保存中に[Ctrl]キーを押しながら[C]キーを押すと、データの保存は継続され、保存の完了後にロードが停止されます。
データを保存中でない場合は、コミットされていない処理をコミットせずにロードが停止されます。つまり、SKIPパラメータの値は、すべての表で同じになります。
親トピック: 中断されたダイレクト・パス・ロード
9.16.4 ロードの中断後の表および索引の状態
ロードが中断されると、すでにロードされたデータはそのまま表に残り、その表は有効な状態のままとなります。
従来型パスを使用した場合、すべての索引は有効な状態のままとなります。
ダイレクト・パス・ロード方法を使用した場合は、表の索引はすべて使用禁止状態のままになります。このような索引は、継続処理をする前、またはロードが再開されすべて終了した後に、再構築または再作成できます。
これ以外の索引は、他にエラーが発生していないかぎり有効です。索引が使用禁止状態のままになるその他の理由については、「使用禁止状態(Index Unusable)のままの索引」を参照してください。
親トピック: SQL*Loaderのロードの中断
9.16.5 ログ・ファイルを使用したロード状態の確認
SQL*Loaderのログ・ファイルには、表や索引の状態、および入力データ・ファイルから読み込まれた論理レコード数の情報が記録されます。
これらの情報は、中断されたロードを再開する場合に利用できます。
親トピック: SQL*Loaderのロードの中断
9.16.6 単一表へのロードの継続
中断されたSQL*Loaderのロードを継続する場合には、SKIPパラメータを使用できます。
ダイレクト・パス・ロードまたは従来型パス・ロードを、終了前にSQL*Loaderで中断する必要がある場合は、すでにコミットされているか、またはセーブポイントが付けられている行が存在しています。
中断されたロードを継続するには、SKIPパラメータを使用して、前回のロードによってすでに処理されている論理レコードの数を指定します。ロードの中断時に、次のようなメッセージ形式でログ・ファイルにSKIPの値が書き込まれます。
Specify SKIP=1001 when continuing the load.
SKIPパラメータの値を指定するこのメッセージの前には、ロードが中断された理由を示すメッセージが書き込まれています。
複数表へのロードの場合は、SKIPパラメータの値がすべての表で同じ場合にのみ、値が表示されます。
関連トピック
親トピック: SQL*Loaderのロードの中断
9.17 物理レコードからの論理レコードの作成
この項では、物理レコードから論理レコードを作成する方法について説明します。
複数の物理レコードを1つの論理レコードに結合するには、対象とするデータによって、次の句のうちの1つを指定します。
-
CONCATENATE -
CONTINUEIF
- CONCATENATEを使用した論理レコードの作成
常に一定の数の物理レコードを結合して1つの論理レコードを構成する場合、CONCATENATEを使用します。 - CONTINUEIFを使用した論理レコードの作成
CONTINUEIFは、結合する物理レコードの数が異なる場合に使用します。
親トピック: SQL*Loader制御ファイル・リファレンス
9.17.1 CONCATENATEを使用した論理レコードの作成
常に一定の数の物理レコードを結合して1つの論理レコードを構成する場合、CONCATENATEを使用します。
次の例では、integerによって結合する物理レコードの数を指定します。
CONCATENATE integer
CONCATENATEに指定されたinteger値によって、SQL*Loaderで列配列の各行に割り当てられる物理レコード構造の数が決まります。ダイレクト・パス・ロードでは、COLUMNARRAYROWSのデフォルト値が大きいため、CONCATENATEにも大きい値を指定すると、メモリーの過剰割当てが発生する可能性があります。この場合は、COLUMNARRAYROWSパラメータの値を小さくして列配列の行の数を減らすことによって、パフォーマンスを向上できます。
親トピック: 物理レコードからの論理レコードの作成
9.17.2 CONTINUEIFを使用した論理レコードの作成
CONTINUEIFは、結合する物理レコードの数が異なる場合に使用します。
CONTINUEIF句を使用する場合は、後に条件を指定します。この条件は、各物理レコードが読み込まれるたびに評価されます。たとえば、2つのレコードがあって、その最初のレコードの80バイト目にシャープ記号(#)がある場合、2つのレコードは結合されます。この場合、指定の位置に他の文字があると、2番目のレコードは最初のレコードに結合されません。
次に、CONTINUEIFの完全な構文を示します。この構文で、さらに柔軟な処理を実行できます。
表9-2では、CONTINUEIF句のパラメータについて説明します。
表9-2 CONTINUEIF句のパラメータ
| パラメータ | 説明 |
|---|---|
|
|
現在のレコードについて条件が真のとき、次の物理レコードを読み込んで現在のレコードに連結します。この処理は、条件が偽になるまで繰り返されます。条件が偽になると、現在の物理レコードが現在の論理レコードを構成する最後の物理レコードになります。 |
|
|
次のレコードで条件が真になると、現在の物理レコードを現在の論理レコードに連結します。この処理は、条件が偽になるまで繰り返されます。 |
|
|
サポートされているのは等号演算子(=)と不等号演算子(!= または<>)です。 等号演算子を指定すると、フィールドと比較文字列が完全に一致したときに、条件が真となります。不等号演算子を指定した場合は、どの文字が異なっていても、条件は真となります。 |
|
|
レコードの最後の文字(空白以外)に対して、
|
|
|
物理レコード中の列の開始番号と終了番号です。 列番号は1から始まります。ハイフンまたはコロンを使用することもできます(
|
|
|
startとendで定義された継続フィールドと比較する文字列です。比較演算の内容は、operatorで指定された演算子によって異なります。文字列は一重引用符または二重引用符で囲みます。文字列は1文字ずつ比較され、必要があれば、空白埋め文字が右側に追加されます。 |
|
|
16進形式で指定された文字列で、使用方法は |
|
|
論理レコードには' |
CONTINUEIF句の中で指定する位置は、各物理レコード中の位置を示します。物理レコード中の位置が参照されるのは、この場合のみです。これ以外の場合、参照先は論理レコードとなります。
CONTINUEIF THISおよびCONTINUEIF LASTでは、PRESERVEパラメータを指定しない場合、論理レコードの作成時にすべての物理レコードから継続フィールドが削除されます。継続フィールドが読み込まれるまでは、データは同じ論理レコードに連結します。たとえば、CONTINUEIF THIS(3:5)='***'を指定すると、3から5までの位置がすべてのレコードから削除されます。つまり、レコードの3から5までの位置にある継続文字が削除されます。また、3から5までの位置にある文字は、継続文字が3から5までの位置にない場合でもレコードから削除されます。
CONTINUEIF THISおよびCONTINUEIF LASTでは、PRESERVEパラメータを使用した場合、論理レコードの作成時にすべての物理レコードに継続フィールドが保持されます。
CONTINUEIF LASTは、CONTINUEIF THISおよびCONTINUEIF NEXTとは異なります。CONTINUEIF LASTでは、継続フィールドの位置がレコードごとに異なり、PRESERVEが指定されていない場合でも、継続フィールドは削除されません。
例9-3から例9-6に、PRESERVEパラメータの有無にかかわらず、CONTINUEIF THISおよびCONTINUEIF NEXTの使用例を示します。
例9-3 PRESERVEパラメータを使用しないCONTINUEIF THIS
ここで、物理レコードは次のような14バイトのレコードとします。また、ピリオドは空白を表します。
%%aaaaaaaa....
%%bbbbbbbb....
..cccccccc....
%%dddddddddd..
%%eeeeeeeeee..
..ffffffffff..
次の例では、CONTINUEIF THIS句にPRESERVEパラメータは使用されていません。
CONTINUEIF THIS (1:2) = '%%'
したがって、論理レコードは次のように作成されます。
aaaaaaaa....bbbbbbbb....cccccccc....
dddddddddd..eeeeeeeeee..ffffffffff..
列1および列2(たとえば、物理レコード1の%%)は、論理レコード作成時に物理レコードから削除されることに注意してください。
例9-4 PRESERVEパラメータを使用するCONTINUEIF THIS
例9-3の物理レコードと同じ物理レコードがあるとします。
次の例では、CONTINUEIF THIS句にPRESERVEパラメータが使用されています。
CONTINUEIF THIS PRESERVE (1:2) = '%%'
したがって、論理レコードは次のように作成されます。
%%aaaaaaaa....%%bbbbbbbb......cccccccc....
%%dddddddddd..%%eeeeeeeeee....ffffffffff..
列1および列2は、論理レコード作成時に物理レコードから削除されないことに注意してください。
例9-5 PRESERVEパラメータを使用しないCONTINUEIF NEXT
ここで、物理レコードは次のような14バイトのレコードとします。また、ピリオドは空白を表します。
..aaaaaaaa....
%%bbbbbbbb....
%%cccccccc....
..dddddddddd..
%%eeeeeeeeee..
%%ffffffffff..
次の例では、CONTINUEIF NEXT句にPRESERVEパラメータは使用されていません。
CONTINUEIF NEXT (1:2) = '%%'
したがって、論理レコードは次のように作成されます(例9-3と同じ結果)。
aaaaaaaa....bbbbbbbb....cccccccc....
dddddddddd..eeeeeeeeee..ffffffffff..例9-6 PRESERVEパラメータを使用するCONTINUEIF NEXT
例9-5の物理レコードと同じ物理レコードがあるとします。
次の例では、CONTINUEIF NEXT句にPRESERVEパラメータが使用されています。
CONTINUEIF NEXT PRESERVE (1:2) = '%%'
したがって、論理レコードは次のように作成されます。
..aaaaaaaa....%%bbbbbbbb....%%cccccccc....
..dddddddddd..%%eeeeeeeeee..%%ffffffffff..関連項目:
CONTINUEIF句の例は、「事例4: 結合された物理レコードのロード」を参照してください。(事例の使用方法については、「SQL*Loaderの事例」を参照してください。)
親トピック: 物理レコードからの論理レコードの作成
9.18 表への論理レコードのロード
SQL*Loaderで論理レコードを表にロードするための様々な方法と利用可能な方法について説明します。
SQL*Loaderのオプションを使用すると、次の事項を制御する様々な方法を選択できます。
- ロードする表の指定方法
- 表にロードするレコードの選択
- レコードに対するデフォルトのデータ・デリミタの指定
- データが欠落しているショート・レコードの処理に使用できるオプション
- 表名の指定
LOADDATA文のINTOTABLE句を使用して、表、フィールドおよびデータ型を識別できます。 - INTO TABLE句
SQL*LoaderのINTO TABLE句が持つ様々な機能の1つに、データのロード先となる表を指定する機能があります。 - 表固有のロード方法
表のロード時に、INTOTABLE句を使用して、表固有のロード方法(INSERT、APPEND、REPLACEまたはTRUNCATE)を指定できます。指定したロード方法は、その表のみに適用されます。 - INSERTを使用した空の表へのデータのロード
空の表にデータをロードするには、INSERTオプションを使用します。 - 空でない表へのデータのロード
SQL*Loaderを使用して空でない表にデータをロードするときには、既存の表に対する追加、置換または切捨てを実行できます。 - 表固有のOPTIONSパラメータ
パラレル・ロードでは、個々の表に対してOPTIONSパラメータを指定できます。(このパラメータは、パラレル・ロードの場合のみ有効です)。 - 条件に基づいたレコードのロード
WHEN句を使用して論理レコード中の条件をテストし、その論理レコードをロードするか廃棄するかを選択できます。 - LOBFILEおよびSDFでのWHEN句の使用
この項では、LOBFILEおよびSDFでWHEN句を使用する方法について説明します。 - デフォルトのデータ・デリミタ(区切り記号)の指定
データ・ファイル中のデータ・フィールドがすべて同じ文字で終了している場合、FIELDS句を使用してデフォルトの終了デリミタおよび囲みデリミタを指定できます。 - 指定のフィールドが欠落しているレコードの処理
SQL*Loader制御ファイルで指定したフィールドが欠落しているレコードをロードするときに、SQL*Loaderでは、該当するフィールドをNULLとして指定することも、エラーを報告することもできます。
親トピック: SQL*Loader制御ファイル・リファレンス
9.18.1 表名の指定
LOAD DATA文のINTO TABLE句を使用して、表、フィールドおよびデータ型を識別できます。
この句で、データ・ファイル中のレコードとデータベース中の表の関係を定義します。フィールドやデータ型の指定については後述します。
親トピック: 表への論理レコードのロード
9.18.2 INTO TABLE句
SQL*LoaderのINTO TABLE句が持つ様々な機能の1つに、データのロード先となる表を指定する機能があります。
用途
データのロード先となる表を指定し、データのロード方法を制御します。
複数の表にロードするには、それぞれの表に対してINTO TABLE句を指定する必要があります。
INTO TABLE句を記述する場合、キーワードINTO TABLEの次に、データを受け取るOracle Databaseの表名を指定します。
使用上の注意
表にデータがすでに存在する場合、SQL*Loaderで新しい行が表に追加されます。データが存在しない場合には、単に新しい行がロードされます。
APPENDオプションを使用するには、SELECT権限が必要です。
SQL*Loaderがデータを表にロードするデフォルトの方法は、INSERTです。この方法を使用するには、ロード前に表を空にする必要があります。SQL*Loaderを実行して、INSERT権限を持つが、SELECT権限は持たない表をロードする場合、INSERTモードは失敗し、ORA-1031: SYSDBAとして接続するのに十分な権限がありませんというエラーが表示されます。ただし、APPENDモードを使用すると正常に動作します。
制限事項
データのロード先の表として指定する表はすでに存在している必要があります。表名がSQLまたはSQL*Loaderの予約済キーワードと同じ場合、あるいは特殊文字が含まれている場合、または大/小文字が区別される場合は、表名を二重引用符で囲む必要があります。例:
INTO TABLE scott."CONSTANT"
INTO TABLE scott."Constant"
INTO TABLE scott."-CONSTANT"
ユーザーが表をロードするには、INSERT権限が必要です。表がユーザーのスキーマにない場合、ユーザーはシノニムを使用して表を参照するか、またはスキーマ名を表名の一部として含める必要があります(たとえば、scott.empはscottスキーマの表empを参照します)。
注意:
SQL*Loaderでは、データベースへの接続が完了した後の現行のスキーマが、デフォルト・スキーマであるとみなされます。つまり、データベースへの接続中に実行されるログイン・トリガーが存在する場合、接続先のデフォルト・スキーマは、接続文字列で指定したスキーマと必ずしも一致しません。
特定のデータベースに接続した時点で現行のスキーマを別のスキーマに変更するログオン・トリガーが存在する場合は、その新しいスキーマがデフォルトとして使用されます。
親トピック: 表への論理レコードのロード
9.18.3 表固有のロード方法
表のロード時に、INTO TABLE句を使用して、表固有のロード方法(INSERT、APPEND、REPLACEまたはTRUNCATE)を指定できます。指定したロード方法は、その表のみに適用されます。
表固有のロード方法は、グローバルな表のロード方法よりも優先されます。INTO TABLE句の前にロード方法が特に指定されていない場合、グローバルな表のロード方法は、デフォルトでINSERTとなります。次の項では、これらのオプションを使用して空および空でない表へデータをロードする方法について説明します。
親トピック: 表への論理レコードのロード
9.18.4 INSERTを使用した空の表へのデータのロード
空の表にデータをロードするには、INSERTオプションを使用します。
ロード先の表が空の場合は、INSERTオプションを使用します。INSERTオプションは、SQL*Loaderのデフォルトのメソッドです。INSERTを使用するには、データのロード先の表をロードする前に空にしておく必要があります。データのロード先の表に行が含まれていると、SQL*Loaderはエラーで終了します。「事例1: 可変長データのロード」に例があります。(事例の使用方法については、「SQL*Loaderの事例」を参照してください。)
SQL*Loaderは、データの挿入先となる表をチェックし、表が空であることを確認します。このため、INSERTを実行するユーザーには、SELECT権限とINSERT権限の両方を付与する必要があります。
関連トピック
親トピック: 表への論理レコードのロード
9.18.5 空でない表へのデータのロード
SQL*Loaderを使用して空でない表にデータをロードするときには、既存の表に対する追加、置換または切捨てを実行できます。
ロード先の表にすでにデータが存在する場合は、次の3つのオプションがあります。
-
APPEND -
REPLACE -
TRUNCATE注意:
REPLACEまたはTRUNCATEを指定すると、個々の行ではなく表全体が置き換えられます。行の削除が成功した後、COMMITが実行されます。ロード前に表にあったデータは、事前にエクスポートか、相当するユーティリティで保存しておかないとリカバリできません。
親トピック: 表への論理レコードのロード
9.18.5.1 APPEND
表にデータがすでに存在する場合、SQL*Loaderで新しい行が表に追加されます。データが存在しない場合には、単に新しい行がロードされます。APPENDオプションを使用するには、SELECT権限が必要です。「事例3: 自由区分形式ファイルのロード」に例があります。(事例の使用方法については、「SQL*Loaderの事例」を参照してください。)
親トピック: 空でない表へのデータのロード
9.18.5.2 REPLACE
REPLACEオプションを使用すると、SQLのDELETE FROM TABLE文が実行されます。表の既存の行はすべて削除され、新しくデータがロードされます。この場合、その表がロード実行者のスキーマ内に存在するか、ロード実行者がその表に対してDELETE権限を持っている必要があります。「事例4: 結合された物理レコードのロード」に例があります。(事例の使用方法については、「SQL*Loaderの事例」を参照してください。)
行削除によって、その表に定義された削除トリガーが起動します。DELETE CASCADEが表に指定されている場合、カスケード化された削除が同様に実行されます。カスケード化された削除の詳細は、『Oracle Database概要』を参照してください。
親トピック: 空でない表へのデータのロード
9.18.5.3 既存の行の更新
REPLACEは、個々の行ではなく表を置換する方法です。既存レコードにNULL列があっても、そのレコードは更新されません。既存の行を更新するには、次の手順を実行してください。
- データを作業表にロードします。
- 相関副問合せを指定した、SQLの
UPDATE文を使用します。 - 作業表を削除します。
親トピック: 空でない表へのデータのロード
9.18.5.4 TRUNCATE
TRUNCATEオプションを使用すると、SQLのTRUNCATE TABLE table_name REUSE STORAGE文が実行され、表のエクステントが再利用されます。TRUNCATEオプションにより、表またはクラスタからすべての行が短時間で効率的に削除されるため、最大限の処理パフォーマンスを実現できます。TRUNCATE文を実行する前に、表の参照整合性制約を使用禁止にします。参照整合性制約が使用禁止でない場合、SQL*Loaderによってエラーが返されます。
整合性制約が使用禁止になると、その表に対してはDELETE CASCADEは定義されません。DELETE CASCADE機能が必要な場合は、ロードを開始する前に、表の内容を手動で削除する必要があります。
この場合、表がロード実行者のスキーマにあるか、ロード実行者がDROP ANY TABLE権限を所有している必要があります。
親トピック: 空でない表へのデータのロード
9.18.6 表固有のOPTIONSパラメータ
パラレル・ロードでは、個々の表に対してOPTIONSパラメータを指定できます(このパラメータは、パラレル・ロードの場合のみ有効です)。
OPTIONSパラメータの構文は次のとおりです。
関連項目:
親トピック: 表への論理レコードのロード
9.18.7 条件に基づいたレコードのロード
WHEN句を使用して論理レコード中の条件をテストし、その論理レコードをロードするか廃棄するかを選択できます。
WHEN句を表名の後に記述し、その後にフィールド条件を1つ以上指定します。field_conditionの構文は、次のとおりです。
たとえば、次のように指定すると、第5列の値がqであるレコードがすべてロードされます。
WHEN (5) = 'q'
WHEN句では各条件の前にANDを使用して、複数の条件を設定できます。小カッコの指定は任意ですが、ANDによって複数の条件を設定している場合は、あいまいさを避けるために必ず使用してください。例:
WHEN (deptno = '10') AND (job = 'SALES')
関連項目:
-
SQL*Loaderによる
NULLIFおよびDEFAULTIF句に対するWHEN句の評価方法の詳細は、「WHEN、NULLIFおよびDEFAULTIF句の使用」を参照してください -
WHEN句の使用例は、「事例5: 複数表へのデータのロード」(事例の使用方法については、「SQL*Loaderの事例」)を参照してください
親トピック: 表への論理レコードのロード
9.18.8 LOBFILEおよびSDFでのWHEN句の使用
この項では、LOBFILEおよびSDFでWHEN句を使用する方法について説明します。
LOBFILEまたはSDFのレコードが廃棄されると、SQL*LoaderによってそのLOBFILEまたはSDF内の対応するデータがスキップされます。
親トピック: 表への論理レコードのロード
9.18.9 デフォルトのデータ・デリミタ(区切り記号)の指定
データ・ファイル中のデータ・フィールドがすべて同じ文字で終了している場合、FIELDS句を使用してデフォルトの終了デリミタおよび囲みデリミタを指定することができます。
- fields_spec
fields_specは、フィールドにデフォルトの終了デリミタおよび囲みデリミタを指定するために使用します。 - termination_spec
termination_specは、デフォルトの終了デリミタおよび囲みデリミタを指定するために使用します。 - enclosure_spec
enclosure_specは、デフォルトの囲みデリミタを指定するために使用します。
親トピック: 表への論理レコードのロード
9.18.9.1 fields_spec
fields_specは、フィールドにデフォルトの終了デリミタおよび囲みデリミタを指定するために使用します。
fields_specの構文
関連トピック
親トピック: デフォルトのデータ・デリミタ(区切り記号)の指定
9.18.9.2 termination_spec
termination_specは、デフォルトの終了デリミタおよび囲みデリミタを指定するために使用します。
termination_specの構文
注意:
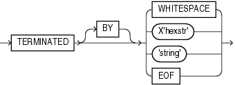
終了記号の文字列には、1つ以上の文字が含まれます。また、TERMINATED BY EOFは、LOBFILEからのLOBのロードにのみ適用されます。
親トピック: デフォルトのデータ・デリミタ(区切り記号)の指定
9.18.9.3 enclosure_spec
enclosure_specは、デフォルトの囲みデリミタを指定するために使用します。
enclosure_specの構文
注意:
囲み文字列には、1つ以上の文字が含まれます。
特定の列に対してデリミタを上書きする場合は、その列名の後に適用するデリミタを指定します。この使用例は、「事例3: 自由区分形式ファイルのロード」で確認できます。事例のロード方法と使用方法の詳細は、トピック「SQL*Loaderの事例」を参照してください。
親トピック: デフォルトのデータ・デリミタ(区切り記号)の指定
9.18.10 指定のフィールドが欠落しているレコードの処理
SQL*Loader制御ファイルで指定したフィールドが欠落しているレコードをロードするときに、SQL*Loaderでは、該当するフィールドをNULLとして指定することも、エラーを報告することもできます。
- データが欠落しているショート・レコードのSQL*Loaderによる管理
制御ファイルで定義したレコードのフィールド数がレコードに存在するフィールド数よりも多い場合の、SQL*Loaderの処理方法について説明します。 - TRAILING NULLCOLS句
TRAILING NULLCOLS句を使用すると、欠落している列がNULL列として処理されるようにSQL*Loaderを構成できます。
親トピック: 表への論理レコードのロード
9.18.10.1 データが欠落しているショート・レコードのSQL*Loaderによる管理
制御ファイルで定義したレコードのフィールド数がレコードに存在するフィールド数よりも多い場合の、SQL*Loaderの処理方法について説明します。
制御ファイルの定義で指定したフィールドの数が実際にレコード中に存在するフィールドより多い場合、SQL*Loaderは、残りの(指定された)列をNULLとみなすか、エラーを生成するかを決定する必要があります。
制御ファイルの定義でフィールドの開始位置として論理レコードの終了位置よりも後の位置が明示的に指定されている場合、SQL*Loaderによって、このフィールドにNULL値が設定されます。フィールドが(次に示す例の中のdnameおよびlocのように)相対位置に定義されていて、そのフィールドが現れる前にレコードのデータが終わった場合は、SQL*LoaderによってこのフィールドにNULL値が設定されるか、またはエラーが出力されます。SQL*Loaderによる処理は、TRAILING NULLCOLS句(次の構文図を参照)を指定しているかどうかによって決まります。
親トピック: 指定のフィールドが欠落しているレコードの処理
9.18.10.2 TRAILING NULLCOLS句
TRAILING NULLCOLS句を使用すると、欠落している列がNULL列として処理されるようにSQL*Loaderを構成できます。
TRAILING NULLCOLS句を使用すると、相対位置で指定した列がレコード中に存在しない場合、その列の値はNULLとして処理されます。
たとえば、次のようなデータについて考えます。
10 Accounting
このデータが次の制御ファイルで読み込まれ、そのレコードはdnameの後で終了するとします。
INTO TABLE dept
TRAILING NULLCOLS
( deptno CHAR TERMINATED BY " ",
dname CHAR TERMINATED BY WHITESPACE,
loc CHAR TERMINATED BY WHITESPACE
)
この場合、その後のlocフィールドにはNULL値が設定されています。この例でTRAILING NULLCOLS句を指定しなかった場合は、データ欠落のためエラーとなります。
関連項目:
TRAILING NULLCOLSの使用例は、「事例7: 書式化されたレポートからのデータの抽出」(事例の使用方法については、「SQL*Loaderの事例」)を参照してください。
親トピック: 指定のフィールドが欠落しているレコードの処理
9.19 索引オプション
SQL*Loaderによる索引エントリの作成方法を制御するには、SORTED INDEXES句とSINGLEROW句を使用できます。
- SORTED INDEXESパラメータの理解
SQL*Loaderのダイレクト・パス・ロードでパフォーマンスを最適化するために、SORTED INDEX制御ファイルパラメータの使用を検討してください。 - SINGLEROWパラメータの理解
小規模なロードのためのダイレクト・パス・ロードやメモリーに制限のあるシステムでSQL*Loaderを使用するときには、SINGLEROW制御ファイル・パラメータの使用を検討してください。
親トピック: SQL*Loader制御ファイル・リファレンス
9.19.1 SORTED INDEXESパラメータの理解
SQL*Loaderのダイレクト・パス・ロードでパフォーマンスを最適化するために、SORTED INDEX制御ファイルパラメータの使用を検討してください。
The SORTED INDEX句はダイレクト・パス・ロードに適用されます。これは、入力データが指定された索引ですでにソートされていることをSQL*Loaderに伝えます。ソートされた索引を指定することで、SQL*Loaderはパフォーマンスを最適化できます。
関連トピック
親トピック: 索引オプション
9.19.2 SINGLEROWパラメータの理解
小規模なロードのためのダイレクト・パス・ロードやメモリーに制限のあるシステムでSQL*Loaderを使用するときには、SINGLEROW制御ファイル・パラメータの使用を検討してください。
SINGLEROWオプションは、APPENDオプションを使用してかぎられたメモリーでダイレクト・パス・ロードを実行する場合、または少数のレコードを大規模な表にロードする場合に使用します。このオプションを使用すると、各索引エントリが、一度に1レコードずつ直接索引に挿入されます。
表に行を追加(APPEND)する場合、デフォルトではSINGLEROWは使用されません。この場合、索引エントリは個別の一時記憶域に置かれ、ロード終了時に元の索引とマージされます。この方法では、パフォーマンスが向上して最適な索引が作成されますが、記憶域も余分に必要となります。マージ処理が実行されている間は、元の索引、新しい索引、および新しいエントリのための領域が同時に記憶域を占有します。
SINGLEROWオプションの場合、新しい索引エントリや新しい索引のための記憶域は必要ありません。結果としての索引が新しくソートしたものほど最適ではないことがあります。ただし、この索引の生成のための領域は小さくなります。また、索引の挿入ごとに追加のUNDO情報が生成されるため、生成に時間がかかります。このオプションは、次のいずれかの状況が存在するときに使用を検討するようにお薦めします。
- 使用可能な記憶域がかぎられている場合。
- ロードするレコードの数が、表のサイズと比較して小さい。このオプションは、レコードの数と表のサイズの比が1:20以下のときに使用することをお薦めします。
親トピック: 索引オプション
9.20 複数のINTO TABLE句を使用するメリット
特定のSQL*Loaderユースケースで、複数のINTO TABLE句を使用する方法について例を示して説明します
- SQL*LoaderのINTO TABLE句の理解
INTO TABLE制御ファイル・パラメータは、複数の表のロード、複数の表へのデータのロードおよび複数の論理レコードの抽出の際に特に役立ちます。 - 異なる入力レコード形式の区別
単一のデータ・ファイルに様々な形式のデータがある場合は、SQL*LoaderのINTO TABLE句を使用すると、それぞれの形式を区別できます。 - POSITIONパラメータに基づく相対的な位置指定
単一のデータ・ファイルに様々な形式のデータがある場合は、SQL*LoaderのPOSITIONパラメータをINTO TABLE句で使用すると、デリミタ付きのデータとしてレコードをロードできます。 - 異なる入力行オブジェクトのサブタイプの区別
1件のデータ・ファイルには、同じ基本行オブジェクト型から継承された行オブジェクトで構成されるレコードが含まれる可能性があります。 - 複数表へのデータのロード
複数のINTO TABLE句でPOSITIONパラメータを指定すると、1件のレコードのデータを正規化された複数の表にロードできます。 - 複数のINTO TABLE句使用のサマリー
複数のINTO TABLE句を指定すると、1件の入力レコードから複数の論理レコードを抽出できます。また、同一ファイル中の異なる形式のレコードを区別できます。 - 複数の論理レコードの抽出
データ・レコードが短い場合は、SQL*LoaderのINTO TABLE句を使用すると、複数のデータ・レコードを単一の物理レコードに格納できるようになり、記憶域の使用効率が向上します。
親トピック: SQL*Loader制御ファイル・リファレンス
9.20.1 SQL*LoaderのINTO TABLE句の理解
INTO TABLE制御ファイル・パラメータは、複数の表のロード、複数の表へのデータのロードおよび複数の論理レコードの抽出の際に特に役立ちます。
複数のINTO TABLE句を指定すると、次の処理が可能になります。
-
異なる表へのデータのロード
-
1つの入力レコードからの複数の論理レコードの抽出
-
異なる入力レコード形式の区別
-
異なる入力行オブジェクト・サブタイプの区別
ここでは、まず、複数のINTO TABLE句で同じ表を参照するという最も一般的な使用方法を示します。複数のINTO TABLE句が使用できる様々な方法と、POSITIONパラメータの使用方法について例を示して説明します。
注意:
INTO TABLE句を複数指定した場合、次のINTO TABLE句の処理に移ったときのフィールド・スキャンは、前回フィールド・スキャンを停止した位置から続行されます。各例を参照して、この動作を活用できるようにするための方法に関する詳細を理解してください。また、固定フィールド位置を使用するかわりに使用できる方法またはPOSITIONパラメータについても説明します。
親トピック: 複数のINTO TABLE句を使用するメリット
9.20.2 異なる入力レコード形式の区別
単一のデータ・ファイルに様々な形式のデータがある場合は、SQL*LoaderのINTO TABLE句を使用すると、それぞれの形式を区別できます。
ここでは、次のようなデータについて考えます。この例では、emp表およびdept表のレコードが、データ中に混在しています。
1 50 Manufacturing — DEPT record
2 1119 Smith 50 — EMP record
2 1120 Snyder 50
1 60 Shipping
2 1121 Stevens 60
これら2つの形式は、レコードIDフィールドで区別されます。部門レコードの最初の列は1、従業員レコードの最初の列は2になります。このデータをロードするため、次の制御ファイルではフィールドの正確な位置を指定しています。
INTO TABLE dept
WHEN recid = 1
(recid FILLER POSITION(1:1) INTEGER EXTERNAL,
deptno POSITION(3:4) INTEGER EXTERNAL,
dname POSITION(8:21) CHAR)
INTO TABLE emp
WHEN recid <> 1
(recid FILLER POSITION(1:1) INTEGER EXTERNAL,
empno POSITION(3:6) INTEGER EXTERNAL,
ename POSITION(8:17) CHAR,
deptno POSITION(19:20) INTEGER EXTERNAL) 親トピック: 複数のINTO TABLE句を使用するメリット
9.20.3 POSITIONパラメータに基づく相対的な位置指定
単一のデータ・ファイルに様々な形式のデータがある場合は、SQL*LoaderのPOSITIONパラメータをINTO TABLE句で使用すると、デリミタ付きのデータとしてレコードをロードできます。
さらに、empおよびdeptのレコードが混在しているデータについて考えます。ただし、この場合はPOSITIONパラメータを使用すると、この制御ファイルの例で示すように、データをデリミタ付きレコードにロードできます。
INTO TABLE dept
WHEN recid = 1
(recid FILLER INTEGER EXTERNAL TERMINATED BY WHITESPACE,
deptno INTEGER EXTERNAL TERMINATED BY WHITESPACE,
dname CHAR TERMINATED BY WHITESPACE)
INTO TABLE emp
WHEN recid <> 1
(recid FILLER POSITION(1) INTEGER EXTERNAL TERMINATED BY ' ',
empno INTEGER EXTERNAL TERMINATED BY ' '
ename CHAR TERMINATED BY WHITESPACE,
deptno INTEGER EXTERNAL TERMINATED BY ' ')
このデータを正しくロードするために、2番目のINTO TABLE句のPOSITIONパラメータが必要になります。このように指定すると、2つ目の書式に一致するデータを確認するときのフィールド・スキャンは、列1から開始されます。POSITIONパラメータがない場合、SQL*Loaderでは、recidフィールドがdnameフィールドの後にあるものとしてスキャンされます。
親トピック: 複数のINTO TABLE句を使用するメリット
9.20.4 異なる入力行オブジェクトのサブタイプの区別
通常、データ・ファイルには、同じ行オブジェクト型から継承された行オブジェクトで構成される単一のレコードが含まれています。
たとえば、次のような単純なオブジェクト型およびオブジェクト表の定義について考えてみます。ここでは、NOT FINALのベース・オブジェクト型が、ベース型から行オブジェクトを継承する2つのオブジェクト・サブタイプとともに定義されています。
CREATE TYPE person_t AS OBJECT (name VARCHAR2(30), age NUMBER(3)) not final; CREATE TYPE employee_t UNDER person_t (empid NUMBER(5), deptno NUMBER(4), dept VARCHAR2(30)) not final; CREATE TYPE student_t UNDER person_t (stdid NUMBER(5), major VARCHAR2(20)) not final; CREATE TABLE persons OF person_t;
次の入力データ・ファイルには、これらの行オブジェクト・サブタイプが混在しています。型IDフィールドは、3つのサブタイプで区別されます。person_tオブジェクトでは、最初の列にPがあり、employee_tオブジェクトではE、student_tオブジェクトではSがあります。
P,James,31, P,Thomas,22, E,Pat,38,93645,1122,Engineering, P,Bill,19, P,Scott,55, S,Judy,45,27316,English, S,Karen,34,80356,History, E,Karen,61,90056,1323,Manufacturing, S,Pat,29,98625,Spanish, S,Cody,22,99743,Math, P,Ted,43, E,Judy,44,87616,1544,Accounting, E,Bob,50,63421,1314,Shipping, S,Bob,32,67420,Psychology, E,Cody,33,25143,1002,Human Resources,
次の制御ファイルでは、POSITIONパラメータに基づく相対的な位置指定によって、このデータをロードします。固有のオブジェクト型名を持つTREAT AS句の使用方法に注意してください。これによって、オブジェクト表のすべての入力行オブジェクトが名前付きオブジェクト型の定義に準拠することが、SQL*Loaderで認識されます。
注意:
複数のサブタイプを同じINTO TABLE文ではロードできません。複数のINTO TABLE文を使用し、それぞれの文で異なるサブタイプをロードする必要があります。
INTO TABLE persons REPLACE WHEN typid = 'P' TREAT AS person_t FIELDS TERMINATED BY "," (typid FILLER POSITION(1) CHAR, name CHAR, age CHAR) INTO TABLE persons REPLACE WHEN typid = 'E' TREAT AS employee_t FIELDS TERMINATED BY "," (typid FILLER POSITION(1) CHAR, name CHAR, age CHAR, empid CHAR, deptno CHAR, dept CHAR) INTO TABLE persons REPLACE WHEN typid = 'S' TREAT AS student_t FIELDS TERMINATED BY "," (typid FILLER POSITION(1) CHAR, name CHAR, age CHAR, stdid CHAR, major CHAR)
関連項目:
オブジェクト型のロードの詳細は、「列オブジェクトのロード」を参照してください。
親トピック: 複数のINTO TABLE句を使用するメリット
9.20.5 複数表へのデータのロード
複数のINTO TABLE句でPOSITIONパラメータを指定すると、1件のレコードのデータを正規化された複数の表にロードできます。
例については、「事例5: 複数表へのデータのロード」を参照してください。(事例の使用方法については、「SQL*Loaderの事例」を参照してください。)
親トピック: 複数のINTO TABLE句を使用するメリット
9.20.6 複数のINTO TABLE句使用のサマリー
複数のINTO TABLE句を指定すると、1件の入力レコードから複数の論理レコードを抽出できます。また、同一ファイル中の異なる形式のレコードを区別できます。
デリミタ付きデータの場合、期待する結果を得るには、POSITIONパラメータを正しく指定する必要があります。
複数のINTO TABLE句でPOSITIONパラメータを指定しない場合、1件の(デリミタ付きデータ)入力レコードの異なる部分が処理されます。これによって、1件のレコードから複数の表へのデータ・ロードが可能になります。複数のINTO TABLE句でPOSITIONパラメータを指定すると、同一のレコードを異なる方法で処理できます。つまり、1つの入力ファイルで複数の形式を識別できます。
親トピック: 複数のINTO TABLE句を使用するメリット
9.20.7 複数の論理レコードの抽出
データ・レコードが短い場合は、SQL*LoaderのINTO TABLE句を使用すると、複数のデータ・レコードを単一の物理レコードに格納できるようになり、記憶域の使用効率が向上します。
- 物理レコードから複数の論理レコードを抽出する例
この例では、制御ファイルでSQL*LoaderのINTO TABLE句を使用することで、単一の物理レコードから2つの論理レコードを作成します。 - デリミタに基づく相対的な位置指定の例
この例では、同じレコードを相対的な位置指定を使用してロードします。この位置指定のために、制御ファイルでSQL*LoaderのINTO TABLE句を使用します。
親トピック: 複数のINTO TABLE句を使用するメリット
9.20.7.1 物理レコードから複数の論理レコードを抽出する例
この例では、制御ファイルでSQL*LoaderのINTO TABLE句を使用することで、単一の物理レコードから2つの論理レコードを作成します。
データ記憶域および転送メディアには、物理レコードが固定長のものがあります。
ここでは、入力ファイルの1件の物理レコードを2件の論理レコードとみなし、INTO TABLE句を2回指定してemp表にデータをロードする方法について説明します。たとえば、次のようなデータの例を考えます。
1119 Smith 1120 Yvonne
1121 Albert 1130 Thomas
次の制御ファイルを使用して論理レコードを抽出します。
INTO TABLE emp
(empno POSITION(1:4) INTEGER EXTERNAL,
ename POSITION(6:15) CHAR)
INTO TABLE emp
(empno POSITION(17:20) INTEGER EXTERNAL,
ename POSITION(21:30) CHAR) 親トピック: 複数の論理レコードの抽出
9.20.7.2 デリミタに基づく相対的な位置指定の例
この例では、同じレコードを相対的な位置指定を使用してロードします。この位置指定のために、制御ファイルでSQL*LoaderのINTO TABLE句を使用します。
次の制御ファイルでは、絶対的位置を指定するかわりに相対的な位置を指定しています。ここでは、各フィールドが空白(" ")1文字、またはいくつかの空白やタブ(WHITESPACE)で区切られていることを示しています。
INTO TABLE emp
(empno INTEGER EXTERNAL TERMINATED BY " ",
ename CHAR TERMINATED BY WHITESPACE)
INTO TABLE emp
(empno INTEGER EXTERNAL TERMINATED BY " ",
ename CHAR) TERMINATED BY WHITESPACE)
この例では、2番目のempnoフィールドは、別のINTO TABLE句に指定されていますが、1番目のenameの直後に指定されていることに注意してください。新しいINTO TABLE句に対して、レコードの先頭からのフィールド・スキャンが実行されるわけではありません。かわりに、前回スキャンが停止した位置から続行されます。
レコードのスキャンを特定の位置から強制的に開始するには、POSITIONパラメータを使用します。
関連トピック
親トピック: 複数の論理レコードの抽出
9.21 バインド配列および従来型パス・ロード
SQL*Loaderの配列インタフェース・オプションを使用すると、表の複数の行が一度に読み取られ、バインド配列に格納されます。
- バインド配列と従来型パス・ロードの相違点
バインド配列では、SQL*Loaderを使用してレコードの配列全体を1回の操作でロードできます。 - バインド配列のサイズ要件
SQL*Loaderでバインド配列を使用するときには、バインド配列に単一の行を格納するのに十分な大きさが必要です。 - バインド配列のパフォーマンスに関する考慮点
バインド配列を大きくすると、Oracle Databaseへのコール数を最小に、またパフォーマンスを最大にできます。 - 行数およびバインド配列サイズの指定
バインド配列サイズを指定する場合に、コマンドライン・パラメータBINDSIZEまたは制御ファイル中のOPTIONS句を使用すると、バインド配列の上限値が設定されます。 - SQL*Loaderバインド配列の設定
バインド配列を設定する場合は、必要な配列サイズを計算し、長さインジケータのサイズを決定して、フィールド・バッファのサイズを計算します。 - バインド配列用のメモリー所要量の最小化
VARCHAR型、VARGRAPHIC型フィールド、およびデリミタ付きのCHAR型、DATE型、数値型EXTERNAL型フィールドの場合、そのデータ型に割り当てられているデフォルト・サイズに特に注意してください。 - 複数のINTO TABLE句に対するバインド配列サイズの計算
制御ファイルに複数のINTOTABLE句が指定されている場合のバインド配列サイズの計算は、複数のINTOTABLE句が指定されていない場合と同様に行います。
親トピック: SQL*Loader制御ファイル・リファレンス
9.21.1 バインド配列と従来型パス・ロードの相違点
バインド配列では、SQL*Loaderを使用してレコードの配列全体を1回の操作でロードできます。
バインド配列を使用すると、SQL*LoaderはSQL配列インタフェース・オプションを使用してデータをデータベースに転送します。SQL*LoaderからOracle DatabaseにINSERTコマンドが送られると、配列全体が一度に挿入されます。バインド配列内の行が挿入された後、COMMIT文が発行されます。
バインド配列サイズを決定する必要があるのは、SQL*Loaderの従来型パス・オプションを使用する場合のみです。通常、これはダイレクト・パス・ロードによる方法では、使用されません。ダイレクト・パス・ロードでは、ダイレクト・パスAPIが使用されるためです。ただし、データ変換を必要とする特殊なダイレクト・パス・ロードの場合にはバインド配列を使用できます。ダイレクト・パス・ロードの操作の詳細は、「ダイレクト・パス・ロード・インタフェース」を参照してください。
関連トピック
親トピック: バインド配列および従来型パス・ロード
9.21.2 バインド配列のサイズ要件
SQL*Loaderでバインド配列を使用するときには、バインド配列に単一の行を格納するのに十分な大きさが必要です。
行の最大長が、BINDSIZEパラメータで指定されたバインド配列のサイズを超えると、SQL*Loaderからエラーが出力されます。通常、バインド配列内に入る範囲の行が格納されます。この場合の読取り行数の上限は、ROWSパラメータで指定された行数となります。(従来型パス・ロードでのROWSの最大値は65534です。)
バインド配列全体が連続するメモリーを占有する必要はありませんが、バインド配列内の各フィールドを格納するバッファには連続するメモリーが必要です。オペレーティング・システムで、フィールド格納用として連続する十分なメモリーを確保できないと、SQL*Loaderからエラーが出力されます。
親トピック: バインド配列および従来型パス・ロード
9.21.3 バインド配列のパフォーマンスに関する考慮点
バインド配列を大きくすると、Oracle Databaseへのコール数を最小に、またパフォーマンスを最大にできます。
一般に、バインド配列サイズを大きくする場合、100行まではサイズの増加に比例してパフォーマンスが大幅に向上します。ただし、100行を超えるバインド配列サイズを設定しても、パフォーマンスはそれほど向上しません。したがって、一般に配列サイズ(バイト単位)は100行が目安となります。
一般に、サイズが適切であれば、SQL*Loaderで効果的に処理できます。通常は、この項で説明するような細かい計算をする必要はありません。この項は、パフォーマンスを最大にする場合、またはメモリー使用量を確認する場合に参照してください。
親トピック: バインド配列および従来型パス・ロード
9.21.4 行数およびバインド配列サイズの指定
バインド配列サイズを指定する場合に、コマンドライン・パラメータBINDSIZEまたは制御ファイル中のOPTIONS句を使用すると、バインド配列の上限値が設定されます。
バインド配列は、この上限値を超えることはありません。
初期化の段階で、SQL*Loaderでは単一行のロードに必要なサイズがバイト単位で決定されます。このサイズが指定された最大値を超える場合は、エラーが返され、ロードが終了します。
次にSQL*Loaderでは、このサイズとロードする行数が乗算されます。このとき、ロードする行数は、コマンドライン・パラメータROWSで指定されていても、制御ファイル中のOPTIONS句で指定されていてもかまいません。
このサイズがバインド配列の最大値を超えないかぎり、ロードは継続されます。SQL*Loaderでは、バインド配列の最大サイズの限界まで行数は拡張されません。行数とバインド配列の最大サイズの両方が指定された場合、SQL*Loaderでは、これらの値の小さい方がバインド配列に適用されます。
バインド配列の最大サイズが小さく、指定の行数を格納できない場合は、その最大サイズに収まる分の行数が採用されます。
親トピック: バインド配列および従来型パス・ロード
9.21.5 SQL*Loaderバインド配列の設定
バインド配列を設定する場合は、必要な配列サイズを計算し、長さインジケータのサイズを決定して、フィールド・バッファのサイズを計算します。
- バインド配列サイズを確認するための計算
バインド配列サイズは、配列内の行数に各行の最大長を掛け合せた値となります。 - 長さインジケータのサイズの決定
バインド配列を設定するときには、SQL*Loader制御ファイルを使用して長さインジケータのサイズを決定します。 - フィールド・バッファ・サイズの計算
次の表を使用して、SQL*Loaderデータ型ごとのフィールド・サイズ・バッファのサイズを判断します。固定長フィールド、非グラフィック・フィールド、グラフィック・フィールドおよび可変長フィールドがあります。
親トピック: バインド配列および従来型パス・ロード
9.21.5.1 バインド配列サイズを確認するための計算
バインド配列サイズは、配列内の行数に各行の最大長を掛け合せた値となります。
例9-7 バインド配列のサイズの決定
bind array size =
(number of rows) * ( SUM(fixed field lengths)
+ SUM(maximum varying field lengths)
+ ( (number of varying length fields)
* (size of length indicator) )
)
例9-8 固定長フィールドと可変フィールドの相違点
ほとんどのフィールドのサイズは、固定長です。このような固定長フィールドの場合、ロードされる各行のサイズは同じです。そうしたフィールドの場合、フィールドの最大長がフィールド・サイズになります(バイト単位)。そのため、オーバーヘッドは発生しません。
行によってサイズが変化するフィールドには、次のようなものがあります。
CHARDATEINTERVAL DAY TO SECONDINTERVAL DAY TO YEARLONG VARRAW- 数値型
EXTERNAL TIMETIMESTAMPTIME WITH TIME ZONETIMESTAMP WITH TIME ZONEVARCHARVARCHARCVARGRAPHICVARRAWVARRAWC
変数データ型の最大長は、入力データ・レコードの中でフィールドが占有できる長さをバイト数で表したものです。この最大長は、バインド配列の中で各フィールドが占有する格納領域のサイズも表しています。バインド配列には、サイズが変化するこれらのフィールドについてのオーバーヘッドも含まれます。
文字データ型(CHAR、DATEおよび数値型EXTERNAL)がデリミタ付きで指定された場合は、これらのフィールドに対して指定されたフィールド長が最大長となります。逆に、デリミタなしでこれらのデータ型が指定された場合は、レコードのサイズは固定ですが、挿入時にフィールド中の空白文字が切り捨てられるため、フィールド長は変化します。したがって、これらのデータ型は、たとえ固定長フィールドであっても内部的には可変長フィールドとして扱われます。
長さインジケータは、バインド配列内のそれぞれのフィールドに格納されています。バインド配列におけるフィールドの領域として、そのフィールドの可能最大長のデータを格納できるだけのサイズが確保されています。一方、実際のフィールド長は、行ごとに長さインジケータで示されます。
注意:
従来型パス・ロードでは、バインド配列のサイズの割当て時にLOBFILEは含まれません。
関連トピック
親トピック: SQL*Loaderバインド配列の設定
9.21.5.2 長さインジケータのサイズの決定
バインド配列を設定するときには、SQL*Loader制御ファイルを使用して長さインジケータのサイズを決定します。
ほとんどのシステムでは、長さインジケータのサイズは2バイトです。まれに3バイトのシステムもあります。
例9-9 長さインジケータのサイズの決定
次の例は、SQL*Loader制御ファイルで長さインジケータのサイズを決定する方法を示しています。
OPTIONS (ROWS=1)
LOAD DATA
INFILE *
APPEND
INTO TABLE DEPT
(deptno POSITION(1:1) CHAR(1))
BEGINDATA
a
この制御ファイルは、1行のバインド配列を使用して、1バイトのCHARをロードします。この例では、実際にデータはロードされません。これは、aを数値型の列(deptno)にロードすると、変換エラーが発生するためです。このときのログ・ファイルに示されたバインド配列サイズから、(文字フィールドの長さである)1を引いた値が、フィールド長のインジケータのサイズとなります。
注意:
同様の方法を使用して、計算を行わずにバインド配列サイズを求めることができます。1行のデータに対するメモリー要件を決定する場合は、データを含まないROWS=1を指定した制御ファイルを実行します。その後で、バインド配列内の行数を乗じてバインド配列のサイズを決定します。
親トピック: SQL*Loaderバインド配列の設定
9.21.5.3 フィールド・バッファ・サイズの計算
次の表を使用して、SQL*Loaderデータ型ごとのフィールド・サイズ・バッファのサイズを判断します。固定長フィールド、非グラフィック・フィールド、グラフィック・フィールドおよび可変長フィールドがあります。
これらの表の使用方法
それぞれの表にデータ型ごとのメモリー要件がまとめてあります。「L」は制御ファイルで指定したデータ長です。「P」は精度です。「S」はフィールド長インジケータのサイズです。これらの値の詳細は、「SQL*Loaderのデータ型」を参照してください。表9-3 固定長フィールド
| データ型 | バイト単位のサイズ(オペレーティング・システムによって異なる) |
|---|---|
|
|
C言語の |
|
|
|
|
|
C言語の |
|
|
C言語の |
|
|
C言語の |
|
|
C言語の |
|
|
|
|
|
|
|
|
2つの数値で構成されます。最初に長さを指定し、次に(オプションで) |
|
|
このデータ型は |
表9-4 非グラフィック・フィールド
| データ型 | デフォルト・サイズ | 指定するサイズ |
|---|---|---|
|
(パック) |
なし |
(N+1)/2切上げ |
|
|
なし |
P |
|
|
なし |
L |
|
|
1 |
L + S |
|
日時データ型および期間データ型(デリミタなし) |
なし |
L + S |
|
数値型 |
なし |
L + S |
表9-5 グラフィック・フィールド
| データ型 | デフォルト・サイズ | POSITIONでの長さの指定 | DATA TYPEでの長さの指定 |
|---|---|---|---|
|
|
なし |
L |
2×L |
|
|
なし |
L - 2 |
2×(L-2) |
|
|
4KB×2 |
L + S |
(2×L)+S |
表9-6 可変長フィールド
| データ型 | デフォルト・サイズ | 最大長の指定(L) |
|---|---|---|
|
|
4 KB |
L + S |
|
|
255 |
L + S |
|
日時データ型および期間データ型(デリミタ付き) |
255 |
L + S |
|
数値型 |
255 |
L + S |
関連トピック
親トピック: SQL*Loaderバインド配列の設定
9.21.6 バインド配列用のメモリー所要量の最小化
VARCHAR型、VARGRAPHIC型フィールド、およびデリミタ付きのCHAR型、DATE型、数値型EXTERNAL型フィールドの場合、そのデータ型に割り当てられているデフォルト・サイズに特に注意してください。
これは、特にバインド配列の行数で乗算されると、大量のメモリーを消費する可能性があります。これらのフィールドに対しては、最大長としてできるだけ小さな値を指定してください。次の例を検討してください:
CHAR(10) TERMINATED BY ","
バイト長セマンティクスを使用する場合、次の例では、バインド配列で(10+2)×64=768バイトのメモリーを使用します(ここでは、長さインジケータを2バイトで一度に64行ロードするとして計算しています)。
同じ例で文字長セマンティクスを使用する場合、バインド配列では((10 * s) + 2) * 64バイトのメモリーを使用します(ここでは、「s」はデータ・ファイル・キャラクタ・セットにおける1文字のバイト単位での最大サイズです)。
ここで、次の例について考えてみます。
CHAR TERMINATED BY ","
バイト長セマンティクスまたは文字長セマンティクスを使用しているかどうかにかかわらず、この例では、(255+2)×64=16,448バイトが必要になります。これは、デリミタ付きフィールドのデフォルト最大長が255バイトであるためです。この指定によって、バインド配列に入る行数が大きく違ってきます。
親トピック: バインド配列および従来型パス・ロード
9.21.7 複数のINTO TABLE句に対するバインド配列サイズの計算
制御ファイルに複数のINTO TABLE句が指定されている場合のバインド配列サイズの計算は、複数のINTO TABLE句が指定されていない場合と同様に行います。
いい換えると、制御ファイルに指定されているフィールド全体を1つの長いデータ構造体、つまりバインド配列の中の1行のデータ構造体であると考えます。
データ・レコード中の同じフィールドを複数のINTO TABLE句が参照する場合は、そのフィールドが参照されると、常に、バインド配列に追加の領域が必要となります。このようなフィールドについては、特にバッファの割当てを最小限に抑える必要があります。
注意:
CONSTANT、EXPRESSION、RECNUM、SYSDATEおよび SEQUENCEの各関数を指定すると、SQL*Loaderによってデータが生成されます。このようにして生成されたデータは、バインド配列の領域を必要としません。
親トピック: バインド配列および従来型パス・ロード













