DECODE
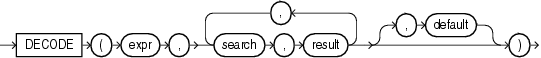
構文
目的
DECODEは、exprを各search値と1つずつ比較します。exprがsearchと等しい場合、Oracle Databaseは対応するresultを戻します。一致する値が見つからない場合は、defaultを戻します。defaultが省略されている場合は、NULLを戻します。
-
exprおよびsearchが文字データである場合、Oracleは、非空白埋め比較セマンティクスを使用してそれらを比較します。expr、searchおよびresultのデータ型は、CHAR、VARCHAR2、NCHARまたはNVARCHAR2です。戻される文字列は、VARCHAR2データ型で、最初のresultパラメータと同じ文字セットの文字列です。 -
最初の
search-resultの組が数値である場合、Oracleはすべてのsearch-resultの式と最初のexprを比較して、数値の優先順位が最も高い引数を判断し、残りの引数をそのデータ型に暗黙的に変換して、そのデータ型を戻します。
search、resultおよびdefaultの各値は式から派生できます。Oracle Databaseでは、短絡評価を使用します。データベースは、search値のいずれかとexprを比較する前にすべてのsearch値を評価するのではなく、各search値とexprを比較する前にのみ、各search値を評価します。その結果、exprと等しいsearchが見つかると、Oracleはその後のsearchを評価しません。
比較する前に、Oracleはexprと各search値を、最初のsearch値のデータ型に自動的に変換します。Oracleは、戻り値を最初のresultと同じデータ型に自動的に変換します。最初のresultのデータ型がCHARの場合、または最初のresultがNULLの場合、Oracleは戻り値をVARCHAR2データ型の値に変換します。
DECODEファンクションでは、Oracleは2つのNULLを同等とみなします。exprがNULLの場合、Oracleは最初のsearch値のresultもNULLとして戻します。
DECODEファンクションのコンポーネントの最大数は、expr、search、result、defaultを含めて255です。
関連項目:
-
比較セマンティクスについては、データ型の比較規則を参照してください。
-
データ型変換の概要は、データ変換を参照してください。
-
浮動小数点の比較セマンティクスの詳細は、浮動小数点数を参照してください。
-
暗黙的な変換のデメリットの詳細は、暗黙的なデータ変換と明示的なデータ変換を参照してください。
-
expr式の文字をsearchの文字と比較するためにDECODEで使用する照合を定義する照合決定ルール、およびこのファンクションの戻り値が文字値である場合に、それに割り当てる照合を定義する照合導出ルールは、Oracle AI Databaseグローバリゼーション・サポート・ガイドの付録Cを参照してください
例
この例では、warehouse_idの値をデコードします。warehouse_idが1の場合「Southlake」を、warehouse_idが2の場合は「San Francisco」を戻します。warehouse_idが1、2、3、4のいずれでもない場合、ファンクションは「Non domestic」を戻します。
SELECT product_id,
DECODE (warehouse_id, 1, 'Southlake',
2, 'San Francisco',
3, 'New Jersey',
4, 'Seattle',
'Non domestic') "Location"
FROM inventories
WHERE product_id < 1775
ORDER BY product_id, "Location";