XMLFOREST
構文
目的
XMLFORESTは、各引数パラメータをXMLに変換し、変換された引数を連結したXMLフラグメントを戻します。
-
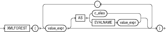
value_exprがスカラー式である場合、AS句は省略できます。この場合、Oracle Databaseは列名を要素名として使用します。 -
value_exprがオブジェクト型またはコレクションである場合、AS句は必須です。この場合、Oracleは指定された式を囲みタグとして使用します。この場合、文字列リテラルの
c_aliasを指定するか、またはEVALNAMEvalue_exprを指定します。後者の場合は、値の式が評価され、その結果(文字列リテラル)が識別子として使用されます。この識別子は、列名または列の参照である必要はありません。式またはNULLは指定できません。初期化パラメータがMAX_STRING_SIZE=STANDARDの場合は最大4,000文字になります。また、MAX_STRING_SIZE=EXTENDEDの場合は最大32,767文字になります。詳細は、「拡張データ型」を参照してください。 -
value_exprがNULLの場合、そのvalue_exprに対する要素は作成されません。
例
次の例では、従業員のサブセットに対してEmp要素を作成します。このとき、Empの内容として、employee_id、last_nameおよびsalaryの各要素がネストされます。
SELECT XMLELEMENT("Emp",
XMLFOREST(e.employee_id, e.last_name, e.salary))
"Emp Element"
FROM employees e WHERE employee_id = 204;
Emp Element
----------------------------------------------------------------
<Emp>
<EMPLOYEE_ID>204</EMPLOYEE_ID>
<LAST_NAME>Baer</LAST_NAME>
<SALARY>10000</SALARY>
</Emp>
これらの2つのファンクションの出力の比較については、「XMLCOLATTVAL」の例を参照してください。
