Die Z-Score-Methode beruht auf der mittleren und der Standardabweichung einer Gruppe von Daten zum Messen einer zentralen Tendenz und Verteilung. Das ist problematisch, da die mittlere und die Standardabweichung von Ausreißern stark beeinträchtigt werden – sie sind nicht stabil. Tatsächlich stellt die Verzerrung durch Ausreißer einen der wichtigsten Gründe für das Finden und Entfernen von Ausreißern aus einem Dataset dar! Ein weiterer Nachteil der Z-Score-Methode besteht darin, dass sie sich in kleinen Datasets ungewöhnlich verhält. Tatsächlich erkennt die Z-Score-Methode keine Ausreißer, wenn das Dataset weniger als 12 Elemente enthält.
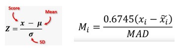
Das hat zur Entwicklung einer geänderten Z-Score-Methode geführt, die nicht dieser Einschränkung unterliegt. Diese Methode funktioniert gut für verzerrte oder nicht normal verteilte Daten sowie für Daten, bei denen eine geringe Anzahl Beobachtungen vorliegt. MAD steht für die mittlere absolute Abweichung. Ein weiterer Vorteil der geänderten Z-Score-Methode besteht darin, dass der Median und die mittlere absolute Abweichung anstelle von mittlerer und Standardabweichung verwendet werden. Der Median und die mittlere absolute Abweichung sind jeweils robuste Kennzahlen für die zentrale Tendenz und die Verteilung.
