Beschreibung
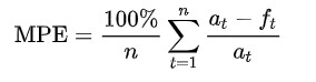
MPE steht für den mittleren prozentualen Fehler (oder die entsprechende Abweichung). Dabei handelt es sich um eine relative Kennzahl, die im Grunde den mittleren Fehler in prozentuale Einheiten anstelle von Variableneinheiten skaliert. Der Hauptvorteil des mittleren prozentualen Fehlers besteht darin, dass Sie Abweichungen zwischen unterschiedlich skalierten Daten vergleichen können.
Formel

Dabei entspricht "at" dem Istwert der prognostizierten Menge, "ft" der Prognose und "n" der Anzahl unterschiedlicher Zeiten, für die eine Prognose der Variable erstellt wird.
Beispiel
