Descripción
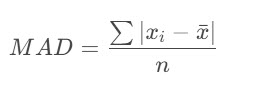
La desviación absoluta media es una extensión simple de la varianza absoluta. Suma las varianzas absolutas y divide el resultado entre el número de registros. La desviación absoluta media es una estadística de error que calcula el promedio de la distancia ente cada par de puntos de datos reales y ajustados.
Fórmula

Ejemplo
