El método de puntuación Z se basa en la desviación media y estándar de un grupo de datos para medir la tendencia central y la dispersión. Esto es complicado, porque la desviación media y estándar se ven muy afectadas por los valores atípicos y no son sólidos. De hecho, el sesgo que incluyen los valores atípicos es uno de los principales motivos para buscar y eliminar dichos valores de un conjunto de datos. Otra desventaja del método de puntuación Z es que se comporta de forma extraña en conjuntos de datos pequeños; de hecho, el método de puntuación Z nunca detectará un valor atípico si el conjunto de datos tiene menos de 12 elementos.
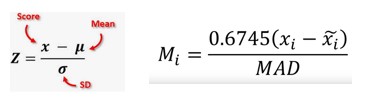
Esto motivó el desarrollo de un método de puntuación Z modificado, que no se ve afectado por la misma limitación. Este método funciona bien para datos sesgados o datos sin distribución normal y donde el número de observaciones sea menor. MAD es la desviación media absoluta. Otra ventaja del método de puntuación Z modificada es que usa la mediana y la MAD en lugar de la desviación media y estándar. La mediana y la MAD son medidas sólidas de la tendencia central y la dispersión, respectivamente.
