Description
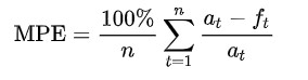
MPE est l'erreur (ou écart) moyenne en pourcentage. Il s'agit d'une mesure relative passant ME en unités de pourcentage à la place des unités de la variable. L'avantage principal de la métrique MPE est qu'elle permet de comparer les variations entre des données à différentes échelles.
Formule

où at est la valeur réelle de la quantité en cours de prévision, ft est la prévision et n est le nombre de fois où la variable est prévue.
Exemple
