Description
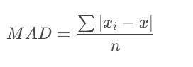
La déviation moyenne absolue est une simple extension de la variation absolue. Elle additionne les variations absolues et divise le résultat par le nombre d'enregistrements. La déviation moyenne absolue est une statistique d'erreur qui calcule la distance moyenne de chaque paire point de données réel/point de données ajusté.
Formule

Exemple
