Descrizione
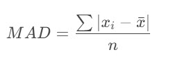
La deviazione assoluta mediana è una semplice estensione della varianza assoluta. Somma le varianze assolute e divide il risultato per il numero di record. La deviazione assoluta mediana è una statistica di errore che calcola la distanza media tra ogni coppia di datapoint effettivi e approssimati.
Formula

Esempio
