Descrizione
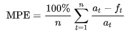
MPE è l'errore medio percentuale (o la deviazione). Si tratta di una misura relativa che sostanzialmente dimensiona il valore ME affinché sia rappresentato in unità percentuali anziché in unità della variabile. Il principale vantaggio di MPE è la possibilità di confrontare varianze tra dati rapportati in modo diverso.
Formula

dove at è il valore effettivo della quantità oggetto della previsione, ft è la previsione ed n è il numero di volte diverse per cui viene prevista la variabile.
Esempio
