説明
MPEは平均パーセンテージ誤差(偏差)です。これは、基本的にMEを変数の単位ではなくパーセンテージ単位にスケールする相対測度です。MPEの主な利点は、異なるスケールのデータ間で差異を比較できることです。
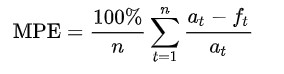
式
atは予測される数量の実際の値、ftは予測、nは変数が予測される回数です。
例
Scripting on this page enhances content navigation, but does not change the content in any way.