Descrição
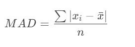
O Desvio Médio Absoluto é uma extensão simples da variação absoluta. Ele soma as variações absolutas e divide o resultado pelo número de registros. O desvio médio absoluto é um erro estatístico que calcula a média de distância entre cada par de pontos de dados reais e ajustados.
Fórmula

Exemplo
