O método Z-Score se baseia na média e no desvio padrão de um grupo de dados par medir a tendência central e a dispersão. Isso é complicado porque a média e o desvio padrão são altamente afetados por outliers; eles não são potentes. Na verdade, a distorção que os outliers trazem é um dos principais motivos para encontrar e remover outliers de um conjunto de dados! Outra desvantagem do método Z-Score é que ele se comporta de forma estranha em conjuntos de dados pequenos. Na verdade, o método Z-score nunca detectará um outlier se o conjunto de dados tiver menos de 12 itens.
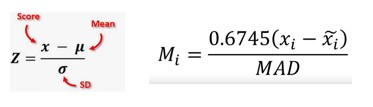
Isso motivou o desenvolvimento de um método Z-Score modificado, que não sofre da mesma limitação. Esse método funciona bem para dados distorcidos que não são distribuídos normalmente e onde o número de observações é menor. MAD é o Desvio Absoluto Mediano. Um benefício adicional do método Z-Score modificado é que ele usa a mediana e o MAD, em vez da média e do desvio padrão. A mediana e MAD são medidas robustas de tendência central e dispersão, respectivamente.
