Descrição
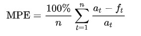
O MPE é o erro percentual médio (ou desvio). Ele é uma medida relativa que essencialmente dimensiona o ME para estar em unidades percentuais, em vez das unidades da variável. A principal vantagem do MPE é que ele permite a você comparar variações entre dados dimensionados de maneira diferente.
Fórmula

onde at consiste no valor real da quantidade que está sendo prevista, ft é a previsão e n é o número de vezes diferentes para as quais a variável é prevista.
Exemplo
