说明
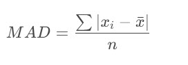
平均绝对偏差是绝对方差的简单扩展。它对绝对方差求和并使用得到的结果除以记录数。平均绝对偏差是误差统计值,它计算每对实际数据点与拟合数据点之间距离的平均值。
公式
示例
Scripting on this page enhances content navigation, but does not change the content in any way.