说明
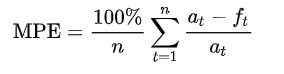
MPE 指平均百分比误差(或偏差)。它是一种相对度量,它实际上将 ME 尺度确定为百分比单位而不是变量的单位。MPE 的主要优势在于它允许您比较两个不同尺度的数据之间的差异。
公式
其中 at 是预测量的实际值,ft 是预测值,n 是预测变量的不同时间点数。
示例
Scripting on this page enhances content navigation, but does not change the content in any way.