描述
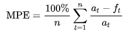
MPE 是平均百分比誤差 (或差異)。它是相對測量值,基本上會調整 ME 的比例,讓 ME 變成採用百分比單位,而非變數的單位。MPE 的主要優點,就是可讓您比較比例不同的資料之間的差異。
公式
其中 at 是正受預測之數量的實際值,ft 是預測,而 n 是不同的變數預測時間的數量。
範例
Scripting on this page enhances content navigation, but does not change the content in any way.