描述
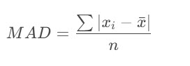
「平均絕對偏差」是絕對差異的簡單延伸。它會計算絕對差異的總和,然後將結果除以記錄數。平均絕對偏差是誤差統計,它會計算每組實際資料點與配適資料點之間的平均距離。
公式
範例
Scripting on this page enhances content navigation, but does not change the content in any way.