Using Attribute Data-Control Charts

This table shows the use of attribute data-control charts:

Equation Statistic
gv_7b87_sqsy7e27 gv_7b84_sqsy7e21 gv_7b83_sqsy7e1f

where:

gv_7b82_sqsy7e1d gv_7b81_sqsy7e1b

The p chart displays the proportion of nonconforming items in a group of items being inspected. The plotted point (p) is the fraction of defective items found for each sample (n). The sample size (n) need not be constant; however, sample sizes that vary more than 25 percent may provide misleading results (as documented in most SPC references).

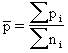
gv_7b80_sqsy7e19 gv_7b7f_sqsy7e17 gv_7b7e_sqsy7e15

where:

gv_7b7d_sqsy7e13

The np chart displays the nonconforming items in a group of items being inspected. It is similar to the p chart, but requires a constant sample size (n). The plotted point (np) is the number of defective items found for each sample (n).

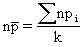
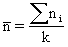
gv_7b7c_sqsy7e11 gv_7b7b_sqsy7e0f gv_7b7a_sqsy7e0d

where:

gv_7b79_sqsy7e0b

The c chart displays the number of defects found in a group of items being inspected. It requires a constant sample size (n). The plotted point (c) is the number of defects found for each sample (n).

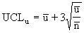
gv_7b78_sqsy7e09 gv_7b77_sqsy7e07 gv_7b76_sqsy7e05

where:

gv_7b75_sqsy7e03

The u chart displays the number of defects found in a unit. Each unit is equal to the sample size, which may vary from group to group. This chart is similar to the c chart, but doesn't require a constant sample size (n). The plotted point (u) is the number of defects per unit (sometimes denoted as DPU).