Using Skewness and Kurtosis

The calculations for skewness and kurtosis use the following examples:

Equation Statistic
gv_7be2_sqsy7edd

Skewness measures the degree of asymmetry in a sample.

gv_7be1_sqsy7edb

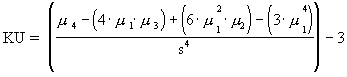
Kurtosis measures the degree of peakedness in a sample.

gv_7be0_sqsy7ed9

N/A

gv_7bdf_sqsy7ed7

N/A

gv_7bde_sqsy7ed5

N/A

gv_7bdd_sqsy7ed3

N/A