PREDICTION
Syntax
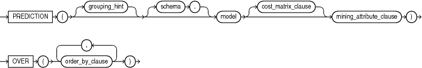
prediction::=
prediction_ordered::=
Analytic Syntax
prediction_analytic::=
cost_matrix_clause::=
mining_attribute_clause::=
mining_analytic_clause::=
See Also:
"Analytic Functions" for information on the syntax, semantics, and restrictions of mining_analytic_clause
Purpose
PREDICTION returns a prediction for each row in the selection. The data type of the returned prediction depends on whether the function performs Regression, Classification, or Anomaly Detection.
-
Regression: Returns the expected target value for each row. The data type of the return value is the data type of the target.
-
Classification: Returns the most probable target class (or lowest cost target class, if costs are specified) for each row. The data type of the return value is the data type of the target.
-
Anomaly Detection: Returns
1or0for each row. Typical rows are classified as 1. Rows that differ significantly from the rest of the data are classified as 0.
cost_matrix_clause
Costs are a biasing factor for minimizing the most harmful kinds of misclassifications. You can specify cost_matrix_clause for Classification or Anomaly Detection. Costs are not relevant for Regression. The cost_matrix_clause behaves as described for "PREDICTION_COST".
Syntax Choice
PREDICTION can score data by applying a mining model object to the data, or it can dynamically score the data by executing an analytic clause that builds and applies one or more transient mining models. Choose Syntax or Analytic Syntax:
-
Syntax: Use the
predictionsyntax to score the data with a pre-defined model. Supply the name of a model that performs classification, regression, or anomaly detection.Use the
prediction_orderedsyntax for a model that requires ordered data, such as an MSET-SPRT model. Theprediction_orderedsyntax requires anorder_by_clauseclause.Restrictions on the
prediction_orderedsyntax are that you cannot use it in theWHEREclause of a query. Also, you cannot use aquery_partition_clauseor awindowing_clausewith theprediction_orderedsyntax.For details about the
order_by_clause, see "Analytic Functions". -
Analytic Syntax: Use the analytic syntax to score the data without a pre-defined model. The analytic syntax uses
mining_analytic_clause, which specifies if the data should be partitioned for multiple model builds. Themining_analytic_clausesupports aquery_partition_clauseand anorder_by_clause. (See "analytic_clause::=".)-
For Regression, specify
FORexpr, whereexpris an expression that identifies a target column that has a numeric data type. -
For Classification, specify
FORexpr, whereexpris an expression that identifies a target column that has a character data type. -
For Anomaly Detection, specify the keywords
OF ANOMALY.
-
The syntax of the PREDICTION function can use an optional GROUPING hint when scoring a partitioned model. See GROUPING Hint.
mining_attribute_clause
mining_attribute_clause identifies the column attributes to use as predictors for scoring.
-
If you specify
USING *, all the relevant attributes present in the input row are used. -
If you invoke the function with the analytic syntax, the
mining_attribute_clauseis used both for building the transient models and for scoring. -
It you invoke the function with a pre-defined model, the
mining_attribute_clauseshould include all or some of the attributes that were used to create the model. The following conditions apply:-
If
mining_attribute_clauseincludes an attribute with the same name but a different data type from the one that was used to create the model, then the data type is converted to the type expected by the model. -
If you specify more attributes for scoring than were used to create the model, then the extra attributes are silently ignored.
-
If you specify fewer attributes for scoring than were used to create the model, then scoring is performed on a best-effort basis.
-
See Also:
-
Oracle Machine Learning for SQL User’s Guide for information about scoring.
-
Oracle Machine Learning for SQL Concepts for information about predictive Oracle Machine Learning for SQL.
-
Appendix C in Oracle Database Globalization Support Guide for the collation derivation rules, which define the collation assigned to the return value of
PREDICTIONwhen it is a character value
Note:
The following examples are excerpted from the Oracle Machine Learning for SQL sample programs. For more information about the sample programs, see Appendix A in Oracle Machine Learning for SQL User’s Guide.
Example
In this example, the model dt_sh_clas_sample predicts the gender and age of customers who are most likely to use an affinity card (target = 1). The PREDICTION function takes into account the cost matrix associated with the model and uses marital status, education, and household size as predictors.
SELECT cust_gender, COUNT(*) AS cnt, ROUND(AVG(age)) AS avg_age
FROM mining_data_apply_v
WHERE PREDICTION(dt_sh_clas_sample COST MODEL
USING cust_marital_status, education, household_size) = 1
GROUP BY cust_gender
ORDER BY cust_gender;
CUST_GENDER CNT AVG_AGE
------------ ---------- ----------
F 170 38
M 685 42
The cost matrix associated with the model dt_sh_clas_sample is stored in the table dt_sh_sample_costs. The cost matrix specifies that the misclassification of 1 is 8 times more costly than the misclassification of 0.
SQL> select * from dt_sh_sample_cost;
ACTUAL_TARGET_VALUE PREDICTED_TARGET_VALUE COST
------------------- ---------------------- ------------
0 0 .000000000
0 1 1.000000000
1 0 8.000000000
1 1 .000000000
Analytic Example
In this example, dynamic regression is used to predict the age of customers who are likely to use an affinity card. The query returns the 3 customers whose predicted age is most different from the actual. The query includes information about the predictors that have the greatest influence on the prediction.
SELECT cust_id, age, pred_age, age-pred_age age_diff, pred_det FROM
(SELECT cust_id, age, pred_age, pred_det,
RANK() OVER (ORDER BY ABS(age-pred_age) desc) rnk FROM
(SELECT cust_id, age,
PREDICTION(FOR age USING *) OVER () pred_age,
PREDICTION_DETAILS(FOR age ABS USING *) OVER () pred_det
FROM mining_data_apply_v))
WHERE rnk <= 3;
CUST_ID AGE PRED_AGE AGE_DIFF PRED_DET
------- ---- -------- -------- -------- ----------------------------------------------------------
100910 80 40.67 39.33 <Details algorithm="Support Vector Machines">
<Attribute name="HOME_THEATER_PACKAGE" actualValue="1" weight=".059"
rank="1"/>
<Attribute name="Y_BOX_GAMES" actualValue="0" weight=".059"
rank="2"/>
<Attribute name="AFFINITY_CARD" actualValue="0" weight=".059"
rank="3"/>
<Attribute name="FLAT_PANEL_MONITOR" actualValue="1" weight=".059"
rank="4"/>
<Attribute name="YRS_RESIDENCE" actualValue="4" weight=".059"
rank="5"/>
</Details>
101285 79 42.18 36.82 <Details algorithm="Support Vector Machines">
<Attribute name="HOME_THEATER_PACKAGE" actualValue="1" weight=".059"
rank="1"/>
<Attribute name="HOUSEHOLD_SIZE" actualValue="2" weight=".059"
rank="2"/>
<Attribute name="CUST_MARITAL_STATUS" actualValue="Mabsent"
weight=".059" rank="3"/>
<Attribute name="Y_BOX_GAMES" actualValue="0" weight=".059"
rank="4"/>
<Attribute name="OCCUPATION" actualValue="Prof." weight=".059"
rank="5"/>
</Details>
100694 77 41.04 35.96 <Details algorithm="Support Vector Machines">
<Attribute name="HOME_THEATER_PACKAGE" actualValue="1" weight=".059"
rank="1"/>
<Attribute name="EDUCATION" actualValue="< Bach." weight=".059"
rank="2"/>
<Attribute name="Y_BOX_GAMES" actualValue="0" weight=".059"
rank="3"/>
<Attribute name="CUST_ID" actualValue="100694" weight=".059"
rank="4"/>
<Attribute name="COUNTRY_NAME" actualValue="United States of
America" weight=".059" rank="5"/>
</Details>





