Previous     Contents     Index     Next     
Market Maker 1.0 Catalog Import Guide



Chapter 2   Catalog Concepts




Introduction

To make their products available in a marketplace, sellers organize product information in catalogs. These catalogs are the basis for buying and selling products. The ways of representing catalog information vary from seller to seller, even among sellers of similar products.

To facilitate searching and comparing products from different seller catalogs, iPlanet Market Maker software uses a Public Master catalog (PMC). The PMC is the result of aggregating and normalizing the information in all the individual seller catalogs. There is one PMC per marketplace. The marketmaker administrator maintains the PMC.

This chapter describes the catalog concepts you need to understand to import your catalog data into an iPlanet Market Maker markeplace. It contains the following sections.



Defining the Catalog Structure

Seller catalogs and the PMC are a hierarchy of categories and items. A category can have other categories and items beneath it. Items are the "leaf" elements in a catalog, which means that there are no categories or items under an item. For example, a category called "office supplies" might have a sub-category called "desks." An example of an item in this case might be a specific desk.


Defining Item Attributes

Each item under a category has an associated set of attributes. Each attribute has a name, a value, and, (optionally), a unit. These attributes provide information specific to an item, such as its price, product name, and so on. Figure 2-1 shows a sample catalog representation with categories, items, and attributes.

Figure 2-1    Catalog Hierarchy Structure Example


Identifying Items

In a seller catalog, all the items must be uniquely identified using some combination of categories and attributes. Seller catalogs often use the storage keeping unit (SKU) attribute to uniquely identify items, but you can use any combination of categories and attributes to uniquely identify items in your catalog. See Figure 2-2.

Figure 2-2    SKU Attribute Identifier



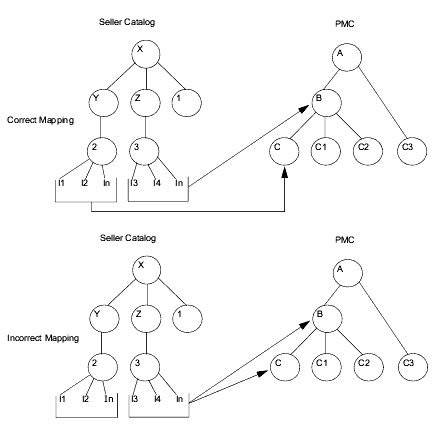
Mapping Catalog Hierarchies



The hierarchy of categories in a catalog is called an ontology. It is common for the ontology of one seller catalog to be different from another. The PMC has only one ontology. The process of mapping items from a seller catalog to the PMC is called ontology mapping.

Items in one category in a seller catalog can be mapped to a category in the PMC, but items from one category in a seller catalog cannot be mapped to multiple categories in the PMC. Figure 2-3 shows an example of correct and incorrect ontology mappings. The circles represent categories.

Figure 2-3    Mapping Items in the Seller Catalog to the PMC


Attribute Normalization

The PMC can impose conventions on attribute names and units. For example, in the PMC, all the attributes associated with the list price of an item are named "Price". But a seller catalog might not conform to this convention, so the Import utility needs to map the attribute names and units from the seller catalog to those in the PMC. This mapping process is called attribute normalization.

The attribute names in a seller catalog drive attribute name and unit normalization. The Import utility applies the same normalization rules to all the items in a seller catalog. To determine which rule to apply, it finds the attribute name with a corresponding normalization rule.


Attribute Name Normalization

An attribute name in the seller catalog might have a different name in the PMC. For example, an attribute name of "Product Name" in the seller catalog might have an attribute name of "Name" in the PMC, as shown in Figure 2-4.

Figure 2-4    Renaming Attribute Names


Renaming Attribute Units

Like attribute names, attribute units in the seller catalog might have a different name in the PMC. An attribute might have the same name in both the seller and PMC, but might have different attribute units. For example, an attribute unit of "$" in the seller catalog might have an attribute type of "USD" in the PMC, as shown in Figure 2-5.

Figure 2-5    Renaming Attribute Units


Specifying Attribute Types

To relate a certain type to an attribute value based on its attribute name, you can create an XML file that maps the attribute name to the type. For each attribute name, you specify an attribute value and the type to be associated with the value. This file must be correct with respect to the attribute-types.dtd file.

Common uses of attribute types are as follows.

  • To relate an attribute name of "Price" to the type "currency." For example,

    <attribute-types>
            <attribute-type name="Price" type="currency" </attribute-type>
    </attribute-types>

  • To specify an attribute value type as URL. This means that within the iPlanet Market Maker PMC the attribute value is shown as a link. The URL specified in your catalog must be a path relative to the iPlanet Market Maker directory:

    <market_maker_install_dir>/docs

  • To specify an attribute value type of Integer. You specify this type to allow for greater than and less than advanced searching capabilities with an iPlanet Market Maker market place. You must have marketmaker administrator privileges to use this capability.


Previous     Contents     Index     Next     
Copyright © 2000 Sun Microsystems, Inc. Some preexisting portions Copyright © 2000 Netscape Communications Corp. All rights reserved.

Last Updated February 15, 2001