| Oracle® Communications EAGLE Database Administration - GTT User's Guide Release 46.7 E97332-02 |
|
![]() Previous |
![]() Next |
This procedure is used to change the weight and threshold
values of entries in an existing Mated Relay Node (MRN) group or MRN set to new
weight and threshold values. The weight and threshold values are changed using
the
chg-mrn command. This procedure can be
performed only on MRN entries that have weight and thresholds assigned.
The following changes can be made in this procedure:
The individual weight values of the entries in the
MRN group or MRN set with the
wt/wt1/wt2/wt3/wt4 parameters.
The individual weight and relative cost values of the
entries in the MRN group or MRN set with the
wt/wt1/wt2/wt3/wt4,
rc/rc1/rc2/rc3/rc4, and
force=yes parameters.
The threshold values of the entities in the MRN group
or MRN set that have the same relative cost value with the
thr parameter. The new threshold
value is assigned to the entities in the MRN group or MRN set that have the
same relative cost value.
The weight values of the entities in the MRN group or
MRN set that have the same relative cost value with the
grpwt parameter. The new weight
value is assigned to the entities in the MRN group or MRN set that have the
same relative cost value.
The threshold and weight values of the entities in
the MRN group or MRN set that have the same relative cost value with the
thr and
grpwt parameters. The new threshold
and weight value is assigned to the entities in the MRN group or MRN set that
have the same relative cost value.
The
chg-mrn command can also be used to add
point code entries to an existing MRN group or MRN set. This action is not
covered in this procedure. If you wish to add point code entries to an existing
MRN group or MRN set, perform
Provisioning MRN Entries
.
If the MRN entries being changed do not have weight and threshold values assigned to them, perform Changing the Relative Cost Values of MRN Entries.
If you wish to assign the same weight and threshold value
to all the MRN entries in the MRN group or MRN set with the
eswt and
thr parameters, or to remove the weight
and threshold values from all the MRN entries in the MRN group or MRN set with
the
eswt=none parameter, perform
Changing MRN Entries with the ESWT Parameter.
The
eswt parameter cannot be used in this
procedure.
If you wish to change the MAP set, MAP point code, and
MAP SSN values assigned to an MRN set, using the
mapset,
mappc/mappca/mappci/mappcn/mappcn24,
and
mapssn parameters, perform
Changing the MAPSET, MAP Point Code, and MAP SSN Values of MRN Entries.
The
mapset,
mappc/mappca/mappci/mappcn/mappcn24,
and
mapssn parameters cannot be used in
this procedure.
An MRN group or MRN set contains alternate point codes, up to 32, that are used for load sharing between multiple nodes when the EAGLE is performing intermediate global title translation. This load sharing is performed after intermediate global title translation is performed on the message. The point code in the message is changed to the selected point code in the MRN table. If the translated point code is not found in the MRN table, the translated point code in the message is not changed, the message is routed using route for the translated point code.
The
chg-mrn command uses these parameters.
:pc/pca/pci/pcn/pcn24 –
The point code in the message after intermediate global title translation has
been performed.
:rc – The relative cost
value of point code in the message
:pc1/pca1/pci1/pcn1/pcn241 – The first alternate point
code value
:rc1 – The relative cost
value of the first alternate point code
:pc2/pca2/pci2/pcn2/pcn242 – The second alternate point
code value
:rc2 – The relative cost
value of the second alternate point code
:pc3/pca3/pci3/pcn3/pcn243 – The third alternate point
code value
:rc3 – The relative cost
value of the third alternate point code
:pc4/pca4/pci4/pcn4/pcn244 – The fourth alternate point
code value
:rc4 – The relative cost
value of the fourth alternate point code
Note:
Refer to Chapter 2, Configuring Destination Tables in Database Administration - SS7 User's Guide for a definition of the point code types that are used on the EAGLE and for a definition of the different formats that can be used for ITU national point codes.:mrnset – The MRN set ID
that the MRN is assigned to, shown in the
rtrv-mrn output. MRN set IDs are shown
only if the Flexible GTT Load Sharing feature is enabled. The
mrnset parameter value cannot be
changed in this procedure. For more information on the Flexible GTT Load
Sharing feature, refer to
Flexible GTT Load Sharing.
:grpwt – The group weight
value. When this parameter is specified, the same weight value is assigned to
all entries that have the same RC (relative cost) value in the MRN group or MRN
set that contain the point code specified in the
chg-mrn command. The value of this
parameter is from 1 - 99.
:wt – The weight value
assigned to the
pc/pca/pci/pcn/pcn24 parameter
value. The value of this parameter is from 1 - 99.
:wt1 – The weight value
assigned to the
pc1/pca1/pci1/pcn1/pcn241 parameter
value. The value of this parameter is from 1 - 99.
:wt2 – The weight value
assigned to the
pc2/pca2/pci2/pcn2/pcn242 parameter
value. The value of this parameter is from 1 - 99.
:wt3 – The weight value
assigned to the
pc3/pca3/pci3/pcn3/pcn243 parameter
value. The value of this parameter is from 1 - 99.
:wt4 – The weight value
assigned to the
pc4/pca4/pci4/pcn4/pcn244 parameter
value.
:thr – The in-service
threshold assigned to the MRN group or MRN set. The in-service threshold is the
minimum percentage (from 1 - 100) of weight that must be available for an RC
group (a group of entries in the MRN group or MRN set that have the same RC
value assigned) to be considered available to carry traffic. If the percentage
of the available weight is less than the in-service threshold, then the entire
RC group is considered unavailable for traffic. If the percentage of the
available weight is equal to or greater than the in-service threshold, then the
RC group is considered available, and traffic can be sent to any available
entity in the RC group. The value of the
thr parameter is assigned to all
entries that have the same RC (relative cost) value in the MRN group or MRN set
that contain the point code specified in the
chg-mrn command.
:force=yes – This
parameter must be specified if the
rc/rc1/rc2/rc3/rc4 parameter is specified with the
wt/wt1/wt2/wt3/wt4 parameter.
The relative cost parameter values (rc/rc1/rc2/rc3/rc4) determine how the global title translation load is
to be shared among the alternate point codes. There are three types of load
sharing that can be performed: dominant, load shared, or combined dominant/load
shared.
All the point codes in a dominant MRN group or MRN set have different relative cost values. The translated point code in the message is the preferred point code that the message is routed on. The relative cost value assigned to the preferred point code does not have to be the lowest value in the MRN group or MRN set. All traffic is routed to the preferred point code, if it is available. If the preferred point code becomes unavailable, the traffic is routed to highest priority alternate point code that is available. When the preferred point code becomes available again, the traffic is then routed back to the preferred point code. For example, the MRN table contains the following entries.
PC RC 005-005-005 10 006-001-001 20 006-001-002 30 006-001-003 40 006-001-004 50 006-001-005 60 006-001-006 70 006-001-007 80
If the preferred point code is 006-001-001 and it becomes unavailable, the traffic will be routed to point code 006-001-002.
All the point codes in a load shared MRN group have the same relative cost value. Traffic is shared equally between the point codes in this MRN group.
A combined dominant/load shared MRN group or MRN set is a combination of the dominant and load sharing MRN groups or MRN sets. A combined dominant/load shared MRN group or MRN set must contain a minimum of two entries with the same relative cost value and a minimum of one entry with a different relative cost value. Traffic is routed to the point code or point codes with the lowest relative cost value. If more than one point code has the lowest relative cost value, the traffic is shared between these point codes. If the point code or point codes with the lowest relative cost value become unavailable, traffic is routed to the the point code or point codes with the next higher relative cost value. If more than one point code has this relative cost value, the traffic is shared between these point codes. For example, the MRN table contains the following entries.
PC RC 005-005-005 10 006-001-001 10 006-001-002 10 006-001-003 20 006-001-004 20 006-001-005 20 006-001-006 20 006-001-007 20
If the preferred point code is 006-001-001, the traffic is shared equally between point codes 005-005-005, 006-001-001, and 006-001-002. If point codes 005-005-005, 006-001-001, and 006-001-002 become unavailable, the traffic will be shared equally between point codes, 006-001-003, 006-001-004, 006-001-005, 006-001-006, and 006-001-007.
Specifying the
grpwt or
thr parameter with the
chg-mrn command can be done when
specifying only the
pc/pca/pci/pcn/pcn24 parameter and
without the alternate point code, relative cost (rc,
rc1,
rc2,
rc3,
rc4), and individual weight (wt,
wt1,
wt2,
wt3,
wt4) parameters.
The weight values assigned to the entires in the MRN
group or MRN set are shown in the
WT column in the
rtrv-mrn output.
The in-service threshold values assigned to the entires
in the MRN group or MRN set are shown in the
THR column in the
rtrv-mrn output.
The
%WT column in the
rtrv-mrn output shows the percentage of
the traffic the particular entry in the entity set will handle.
The
WT,
%WT, and
THR columns are shown in the
rtrv-mrn output only if the Weighted
GTT Load Sharing feature is enabled and turned on.
For more information on the Weighted GTT Load Sharing feature, refer to Weighted GTT Load Sharing.
Canceling the
RTRV-MRN Command
Because the
rtrv-mrn command used in this procedure
can output information for a long period of time, the
rtrv-mrn command can be canceled and
the output to the terminal stopped. There are three ways that the
rtrv-mrn command can be canceled.
F9 function key on the keyboard at
the terminal where the
rtrv-mrn command was entered.
canc-cmd without the
trm parameter at the terminal where
the
rtrv-mrn command was entered.
canc-cmd:trm=<xx>, where
<xx> is the terminal where the
rtrv-mrn command was entered, from
another terminal other that the terminal where the
rtrv-mrn command was entered. To
enter the
canc-cmd:trm=<xx> command, the
terminal must allow Security Administration commands to be entered from it and
the user must be allowed to enter Security Administration commands. The
terminal’s permissions can be verified with the
rtrv-secu-trm command. The user’s
permissions can be verified with the
rtrv-user or
rtrv-secu-user commands.
For more information about the
canc-cmd command, refer to
Commands User's Guide.
Figure 2-145 Change the Weight and Threshold Values of MRN Entries - Sheet 1 of 4

Figure 2-146 Change the Weight and Threshold Values of MRN Entries - Sheet 2 of 4

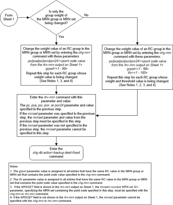
Figure 2-147 Change the Weight and Threshold Values of MRN Entries - Sheet 3 of 4

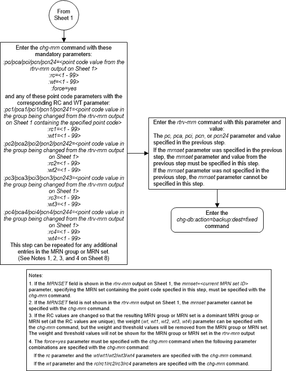
Figure 2-148 Change the Weight and Threshold Values of MRN Entries - Sheet 4 of 4
