| Oracle® Communications EAGLE Database Administration - GTT User's Guide Release 46.8 F11880-02 |
|
![]() Previous |
![]() Next |
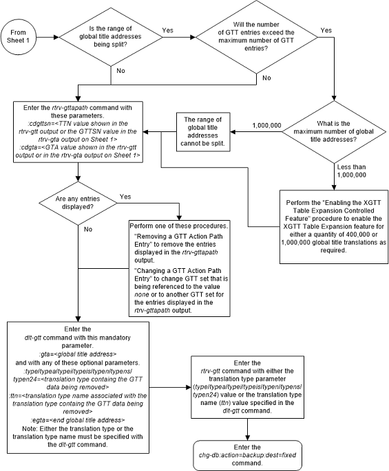
This procedure is used to remove a global title
translation from the database using the
dlt-gtt command.
The
dlt-gtt command uses these parameters.
:gta – Global title start
address – along with the
egta parameter, identifies all valid
global titles for the given translation type to translate to the given
pc or
ssn parameters. These are the non-SS7
addresses transmitted to the EAGLE for translation.
:egta – Global title end
address – along with the
gta parameter, identifies all valid
global titles for the given translation type to translate to the given
pc or
ssn parameters. These are the non-SS7
addresses transmitted to the EAGLE for translation.
:type/typea/typei/typeis/typen/typens/typen24 – The
translation type and network type of that translation type.
:type or
:typea – an ANSI network
:typei – an ITU
international network
:typeis – an ITU
international spare network
:typen – a 14-bit
ITU national network.
:typens – a 14-bit
ITU national spare network.
:typen24 – a 24-bit
ITU national network.
:ttn – The name of the
global title translation type
If the translation type is defined as an alias, it cannot
be used in the
dlt-gtt command.
If the end of the global title address (egta) parameter is specified, the GTA and EGTA must
have the same number of digits, but the EGTA must be larger than the GTA. The
range, as specified by the start and end global title addresses, must be in the
database for the specified translation type. Each range may be contained
completely within a previously defined range, in which case splitting is
performed. However, if the ranges overlap, splitting cannot occur, and the
dlt-gtt command is rejected with this
message.
The range of global title addresses, as specified by the
start and end global title addresses, must be in the database for the specified
translation type. The
gta and
egta parameter values must have the
same number of digits, but the
egta parameter value must be larger
than the
gta parameter value. Each range may be
contained completely within a previously defined range, in which case splitting
is performed. However, if the ranges overlap, splitting cannot occur, and the
dlt-gtt command is rejected with this
message.
E2401 Cmd Rej:GTA range overlaps a current
range
Along with error message 2401, a list of the overlapped global title addresses is displayed as shown in the following example.
rlghncxa03w 07-05-24 08:29:15 GMT EAGLE5 37.0.0 The following GTA ranges overlap the input GTA range START GTA END GTA 8005550000 8005551999 8005552000 8005553999 8005554000 8005555999 DLT-GTT: MASP A - Command Aborted
For a range of global title addresses to be split, the
new entry created by the split cannot increase the number of entries in the GTT
table beyond the quantity shown in the
rtrv-gtt output.
The length of the global title addresses specified by the
gta or
egta parameters must match the length
of any existing global title addresses assigned to the specific translation
type. The lengths are shown in the
START GTA and
END GTA fields of the
rtrv-gtt command output, or in the
NDGT field of the
rtrv-tt command output. If the length
of the global title address does not match one of the lengths already assigned
to the translation type, the
dlt-gtt command is rejected with this
message.
E2960 Cmd Rej: The GTA length is not defined for
the specified TT
When the VGTT feature is on, up to 10 different length
global title addresses can be assigned to a translation type. If the Support
for 16 GTT Lengths in VGTT feature is enabled and turned on, up to 16 different
length global title addresses can be assigned to a translation type. The length
of the global title address is only limited by the range of values for the
gta and
egta parameters of the
ent-gtt and
chg-gtt commands, one to 21 digits, and
by the global title addresses already assigned to the translation type. The
ndgt parameter of the
ent-tt command has no effect on the
length of the global title address and cannot be used. If the
ndgt parameter is specified with the
ent-tt command and the VGTT feature is
on, the
ent-tt command is rejected with this
message.
E4011 Cmd Rej: NDGT parameter is invalid for
VGTT
If the Variable-length Global Title Translation Feature
(VGTT) is on, or the Support for 16 GTT Lengths in VGTT feature is enabled and
turned on, the
NDGT field of the
rtrv-tt command shows the different
lengths of global title addresses assigned to a translation type, as shown in
the following example.
rlghncxa03w 10-07-25 09:57:31 GMT EAGLE5 42.0.0 TYPEA TTN NDGT 1 lidb 6, 12, 15 2 c800 10 3 d700 6 ALIAS TYPEA 50 3 65 3 TYPEI TTN NDGT 105 itudb 8 ALIAS TYPEI 7 105 TYPEN TTN NDGT 120 dbitu 7 ALIAS TYPEN 8 120 TYPEN24 TTN NDGT ALIAS TYPEN24 TYPEIS TTN NDGT ALIAS TYPEIS TYPENS TTN NDGT ALIAS TYPENS
In this example of the
rtrv-tt command output, the ANSI
translation type 1 contains three different length global title addresses;
global title addresses containing six digits, 12 digits, and 15 digits.
When the VGTT feature is on, or the Support for 16 GTT
Lengths in VGTT feature is enabled and turned on, and the last global title
address of a particular length is deleted for the specified translation type,
then that length is no longer supported. That length is not displayed in the
NDGT field of the
rtrv-tt command output. For example, if
the last 6-digit global title address is deleted from ANSI translation type 1
(from the previous example), the
NDGT field of the
rtrv-tt command shows only the numbers
12 and 15 in the
NDGT field indicating that ANSI
translation type 1 contains only 12- and 15-digit global title addresses.
Canceling the
RTRV-GTT Command
Because the
rtrv-gtt command used in this procedure
can output information for a long period of time, the
rtrv-gtt command can be canceled and
the output to the terminal stopped. There are three ways that the
rtrv-gtt command can be canceled.
Press the
F9 function key on the keyboard at
the terminal where the
rtrv-gtt command was entered.
Enter the
canc-cmd without the
trm parameter at the terminal where
the
rtrv-gtt command was entered.
Enter the
canc-cmd:trm=<xx>, where
<xx> is the terminal where
the
rtrv-gtt command was entered, from
another terminal other that the terminal where the
rtrv-gtt command was entered. To
enter the
canc-cmd:trm=<xx> command,
the terminal must allow Security Administration commands to be entered from it
and the user must be allowed to enter Security Administration commands. The
terminal’s permissions can be verified with the
rtrv-secu-trm command. The user’s
permissions can be verified with the
rtrv-user or
rtrv-secu-user commands.
For more information about the
canc-cmd command, go to
Commands User's Guide.
Figure 3-21 Remove a Global Title Translation - Sheet 1 of 2

Figure 3-22 Remove a Global Title Translation - Sheet 2 of 2
