RETURNING INTO Clause
The RETURNING
INTO clause specifies the variables in which to store the values returned
by the statement to which the clause belongs.
The variables can be either individual variables or collections. If the statement affects no rows, then the values of the variables are undefined.
The static
RETURNING
INTO clause belongs to a DELETE,
INSERT, UPDATE, or MERGE
statement. The dynamic
RETURNING
INTO clause belongs to the EXECUTE
IMMEDIATE statement.
Note:
You cannot use the RETURNING INTO clause for remote or parallel deletes.
Topics
Syntax
static_returning_clause ::=
dynamic_returning_clause ::=
into_clause ::=
bulk_collect_into_clause ::=
Semantics
static_returning_clause
OLD | NEW
Given columns c1 and c2 in a table,
you can specify OLD for column c1 (for example
OLD
c1). You can also specify OLD for a column
referenced by a column expression (for example c1+OLD
c2) or on a column referenced by an aggregate function (for example
AVG(OLD c1)). When OLD is specified for a
column, the column value before the execution of an associated
INSERT, UPDATE, MERGE, or
DELETE statement is returned. In the case of a column
referenced by a column expression, what is returned is the result from evaluating
the column expression using the column value before the DML statement is
executed.
NEW can be explicitly specified for a column, a column
referenced in an expression, or a column referenced by an aggregate function to
return a column value after the INSERT, UPDATE,
MERGE, or DELETE statement, or an expression
result that uses the after execution value of a column.
When OLD and NEW are both omitted for a
column or an expression, the post DML execution column value (pre-execution value
for DELETE), or the expression result computed using the column
values after DML execution, is returned.
Note that it is valid to specify OLD and
NEW on constants (for example, OLD 1),
however, the keywords are ignored. OLD and NEW are
not currently supported on virtual columns.
Note:
WhileUPDATE statements have both before and after update column
values, INSERT statements have no OLD column value
and DELETE statements have no NEW column value.
Although using OLD and NEW in these cases is
valid, nothing is returned.
column
Expression whose value is the name of a column of a database table.
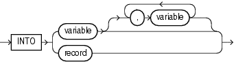
into_clause
Specifies the variables or record in which to store the column values that the statement returns.
Restriction on into_clause
Use into_clause in dynamic_returning_clause if and only if dynamic_sql_stmt (which appears in "EXECUTE IMMEDIATE Statement") returns a single row.
record
The name of a record variable in which to store the row that the statement returns. For each select_list item in the statement, the record must have a corresponding, type-compatible field.
variable
Either the name of a scalar variable in which to store a column that the statement returns or the name of a host cursor variable that is declared in a PL/SQL host environment and passed to PL/SQL as a bind variable. Each select_list item in the statement must have a corresponding, type-compatible variable. The data type of a host cursor variable is compatible with the return type of any PL/SQL cursor variable.
bulk_collect_into_clause
Specifies one or more existing collections or host arrays in which to store the rows that the statement returns. For each select_list item in the statement, bulk_collect_into_clause must have a corresponding, type-compatible collection or host_array.
For the reason to use this clause, see "Bulk SQL and Bulk Binding".
Restrictions on bulk_collect_into_clause
-
Use the
bulk_collect_into_clauseclause indynamic_returning_clauseif and only ifdynamic_sql_stmt(which appears in "EXECUTE IMMEDIATE Statement") can return multiple rows. -
You cannot use
bulk_collect_into_clausein client programs. -
When the statement that includes
bulk_collect_into_clauserequires implicit data type conversions,bulk_collect_into_clausecan have only onecollectionorhost_array.
collection
Name of a collection variable in which to store the rows that the statement returns.
Restrictions on collection
-
collectioncannot be the name of an associative array that is indexed by a string. -
When the statement requires implicit data type conversions,
collectioncannot be the name of a collection of a composite type.
:host_array
Name of an array declared in a PL/SQL host environment and passed to PL/SQL as a bind variable. Do not put space between the colon (:) and host_array.
Examples
-
Example 6-58, "UPDATE Statement Assigns Values to Record Variable"
-
Example 7-1, "Static SQL Statements"
-
Example 13-25, "Returning Deleted Rows in Two Nested Tables"
-
Example 13-26, "Returning NEW and OLD Values of Updated Rows"
-
Example 13-27, "DELETE with RETURN BULK COLLECT INTO in FORALL Statement"
Related Topics
In this chapter:
In other chapters:



