4 Enhanced Global Title Translation (EGTT) Configuration
Chapter 4, Enhanced Global Title Translation (EGTT) Configuration, contains the procedures specific to configure the enhanced global title translation feature.
Introduction
This chapter describes the procedures needed to add, remove, or change enhanced global title translation (EGTT) data in the database.
The items configured in this section are:
- GTT selectors
- GTT sets
- Global title addresses.
- GTT action sets
- GTT action per-path measurements
The following items must also be configured for the Enhanced Global Title Translation feature. The procedures to configure these items are located in the Global Title Translation (GTT) Overview section.
- Service modules
- Translation type mapping
- Concerned signaling point codes
- Mate applications
- Mated relay node groups
- GT Conversion Table Entries for the ANSI/ITU SCCP Conversion feature.
- Loopsets for the SCCP Loop Detection feature.
- GT modification identifiers for the Advanced GT Modification feature.
The procedures shown in this chapter use a variety of commands. For more information on these commands, refer to Commands User's Guide.
- Before turning the Enhanced Global Title Translation
(EGTT) feature on with the
chg-feat:egtt=oncommand, make sure you have purchased this feature. If you are not sure whether you have purchased the EGTT feature, contact your Oracle Sales Representative or Account Representative. - The GTT feature has to be turned on (
chg-feat:gtt=oncommand) but not configured before the Enhanced Global Title Translation (EGTT) feature is enabled. If the GTT feature has been configured previously, enabling the EGTT feature will upgrade the GTT database. For more information on the upgrade process, refer to the Upgrading from Global Title Translation (GTT) to Enhanced Global Title Translation (EGTT) section. - The translation type (
ent-/dlt-/rtrv-tt) and the GTT (ent-/dlt-/chg-/rtrv-gtt) commands can be executed when the EGTT feature is turned on, but will only produce CDGTA GTT sets and CDGTA GTT selectors. For more details on using these commands while the EGTT feature is turned on, refer to the Global Title Translation (GTT) Configuration section.
Adding a GTT Set
Use this procedure to add a global title translation
(GTT) set to the database using the
ent-gttset command. Subsequent global
title selector (gttsel) or global title
address (gta) commands may then be entered.
The
ent-gttset command uses these
parameters.
:gttsn – The GTT set
name consisting of one alphabetic character and up to eight alphanumeric
characters.
:netdom – The network
domain of the global title translation set, either ANSI, ITU, or CROSS. The
network domain CROSS can be specified only if the ANSI/ITU SCCP Conversion
feature, part number 893012001, is enabled. The CROSS GTT set can be assigned
to either an ANSI or ITU GTT selector.
Note:
The ITU domain does not distinguish between ITU-N (either ITU-N or ITU-N24) and ITU-I since the Enhanced Global Title Translation (EGTT) database does not yet distinguish ITU-National and ITU-International translations.:ndgt – The number of
digits contained in the global title translation.
:settype – The type of
GTT set being added in this procedure shown in
Table 4-1.
Table 4-1 GTT Set Types
| SETTYPE Value | Feature Requirements |
|---|---|
| CDGTA, CGGTA, CGPC, CGSSN, or OPC | The Origin-Based SCCP Routing feature must be enabled. |
| CDSSN or DPC | The Flexible Linkset Optional Based Routing feature must be enabled and turned on. |
| OPCODE | The TCAP Opcode Based Routing feature must be enabled and turned on. |
The Global Title Translation (GTT) and the Enhanced
Global Title Translation (EGTT) features must be
on before using this command. Use the
rtrv-feat command to verify the
settings. If the features are off, perform the
Adding a Service Module
procedure to turn these features on and to make sure that the correct hardware
is installed to support these features.
Note:
Once the Global Title Translation (GTT) feature and the Enhanced Global Title Translation (EGTT) feature are turned on with thechg-feat command, they cannot be
turned off.
The GTT feature and the EGTT feature must be purchased before you turn these features on. If you are not sure whether you have purchased the GTT feature and/or the EGTT feature, contact your Oracle Sales Representative or Account Representative.
The GTT set name (gttsn) may not already exist and must be specified with
the domain. The GTT set table may not have more than 2000 entries.
If the Variable-length Global Title Translation Feature
(VGTT) is on, shown by the entry
VGTT = on in the
rtrv-feat command output, or the
Support for 16 GTT Lengths in VGTT feature is enabled and turned on, the
ndgt parameter cannot be specified
with the
ent-gttset command. If the VGTT
feature is on, a GTT set can contain a maximum of 10 different length global
title addresses. If the Support for 16 GTT Lengths in VGTT feature is enabled
and turned on, a GTT set can contain a maximum of 16 different length global
title addresses. The length of the global title address is determined when the
global title address is entered with the
ent-gta command. For more information
on the VGTT feature and the length of global title addresses, refer to the
Variable-length Global Title Translation Feature
section and the
Adding Global Title Address Information
procedure.
The VGTT functionality is supported only for CDPA GTT
sets (settype=cdgta) and CGPA GTT sets
(settype=cggta).
Table 4-2 GTT Set Parameter Combinations - Only the EGTT feature is on
| SCCP Conversion Not Enabled VGTT=off | SCCP Conversion Not Enabled VGTT=on or Support for 16 GTT Lengths for VGTT is Enabled and Turned On | SCCP Conversion Enabled VGTT=off | SCCP Conversion Enabled VGTT=on or Support for 16 GTT Lengths for VGTT is Enabled and Turned On |
|---|---|---|---|
| Mandatory Parameters | |||
| GTTSN | GTTSN | GTTSN | GTTSN |
| NETDOM = ANSI, ITU | NETDOM = ANSI, ITU | NETDOM = CROSS, ANSI, ITU | NETDOM = CROSS, ANSI, ITU |
| Optional Parameter | |||
| NDGT | NDGT | ||
|
Notes: SCCP Conversion refers to the ANSI/ITU SCCP Conversion feature - part number 893012001 VGTT refers to the Variable Global Title Translation feature Parameter Values: GTTSN = the GTT Set Name consisting of 1 to 9 alpha-numeric
characters - the first character must be a letter, the remaining characters
must be letters or numbers. The
NDGT = the number of digits in the global title address - 1 to 21. The default value is 6. |
|||
Table 4-3 GTT Set Parameter Combinations - The OBSR Feature is Enabled, the FLOBR or the TOBR Features are Enabled or Turned On
| SCCP Conversion Not Enabled VGTT=off | SCCP Conversion Not Enabled VGTT=on or Support for 16 GTT Lengths for VGTT is Enabled and Turned On (See Note 3) | SCCP Conversion Enabled VGTT=off | SCCP Conversion Enabled VGTT=on or Support for 16 GTT Lengths for VGTT is Enabled and Turned On (See Note 3) |
|---|---|---|---|
| Mandatory Parameters | |||
| GTTSN | GTTSN | GTTSN | GTTSN |
| NETDOM = ANSI, ITU | NETDOM = ANSI, ITU | NETDOM = CROSS, ANSI, ITU (See Note 2) | NETDOM = CROSS, ANSI, ITU (See Note 2) |
| SETTYPE - the GTT set type shown in Table 4-1 (See Note 4) | SETTYPE - the GTT set type shown in Table 4-1 (See Note 4) | SETTYPE - the GTT set type shown in Table 4-1 (See Note 4) | SETTYPE - the GTT set type shown in Table 4-1 (See Note 4) |
| Optional Parameter | |||
| NDGT (See Note 1) | NDGT (See Note 1) | ||
|
Notes: OBSR refers to the Origin-Based SCCP Routing feature FLOBR refers to the Flexible Linkset Optional Based Routing feature TOBR refers to the TCAP Opcode Based Routing feature SCCP Conversion refers to the ANSI/ITU SCCP Conversion feature - part number 893012001 VGTT refers to the Variable Global Title Translation feature Parameter Values: GTTSN = the GTT Set Name consisting of 1 to 9 alpha-numeric
characters - the first character must be a letter, the remaining characters
must be letters or numbers. The
NDGT = the number of digits in the global title address - 1 to 21. 1. The NDGT parameter can be specified only if the
2. The NETDOM=CROSS parameter can be specified only if the
3. VGTT functionality is supported only if the
4. If the GTT set name will be specified as the value for the
|
|||
Figure 4-1 Add a GTT Set - Sheet 1 of 2

Figure 4-2 Add a GTT Set - Sheet 2 of 2

Removing a GTT Set
Use this procedure to remove a GTT Set from the database
using the
dlt-gttset command.
The
dlt-gttset command uses this parameter.
:gttsn – The GTT set
name.
The GTT set name (gttsn)
must be specified and match an existing GTT set. Use the
rtrv-gttset command to view the GTT set
names.
- GTT Selectors - Use the
rtrv-gttsel:gttsn=<GTT set name>command to view the GTT selectors using the specified GTT set name. If any GTT selectors are assigned to this GTT set name, perform the procedure Removing a GTT Selector to remove the selector from the database. - GTA entries - Use the
rtrv-gta:gttsn=<GTT set name>command to view the global title address information using the specified GTT set name. If any GTAs are assigned to this GTT set name, perform the procedure Removing Global Title Address Information to remove the global title address information from the database. - The GTT set name cannot be shown in the
rtrv-gsmsmsoptsorrtrv-is41smsoptsoutput as theBPARTYGTTSNvalue. Perform the procedure Configuring the GSM MO SMS B-Party Routing Options or the procedure Configuring the IS-41 MO SMS B-Party Routing Options to remove the GTT set name as theBPARTYGTTSNvalue. - The GTT set name cannot be shown in the
rtrv-gsmsmsoptsoutput as theIS41SMSCGTTSNvalue. Perform the procedures in IS41 GSM Migration User's Guide to remove the GTT set name as theIS41SMSCGTTSNvalue.
The examples in this procedure are used to remove the GTT
set name
t800 from the database.
Figure 4-3 Remove a GTT Set - Sheet 1 of 2

Figure 4-4 Remove a GTT Set - Sheet 2 of 2

Changing a GTT Set
Use this procedure to change the number of digits
assigned to a global title translation (GTT) set, change the network domain of
the GTT set to CROSS, or change the GTT set name using the
chg-gttset command.
The
chg-gttset command uses these
parameters:
:gttsn – The GTT set
name. The GTT set name (gttsn) specifies the
GTT set being changed and must be shown in the
rtrv-gttset output.
:ngttsn – The new GTT
set name consisting of one alphabetic character and up to eight alphanumeric
characters.
:netdom=cross – The CROSS
network domain of the global title translation set. The network domain CROSS
can be specified only if the ANSI/ITU SCCP Conversion feature, part number
893012001, is enabled, and if the GTT set is a CDGTA GTT set. If the
SETTYPE column is not shown in the
rtrv-gttset output, all the GTT sets
are CDGTA GTT sets. The CROSS GTT set can be assigned to either an ANSI or ITU
GTT selector. For more information, refer to the
ANSI/ITU SCCP Conversion Feature
section.
:gttsetmeasrqd - GTTSET Measurement required. This
parameter specifies whether to perform per GTTSET measurements.
:ndgt – The number of
digits contained in the global title translation. The
ndgt parameter cannot be specified:
- If the Origin-Based SCCP Routing feature is enabled,
the
SETTYPEvalue of the GTT set isCGSSN,CGPC, orOPC. - If the Flexible Linkset Optional Based Routing
feature is enabled and turned on, the
SETTYPEvalue of the GTT set isCDSSNorDPC. - If the TCAP Opcode Based Routing feature is enabled
and turned on, the
SETTYPEvalue of the GTT set isOPCODE. - If GTAs are assigned to the GTT set. This can be
verified with the
rtrv-gtacommand and the GTT set name being changed in this procedure. -
If the VGTT feature is on, shown by the entry
VGTT = onin thertrv-featcommand output. The length of the global title address is determined when the global title address is entered with theent-gtacommand. For more information on the VGTT feature and the length of global title addresses, see the Variable-length Global Title Translation Feature section and the Adding Global Title Address Information procedure.If the Variable-length Global Title Translation Feature (VGTT) is on, the
NDGTfield of thertrv-gttsetcommand shows the different lengths of global title addresses assigned to a GTT set name, as shown in the following example.rlghncxa03w 09-07-07 00:30:31 GMT EAGLE5 41.1.0 GTTSN NETDOM NDGT lidb ansi 3, 7, 10 t800 ansi 6 si000 itu 15 imsi itu 15 abcd1234 itu 12 GTT-SET table is (5 of 2000) 1% full.In this example of the
rtrv-gttsetcommand output, the GTT setlidbcontains three different length global title addresses; global title addresses containing three digits, seven digits, and 10 digits.Caution:
If the VGTT feature is on and the ANSI/ITU SCCP Conversion feature is not enabled, this procedure cannot be performed.
:sxudt - Segmented XUDT. This parameter specifies
whether TOBR will support the processing of segmented XUDT message.
Note:
The SXUDT parameter must be specified with the OPCODE GTT set type only.Figure 4-5 Change a GTT Set - Sheet 1 of 3

Figure 4-6 Change a GTT Set - Sheet 2 of 3

Figure 4-7 Change a GTT Set - Sheet 3 of 3

Adding a GTT Selector
Use the following procedure to specify the applicable
GTT selectors for a global title entry using the
ent-gttsel command.
The
ent-gttsel command uses these
parameters:
:gti/gtia/gtii/gtiis/gtin/gtins/gtin24 – The global
title indicator. The GTI defines the domain as shown in this list.
gtiandgtia- ANSI global title indicator with the values 0 or 2gtii- ITU international (ITU-I) global title indicator with the values, 0, 2, or 4gtiis- ITU international (ITU-I) spare global title indicator with the values, 0, 2, or 4gtin- ITU national (ITU-N) global title indicator with the values 0, 2, or 4.gtins- ITU national (ITU-N)spare global title indicator with the values 0, 2, or 4.gtin24- ITU-N24 spare global title indicator with the values 0, 2, or 4.
:tt
– The global title translation type, (0-255). The same
translation type value can be specified for multiple GTI values. For example,
the translation type value 10 can be assigned to an ANSI GTI, an ITU-I GTI, an
ITU-I spare GTI, an ITU-N GTI, an ITU-N spare GTI, and an ITU-N24 GTI.
:nai – The nature of
address indicator.
:naiv – The nature of
address indicator value. (0-127) (Refer to
Table 4-6
for NAI/NAIV mapping)
Note:
The nature of address indicator parameters (naiv or
nai) can be specified by supplying
either a mnemonic or an explicit value. At no time may both the mnemonic and
the explicit value be specified at the same time for the same parameter. You
can specify either the
naiv or
nai parameter.
Table 4-6
shows the mapping between the
naiv and the
nai parameters.
Table 4-6 NAIV/NAI Mapping
| NAIV | NAI | Description |
|---|---|---|
| 0 | --- | Unknown |
| 1 | Sub | Subscriber Number |
| 2 | Rsvd | Reserved for national use |
| 3 | Natl | National significant number |
| 4 | Intl | International number |
| 5-127 | --- | Spare |
:np – The numbering
plan.
:npv – The numbering
plan value. (0-15) (Refer to
Table 4-7
for NP/NPV mapping)
Note:
The numbering plan parameters (npv or
np) can be specified by supplying
either a mnemonic or an explicit value. At no time may both the mnemonic and
the explicit value be specified at the same time for the same parameter. You
can specify either the
npv or
np parameter.
Table 4-7
shows the mapping between the
npv and the
np parameters.
Table 4-7 NPV/NP Mapping
| NPV | NP | Description |
|---|---|---|
| 0 | --- | Unknown |
| 1 | E164 | ISDN/telephony numbering plan |
| 2 | Generic | Generic numbering plan |
| 3 | X121 | Data numbering plan |
| 4 | F69 | Telex numbering plan |
| 5 | E210 | Maritime mobile numbering plan |
| 6 | E212 | Land mobile numbering plan |
| 7 | E214 | ISDN/mobile numbering plan |
| 8 | Private | Private network or network-specific numbering plan |
| 9-15 | --- | Spare |
:gttsn – the GTT set
name.
:cdgtasn – The CDGTA
GTT set name.
:cggtasn – The CGGTA
GTT set name.
:cgpcsn – The CGPC GTT
set name.
:cgssn – The CGPA SSN.
:selid – The selector
ID.
:cdgttsn – The CDGTA
GTT set name.
:cggttsn – The CGGTA
GTT set name.
:eaglegen – Indicates
whether the GTT selector is used by messages generated by the EAGLE. If the GTT
selector is used by messages generated by the EAGLE, the entry
Eagle-Gen is shown in the
LSN column of the
rtrv-gttsel output.
:lsn – The name of the
linkset that is assigned to the GTT selector.
The Global Title Translation (GTT) feature and the
Enhanced Global Title Translation (EGTT) features must be
on before using this command. Use the
rtrv-feat command to verify the
settings. If the features are off, turn them on using the
chg-feat:gtt=on:egtt=on command.
Note:
Once the Global Title Translation (GTT) feature and the Enhanced Global Title Translation (EGTT) feature are turned on with thechg-feat command, they cannot be
turned off.
The GTT feature and the EGTT feature must be purchased before you turn these features on. If you are not sure whether you have purchased the GTT feature and/or the EGTT feature, contact your Sales Representative or Account Representative.
The GTT selector table may not have more than 100,000 GTT selectors.
For the
gtii=4,
gtin=4, or
gtin24=4 parameter, the entry
dflt may appear in the
rtrv-gttsel output. The value
dflt cannot be specified as value for
the
np or
nai parameters when you specify the
ent-gttsel command. If you enter a new
GTT selector that matches an existing GTT selector’s
gti and
tt and the existing selector has
dflt as value for the
np or
nai parameters, a new entry is created
with the new
np or
nai parameter values. The existing GTT
selector entry with the
dflt value is also retained. Use the
chg-gttsel or
dlt-gttsel commands to change or
delete the
dflt value. The parameter combination
npv/naiv cannot be specified if
gtin=2 (or
gtin24=2) or
gtii=2. The
gtia=4 parameter is not supported.
ent-gttsel command.
Figure 4-8 Add a GTT Selector - Sheet 1 of 2

Figure 4-9 Add a GTT Selector - Sheet 2 of 2

Removing a GTT Selector
Use the following procedure to delete the global title
selector using the
dlt-gttsel command.
The
dlt-gttsel command uses these
parameters.
:gti/gtia/gtii/gtiis/gtin/gtins/gtin24 – The global
title indicator. The GTI defines the domain as shown in this list.
gtiandgtia- ANSI global title indicator with the values 0 or 2gtii- ITU international (ITU-I) global title indicator with the values, 0, 2, or 4gtiis- ITU international (ITU-I) spare global title indicator with the values, 0, 2, or 4gtin- ITU national (ITU-N) global title indicator with the values 0, 2, or 4.gtins- ITU national (ITU-N)spare global title indicator with the values 0, 2, or 4.gtin24- ITU-N24 spare global title indicator with the values 0, 2, or 4.
:cgssn – The CgPA
subsystem number that is assigned to the GTT selector.
:eaglegen – Indicates
whether the GTT selector is used by messages generated by the EAGLE. If the GTT
selector is used by messages generated by the EAGLE, the entry
Eagle-Gen is shown in the
LSN column of the
rtrv-gttsel output.
:lsn – The name of the
linkset that is assigned to the GTT selector.
:selid – The selector
ID that is assigned to the GTT selector.
:tt
– The global title translation type. (0-255)
:nai – The nature of
address indicator.
:naiv – The nature of
address indicator value. (0-127) (See
Removing a GTT Selector
for NAI/NAIV mapping)
Note:
The nature of address indicator parameters (naiv or
nai) can be specified by supplying
either a mnemonic or an explicit value. At no time may both the mnemonic and
the explicit value be specified at the same time for the same parameter. You
can specify either the
naiv or
nai parameter.
Removing a GTT Selector
shows the mapping between the
naiv and the
nai parameters.
Table 4-14 NAIV/NAI Mapping
| NAIV | NAI | Description |
|---|---|---|
| 0 | --- | Unknown |
| 1 | Sub | Subscriber Number |
| 2 | Rsvd | Reserved for national use |
| 3 | Natl | National significant number |
| 4 | Intl | International number |
| 5-127 | --- | Spare |
:np – The numbering plan.
:npv – The numbering plan
value. (0-15) (See
Removing a GTT Selector
for NP/NPV mapping)
Note:
The numbering plan parameters (npv or
np) can be specified by supplying
either a mnemonic or an explicit value. At no time may both the mnemonic and
the explicit value be specified at the same time for the same parameter. You
can specify either the
npv or
np parameter.
Removing a GTT Selector
shows the mapping between the
npv and the
np parameters.
Table 4-15 NPV/NP Mapping
| NPV | NP | Description |
|---|---|---|
| 0 | --- | Unknown |
| 1 | E164 | ISDN/telephony numbering plan |
| 2 | Generic | Generic numbering plan |
| 3 | X121 | Data numbering plan |
| 4 | F69 | Telex numbering plan |
| 5 | E210 | Maritime mobile numbering plan |
| 6 | E212 | Land mobile numbering plan |
| 7 | E214 | ISDN/mobile numbering plan |
| 8 | Private | Private network or network-specific numbering plan |
| 9-15 | --- | Spare |
Figure 4-10 Remove a GTT Selector

Changing a GTT Selector
Use the following procedure to change the GTT set
assigned to a selector using the
chg-gttsel command.
The
chg-gttsel command uses these
parameters.
:gti/gtia/gtii/gtiis/gtin/gtins/gtin24 – The global
title indicator. The GTI defines the domain as shown in this list.
gtiandgtia- ANSI global title indicator with the values 0 or 2gtii- ITU international (ITU-I) global title indicator with the values, 0, 2, or 4gtiis- ITU international (ITU-I) spare global title indicator with the values, 0, 2, or 4gtin- ITU national (ITU-N) global title indicator with the values 0, 2, or 4.gtins- ITU national (ITU-N)spare global title indicator with the values 0, 2, or 4.gtin24- ITU-N24 spare global title indicator with the values 0, 2, or 4.
:tt
– The global title translation type, (0-255). The same
translation type value can be specified for multiple GTI values. For example,
the translation type value 10 can be assigned to an ANSI GTI, an ITU-I GTI, an
ITU-I spare GTI, an ITU-N GTI, an ITU-N spare GTI, and an ITU-N24 GTI.
:msgtype – The SCCP message type. This parameter
allows one or more SCCP message types (UDT/UDTS/XUDT/XUDTS) for every GTT
Selector entry. This will help in screening different message types
differently.
:nai – The nature of
address indicator.
:naiv – The nature of
address indicator value. (0-127) (See
Table 4-18
for NAI/NAIV mapping)
Note:
The nature of address indicator parameters (naiv or
nai) can be specified by supplying
either a mnemonic or an explicit value. At no time may both the mnemonic and
the explicit value be specified at the same time for the same parameter. You
can specify either the
naiv or
nai parameter.
Table 4-18
shows the mapping between the
naiv and the
nai parameters.
:np – The numbering plan.
:npv – The numbering plan
value. (0-15) (See
Table 4-19
for NP/NPV mapping)
Note:
The numbering plan parameters (npv or
np) can be specified by supplying
either a mnemonic or an explicit value. At no time may both the mnemonic and
the explicit value be specified at the same time for the same parameter. You
can specify either the
npv or
np parameter.
Table 4-19
shows the mapping between the
npv and the
np parameters.
:gttsn – the GTT set
name.
:cdgtasn – The CDGTA GTT
set name or the value
none.
:cggtasn – The CGGTA GTT
set name or the value
none.
:cgpcsn – The CGPC GTT
set name or the value
none.
:cgssn – The CGPA SSN.
:selid – The selector ID.
:cdgttsn – The CDGTA
GTT set name or the value
none.
:cggttsn – The CGGTA
GTT set name or the value
none.
:eaglegen – Indicates
whether the GTT selector is used by messages generated by the EAGLE. If the GTT
selector is used by messages generated by the EAGLE, the entry
Eagle-Gen is shown in the
LSN column of the
rtrv-gttsel output.
:lsn – The name of the
linkset that is assigned to the GTT selector.
Table 4-18 NAIV/NAI Mapping
| NAIV | NAI | Description |
|---|---|---|
| 0 | --- | Unknown |
| 1 | Sub | Subscriber Number |
| 2 | Rsvd | Reserved for national use |
| 3 | Natl | National significant number |
| 4 | Intl | International number |
| 5-127 | --- | Spare |
Table 4-19 NPV/NP Mapping
| NPV | NP | Description |
|---|---|---|
| 0 | --- | Unknown |
| 1 | E164 | ISDN/telephony numbering plan |
| 2 | Generic | Generic numbering plan |
| 3 | X121 | Data numbering plan |
| 4 | F69 | Telex numbering plan |
| 5 | E210 | Maritime mobile numbering plan |
| 6 | E212 | Land mobile numbering plan |
| 7 | E214 | ISDN/mobile numbering plan |
| 8 | Private | Private network or network-specific numbering plan |
| 9-15 | --- | Spare |
Figure 4-11 Change a GTT Selector

Adding Global Title Address Information
This procedure is used to add global title address (GTA) information for applicable global title selectors required to specify a global title entry. This command adds the routing object (a destination address and a subsystem number) for messages requiring global title translation. The translation is performed on the basis of the GTA, global title indicator (GTI), numbering plan (NP), nature of address indicator (NAI), and translation type (TT) of each SS7 SCCP message directed to the STP with a routing indicator of 0, indicating that global title translation is required.
The
ent-gta command uses these parameters:
:gttsn – The GTT set
name
:gta – The global title
address or the beginning value of a range of global title addresses
:egta – The end of
global title address
:pc/pca/pci/pcn/pcn24 –
The translated point code
:ssn – The translated
subsystem number
:ri – The routing
indicator
:xlat – The translate
indicator
:ccgt – The cancel
called global title indicator
:force – The check
mated application override
:actsn – The name of
the GTT action set that will be assigned to the GTA entry as shown in the
rtrv-gttaset output.
:gtmodid – The name of
the GT modification identifier that will be assigned to the GTA entry as shown
in the
rtrv-gtmod output and provisioned in
the
Adding Global Title Modification Information
procedure. The GT modification identifier contains the information to modify
the numbering plan, nature of address indicator, and the prefix or suffix
digits in the called party address or calling party address portion of outbound
MSUs.
:ppmeasreqd – This
parameter specifies whether per-path measurements are required for the GTA
entry.
:mrnset – The MRN set
ID, shown in the
rtrv-mrn output. This parameter can be
specified only, and must be specified, if the Flexible GTT Load Sharing feature
is enabled and if the
ri=gt parameter is specified with the
ent-gta command. If the Flexible GTT
Load Sharing feature is enabled, the point code specified with the
ent-gta command must be assigned to
the MRN set specified by this parameter. The status of the Flexible GTT Load
Sharing feature is shown in the
rtrv-ctrl-feat output. To enable the
Flexible GTT Load Sharing feature, performActivating the Flexible GTT Load Sharing Feature.
:mapset – The MAP set
ID, shown in the
rtrv-map output. This parameter can be
specified only, and must be specified, if the Flexible GTT Load Sharing feature
is enabled and if the
ri=ssn parameter is specified with the
ent-gta command. If the Flexible GTT
Load Sharing feature is enabled, the point code and SSN specified with the
ent-gta command must be assigned to
the MAP set specified by this parameter. The status of the Flexible GTT Load
Sharing feature is shown in the
rtrv-ctrl-feat output. To enable the
Flexible GTT Load Sharing feature, perform
Activating the Flexible GTT Load Sharing Feature.
:optsn – The optional
GTT set name shown in the
rtrv-gttset output.
Table 4-23
shows the types of GTT sets that can be specified for the
optsn parameter based on the type of
GTT set that is specified for the
gttsn parameter and the features that
are enabled and turned on.
Table 4-23 GTTSN and OPTSN Combinations
| GTTSN Set Type | OPTSN Set Type |
|---|---|
| Origin-Based SCCP Routing Feature Enabled Only | |
| CDGTA |
CGGTA, CGPC The OPC GTT set type can be specified with a CDGTA GTT set,
but the OPC GTT set is specified with the
|
| CGGTA | CGSSN |
| CGPC | CGSSN |
| CGSSN | The
optsn parameter cannot be specified.
|
| OPC | CGSSN |
| Flexible Linkset Optional Based Routing Enabled and Turned On Only | |
| CDGTA | CDGTA, DPC, CDSSN |
| CDSSN | CDSSN, DPC, CDGTA |
| DPC | DPC, CDSSN, CDGTA |
| Origin-Based SCCP Routing Enabled and Flexible Linkset Optional Based Routing Enabled and Turned On Only | |
| CDGTA |
CDGTA, CGGTA, CGPC, CGSSN, CDSSN, DPC, OPC The OPC GTT set type can be specified with a CDGTA GTT set,
but the OPC GTT set is specified with the
|
| CGGTA | CDGTA, CGGTA, CGPC, CGSSN, OPC, CDSSN, DPC |
| CGPC | CDGTA, CGGTA, CGSSN, CGPC, OPC, CDSSN, DPC |
| CGSSN | CDGTA, CGGTA, CGSSN, CGPC, OPC, CDSSN, DPC |
| OPC | CDGTA, CGGTA, CGPC, CGSSN, OPC, CDSSN, DPC |
| CDSSN | CDGTA, CGGTA, CGPC, CGSSN, OPC, DPC, CDSSN |
| DPC | CDGTA, CGGTA, CGPC, CGSSN, OPC, CDSSN, DPC |
| Flexible Linkset Optional Based Routing and TCAP Opcode Based Routing Feature Enabled and Turned On Only | |
| CDGTA | CDGTA, OPCODE, DPC, CDSSN |
| CDSSN | CDSSN, OPCODE, DPC, CDGTA |
| OPCODE | OPCODE, CDSSN, DPC, CDGTA |
| DPC | DPC, OPCODE, CDSSN, CDGTA |
| Origin-Based SCCP Routing Enabled, Flexible Linkset Optional Based Routing and TCAP Opcode Based Routing Feature Enabled and Turned On | |
| CDGTA |
CDGTA, CGGTA, CGPC, CGSSN, CDSSN, OPCODE, DPC, OPC The OPC GTT set type can be specified with a CDGTA GTT set,
but the OPC GTT set is specified with the
|
| CGGTA |
CDGTA, CGGTA, CGPC, CGSSN, CDSSN, OPCODE, OPC, DPC The
|
| CGPC |
CDGTA, CGGTA, CGPC, CGSSN, CDSSN, OPCODE, OPC, DPC The
|
| CGSSN |
CDGTA, CGGTA, CGPC, CGSSN, CDSSN, OPCODE, OPC, DPC The
|
| OPC | CDGTA, CGGTA, CGPC, CGSSN, OPC, CDSSN, OPCODE, DPC |
| CDSSN |
CDGTA, CGGTA, CGPC, CGSSN, CDSSN, OPCODE, DPC, OPC The OPC GTT set type can be specified with a CDSSN GTT set,
but the OPC GTT set is specified with the
|
| OPCODE |
CDGTA, CGGTA, CGPC, CGSSN, CDSSN, OPCODE, DPC, OPC The OPC GTT set type can be specified with an OPCODE GTT set,
but the OPC GTT set is specified with the
|
| DPC |
CDGTA, CGGTA, CGPC, CGSSN, CDSSN, OPCODE, DPC, OPC The OPC GTT set type can be specified with a DPC GTT set, but
the OPC GTT set is specified with the
|
:opcsn – The OPC GTT
set name shown in the
rtrv-gttset output.
:cgssn – The CgPA
subsystem number or the beginning value of a range of CgPA subsystem numbers
:ecgssn – The end value
of a range of CgPA subsystem numbers
:cgpc/cgpca/cgpci/cgpcn/cgpcn24 – The CgPA point code
:opc/opca/opci/opcn/opcn24 – The originating point code
:dpc/dpca/dpci/dpcn/dpcn24 – The destination point code
:cdssn – The CdPA
subsystem number or the beginning value of a range of CdPA subsystem numbers
:ecdssn – The end value
of a range of CdPA subsystem numbers
:cgselid – The CgPA
selector ID
:cdselid – The CdPA
selector ID
:fallback – The action
to be taken when the final translation does not match while performing global
title translation using a FLOBR-specific GTT mode.
:testmode – This
parameter invokes a field-safe test tool to debug the rules used for the
Flexible Linkset Optional Based Routing or TCAP Opcode Based Routing features.
:transmeasrqd - GTT Translation Measurement
Required. This parameter specifies whether to perform per GTT Translation
Measurements.
:cgcnvsn – The CgPA
conversion set name
:family – The ANSI TCAP
family field in the incoming message
:opcode – The TCAP
opcode field in the incoming message
:pkgtype – The TCAP
package type.
Table 4-31
shows the ANSI and ITU TCAP package types.
:acn – The application
context name (ACN) field in the ITU TCAP message
:loopset - The value of
this parameter is the name of the loopset that is assigned to the GTA. This
parameter can be specified only if the SCCP Loop Detection feature is enabled.
Enter the
rtrv-loopset command to verify that
the SCCP Loop Detection feature is enabled. By default, the value of the
loopset parameter is “none” because no
loopset is assigned to the GTA.
:cggtmod - The calling
party GT modification indicator. This parameter specifies whether or not
calling party global title modification is required. The values for this
parameter are
yes (calling party global title
modification is required) or
no (calling party global title
modification is not required). This parameter can be specified only if the
AMGTT or AMGTT CgPA Upgrade feature is enabled. Enter the
rtrv-ctrl-feat command to verify that
either the AMGTT or AMGTT CgPA Upgrade feature is enabled.
Note:
The command line on the terminal can contain up to 150 characters. If the parameters and values specified with theent-gta command are too long to fit on
the
ent-gta command line, perform
Changing Global Title Address Information
to complete adding the GTA entry.
The Global Title Translation (GTT) feature and the
Enhanced Global Title Translation (EGTT) feature must be
on before using this command. Use the
rtrv-feat command to verify the
settings. If the features are off, turn them on using the
chg-feat:gtt=on:egtt=on command.
Note:
Once the Global Title Translation (GTT) feature and the Enhanced Global Title Translation (EGTT) feature are turned on with thechg-feat command, they cannot be
turned off.
The GTT feature and the EGTT feature must be purchased before you turn these features on. If you are not sure whether you have purchased the GTT feature and/or the EGTT feature, contact your Oracle Sales Representative or Account Representative.
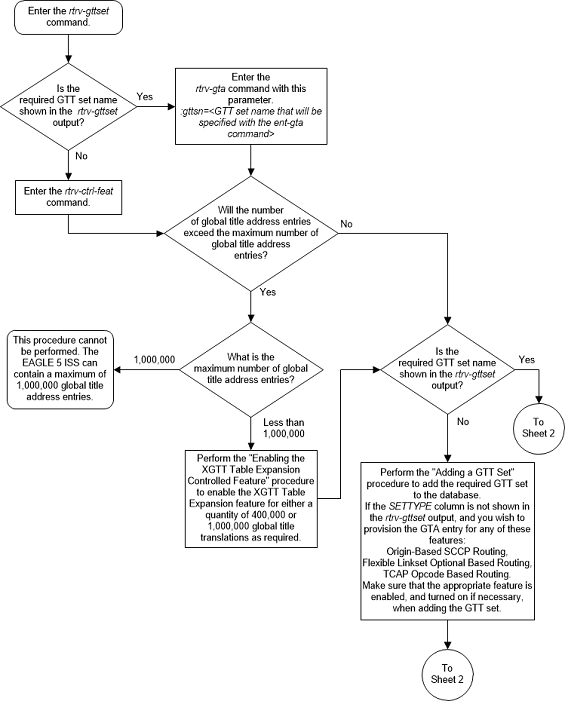
If the Variable-Length Global Title Translation (VGTT)
feature is off, shown the entry
VGTT = off, the global title address
length must be equal to the number of digits specified by the given GTT set
name. The length of the global title address can be verified with the
rtrv-gttset command.
If the Variable-Length Global Title Translation (VGTT)
feature is on, shown the entry
VGTT = on, up to 10 different length
global title addresses can be assigned to a GTT set. If the Support for 16 GTT
Lengths in VGTT feature is enabled and turned on, up to 16 different length
global title addresses can be assigned to a GTT set. The length of the global
title address is only limited by the range of values for the
gta and
egta parameters, one to 21 digits, and
by the global title addresses already assigned to the GTT set name. The
ndgt parameter of the
ent-gttset command has no effect on
the length of the global title address. As global title addresses of different
lengths are assigned to a specific translation type, these lengths are
displayed in the
NDGT field of the
rtrv-gttset command output, as shown
in the following example.
rlghncxa03w 09-07-07 00:30:31 GMT EAGLE5 41.1.0
GTTSN NETDOM NDGT
lidb ansi 3, 7, 10
t800 ansi 6
si000 itu 15
imsi itu 15
abcd1234 itu 12
GTT-SET table is (5 of 2000) 1% full.
In this example of the
rtrv-gttset command output, the GTT
set
lidb contains three different length
global title addresses; global title addresses containing three digits, seven
digits, and 10 digits.
If the GTT set contains the maximum number of different
length global title addresses, and another global title address is specified
for the GTT set name, the length of the global title address being added to the
GTT set name must be the same as one of the lengths already assigned to the GTT
set name. If the length of the global title address does not match one of the
lengths already assigned to the GTT set name, the
ent-gta command is rejected with this
message
E4008 Cmd Rej: Exceeding max GTA Lengths
supported per GTTSET
If the GTT set name has less than the maximum number of different length global title addresses assigned to it, and another global title address is specified for the GTT set name, the length of the global title address can be from one to 21 digits and does not have to match the length of the other global title addresses assigned to the GTT set name.
Refer to Variable-length Global Title Translation Feature for more information about this feature.
The range, as specified by the start and end global
title addresses, cannot already exist in the global title translation data for
the specified translation type. If the ranges overlap, the range of global
title addresses cannot be split and the
ent-gta command is rejected with this
message.
E2401 Cmd Rej:GTA range overlaps a current
range
Along with error message 2401, a list of the overlapped global title addresses is displayed as shown in the following example.
rlghncxa03w 06-10-24 08:29:15 GMT EAGLE5 36.0.0
The following GTA ranges overlap the input GTA range
START GTA END GTA
8005550000 8005551999
8005552000 8005553999
8005554000 8005555999
ENT-GTA: MASP A - Command Aborted
The translate indicator (xlat) must be
DPCSSN if the
SSN parameter is specified. If the
translate indicator is set to
DPCNGT, the value of the
RI parameter must be
GT.
XLAT parameter must be set to
DPCSSN and the value of the
RI parameter must be set to
SSN. If the
SSN parameter is specified and a point
code is the STP’s True PC, then the subsystem number specified must exist in
the SS-APPL table. This can be verified with the
rtrv-ss-appl command. To execute the
rtrv-ss-appl command, these features
must be enabled, and turned on if necessary.
- LNP - shown by the entry
LNP TNswith a quantity greater than zero in thertrv-ctrl-featcommand output - ATINP - shown by the entry
ATINPin thertrv-ctrl-featcommand output with the status set to on - EIR - shown by the entry
EIRin thertrv-ctrl-featcommand output as being permanently or temporarily enabled and with the status set to on. - INP - shown by the entry
INPin thertrv-ctrl-featcommand output with the status set to on. - V-FLEX - shown by the entry
VFLEXin thertrv-ctrl-featcommand output with the status set to on. - ANSI-41 INP Query - shown by the entry
ANSI-41 INP Queryin thertrv-ctrl-featcommand output with the status set to on. - ANSI41 AIQ - shown by the entry
ANSI41 AIQin thertrv-ctrl-featcommand output.
Note:
The Local Number Portability (LNP), Equipment Identity Register (EIR), INAP Number Portability (INP), V-Flex, ATINP, ANSI41 AIQ, or ANSI-41 INP Query features must be purchased before you can enable the LNP, ATINP, or ANSI41 AIQ features, or enable and turn on the EIR, INP, V-Flex, or ANSI-41 INP Query features. If you are not sure whether you have purchased the LNP, EIR, or INP, V-Flex, ATINP, or ANSI-41 INP Query feature, contact your Oracle Sales Representative or Account Representative.Once the LNP, ATINP, or ANSI41 AIQ feature is enabled
with the
enable-ctrl-feat command, or the
EIR, INP, V-Flex, and ANSI-41 INP Query features are turned on with the
chg-ctrl-feat command, they cannot
be turned off or disabled.
A point code must exist as a destination in the route table or reside in a cluster that exists as a destination in the route table (for global title routing) unless the point code is the STP’s true point code.
If a final GTT is specified (ri=ssn) with the
xlat=dpc parameter, and the value of
the
force parameter is
no, the point code must be in the
Remote Point Code/Mated Application table. Verify this by entering the
rtrv-map command. If this point code
and subsystem number is not defined as a mated application, perform one of
these procedures to add the point code and subsystem number to the database as
a mated application:
- Provisioning a Solitary Mated Application
- Provisioning a Dominant Mated Application
- Provisioning a Load Shared Mated Application
- Provisioning a Combined Dominant/Load Shared Mated Application.
The point code and subsystem number do not have to be in
the mated application table when the
ent-gta command is executed when these
parameters are specified with the
ent-gta command.
ri=gtxlat=dpcssnandri=ssn(provided the point code value is not the STP’s true point code)
If the point code and subsystem are not in the mated
application table when either of these parameters are specified with the
ent-gta command, the EAGLE creates a
solitary mated application in the mated application table using the point code
and subsystem values specified in the
ent-gta command.
xlat=none parameter is specified for a
global title translation, the global title translation entry can contain any
data except for the routing data defined by these parameters.
pc/pca/pci/pcn/pcn24ssnriforce=yes
The
GTA
Entries with the XLAT=NONE Parameter part of the
GTT Actions
section described the behavior of the
xlat=none parameter.
ent-gta command.
The EAGLE can contain 269,999, 400,000, or 1,000,000 global title addresses. The system default is 269,999 global title addresses. This quantity can be increased to 400,000 by enabling the feature access key for part number 893-0061-01, or to 1,000,000 by enabling the feature access key for part number 893-0061-10. For more information on enabling these feature access keys, refer to Enabling the XGTT Table Expansion Feature.
Canceling the
RTRV-GTA Command
Because the
rtrv-gta command used in this
procedure can output information for a long period of time, the
rtrv-gta command can be canceled and
the output to the terminal stopped. There are three ways that the
rtrv-gta command can be canceled.
- Press the
F9function key on the keyboard at the terminal where thertrv-gtacommand was entered. - Enter the
canc-cmdwithout thetrmparameter at the terminal where thertrv-gtacommand was entered. - Enter the
canc-cmd:trm=<xx>, where<xx>is the terminal where thertrv-gtacommand was entered, from another terminal other that the terminal where thertrv-gtacommand was entered. To enter thecanc-cmd:trm=<xx>command, the terminal must allow Security Administration commands to be entered from it and the user must be allowed to enter Security Administration commands. The terminal’s permissions can be verified with thertrv-secu-trmcommand. The user’s permissions can be verified with thertrv-userorrtrv-secu-usercommands.
For more information about the
canc-cmd command, go to
Commands User's Guide.
Table 4-24 GTA Parameter Combinations - No SETTYPE Column in RTRV-GTTSET Output
| RI = GT XLAT=DPCNGT | RI = GT XLAT=DPCSSN | RI = GT XLAT=DPC | RI = SSN XLAT=DPCSSN | RI = SSN XLAT=DPC |
|---|---|---|---|---|
| Mandatory Parameters | ||||
| GTTSN | GTTSN | GTTSN | GTTSN | GTTSN |
|
PC/PCA/PCI/ PCN/PCN24 (See Notes 1, 2, and 6) |
PC/PCA/PCI/ PCN/PCN24 (See Notes 1, 2, and 6) |
PC/PCA/PCI/ PCN/PCN24 (See Notes 1, 2, and 6) |
PC/PCA/PCI/ PCN/PCN24 (See Notes 1, 2, and 6) |
PC/PCA/PCI/ PCN/PCN24 (See Notes 1, 2, and 6) |
| GTA (See Notes 3, 4, 5, and 7) | GTA (See Notes 3, 4, 5, and 7) | GTA (See Notes 3, 4, 5, and 7) | GTA (See Notes 3, 4, 5, and 7) | GTA (See Notes 3, 4, 5, and 7) |
| SSN | SSN | |||
|
If only the EGTT feature is on, the
There are other optional parameters that can be used with this entry. Refer to Table 4-33 for these parameters. |
||||
|
Parameter Values: GTTSN –
The GTT set name from the
GTA – 1 - 21 digits or 1 - 21 hexadecimal digits PC/PCA/PCI/PCN/PCN24 – See Note 1 SSN – 0 - 255 |
||||
|
Notes:
|
||||
Table 4-25 GTTSN = CDGTA GTT Set Parameter Combinations
| XLAT=DPCNGT, DPCSSN, or DPC | XLAT=NONE |
|---|---|
| Mandatory Parameters | |
GTTSN – The GTT set name from the
GTTSN column of the
rtrv-gttset output containing the value
CDGTA in the
SETTYPE column.
|
GTTSN – The GTT set name from the
GTTSN column of the
rtrv-gttset output containing the value
CDGTA in the
SETTYPE column.
|
| RI – GT, SSN (See Notes 6, 7, 8, and 9) | GTA – 1 - 21 digits or 1 - 21 hexadecimal digits (See Notes 3, 4, 5, and 10) |
| PC/PCA/PCI/PCN/PCN24 (See Notes 1, 2, and 6) | |
| GTA – 1 - 21 digits or 1 - 21 hexadecimal digits (See Notes 3, 4, 5, and 10) | |
| Optional Parameters | |
| SSN – 0 - 255. Default value – no SSN value is specified. (See Note 9) |
EGTA – 1 - 21 digits or 1 - 21 hexadecimal digits. (See Note 10) Default = same as the GTA value. The length of the EGTA value must be the same as the GTA
value. These parameters cannot be specified with the
xlat=none parameter.
|
OPTSN – The GTT set name from the
GTTSN column of the
rtrv-gttset output. Refer to
Table 4-23
for the valid GTT set types that can be specified. Default value – no GTT set
is specified.
|
|
OPCSN – The GTT set name from the
GTTSN column of the
rtrv-gttset output containing the value
OPC in the
SETTYPE column. Default value – no OPC GTT set
is specified.
|
|
| There are other optional parameters that can be used with this entry. Refer to Table 4-33 for these parameters. | |
|
Notes:
|
|
Table 4-26 GTTSN = CGGTA GTT Set Parameter Combinations
| XLAT=DPCNGT, DPCSSN, or DPC | XLAT=NONE |
|---|---|
| Mandatory Parameters | |
GTTSN – The GTT set name from the
GTTSN column of the
rtrv-gttset output containing the value
CGGTA in the
SETTYPE column.
|
GTTSN – The GTT set name from the
GTTSN column of the
rtrv-gttset output containing the value
CGGTA in the
SETTYPE column.
|
| RI – GT, SSN (See Notes 6, 7, 8, and 9) | GTA – 1 - 21 digits or 1 - 21 hexadecimal digits (See Notes 3, 4, 5, and 10) |
| PC/PCA/PCI/PCN/PCN24 (See Notes 1, 2, and 6) | |
| GTA – 1 - 21 digits or 1 - 21 hexadecimal digits (See Notes 3, 4, 5, and 10) | |
| Optional Parameters | |
| SSN – 0 - 255. Default value – no SSN value is specified. (See Note 9) |
EGTA – 1 - 21 digits or 1 - 21 hexadecimal digits. (See Note 10) Default = same as the GTA value. The length of the EGTA value must be the same as the GTA
value. These parameters cannot be specified with the
xlat=none parameter.
|
OPTSN – The GTT set name from the
GTTSN column of the
rtrv-gttset output. Refer to
Table 4-23
for the valid GTT set types that can be specified. Default value – no GTT set
is specified.
|
|
| There are other optional parameters that can be used with this entry. Refer to Table 4-33 for these parameters. | |
|
Notes:
|
|
Table 4-27 GTTSN = CGPC GTT Set Parameter Combinations
| XLAT=DPCNGT, DPCSSN, or DPC | XLAT=NONE |
|---|---|
| Mandatory Parameters | |
GTTSN – The GTT set name from the
GTTSN column of the
rtrv-gttset output containing the value
CGPC in the
SETTYPE column.
|
GTTSN – The GTT set name from the
GTTSN column of the
rtrv-gttset output containing the value
CGPC in the
SETTYPE column.
|
| RI – GT, SSN (See Notes 3, 4, 5, and 6) | CGPC/CGPCA/CGPCI/CGPCN/CGPCN24 (See Notes 1, 2, and 3) |
| PC/PCA/PCI/PCN/PCN24 (See Notes 1, 2, and 3) | |
| CGPC/CGPCA/CGPCI/CGPCN/CGPCN24 (See Notes 1, 2, and 3) | |
| Optional Parameters | |
| SSN – 0 - 255. Default value – no SSN value is specified. (See Note 3) |
These parameters cannot be specified with the
xlat=none parameter.
|
OPTSN – The GTT set name from the
GTTSN column of the
rtrv-gttset output. Refer to
Table 4-23
for the valid GTT set types that can be specified. Default value – no GTT set
is specified.
|
|
| There are other optional parameters that can be used with this entry. Refer to Table 4-33 for these parameters. The EGTA parameter cannot be specified with this entry. | |
|
Notes:
|
|
Table 4-28 GTTSN = CGSSN GTT Set Parameter Combinations
| XLAT=DPCNGT, DPCSSN, or DPC | XLAT=NONE |
|---|---|
| Mandatory Parameters | |
GTTSN – The GTT set name from the
GTTSN column of the
rtrv-gttset output containing the value
CGSSN in the
SETTYPE column.
|
GTTSN – The GTT set name from the
GTTSN column of the
rtrv-gttset output containing the value
CGSSN in the
SETTYPE column.
|
| RI = GT, SSN (See Notes 3, 4, 5, and 6) | CGSSN – 0 - 255 |
| PC/PCA/PCI/PCN/PCN24 (See Notes 1, 2, and 3) | |
| CGSSN – 0 - 255 | |
| Optional Parameters | |
| SSN – 0 - 255. Default value – no SSN value is specified. (See Note 3) |
ECGSSN – 0 - 255. Default value – no ECGSSN value is specified. The ECGSSN value must be greater than the CGSSN value. These parameters cannot be specified with the
xlat=none parameter.
|
| ECGSSN – 0 - 255. Default value – no ECGSSN value is specified. The ECGSSN value must be greater than the CGSSN value. | |
OPTSN – The GTT set name from the
GTTSN column of the
rtrv-gttset output. Refer to
Table 4-23
for the valid GTT set types that can be specified. Default value – no GTT set
is specified.
|
|
| There are other optional parameters that can be used with this entry. Refer to Table 4-33 for these parameters. The EGTA parameter cannot be specified with this entry. | |
|
Notes:
|
|
Table 4-29 GTTSN = OPC GTT Set Parameter Combinations
| XLAT=DPCNGT, DPCSSN, or DPC | XLAT=NONE |
|---|---|
| Mandatory Parameters | |
GTTSN – The GTT set name from the
GTTSN column of the
rtrv-gttset output containing the value
OPC in the
SETTYPE column.
|
GTTSN – The GTT set name from the
GTTSN column of the
rtrv-gttset output containing the value
OPC in the
SETTYPE column.
|
| RI – GT, SSN (See Notes 3, 4, 5, and 6) | OPC/OPCA/OPCI/OPCN/OPCN24 (See Notes 1, 2, and 3) |
| PC/PCA/PCI/PCN/PCN24 (See Notes 1, 2, and 3) | |
| OPC/OPCA/OPCI/OPCN/OPCN24 (See Notes 1, 2, and 3) | |
| Optional Parameters | |
| SSN – 0 - 255. Default value – no SSN value is specified. (See Note 3) |
These parameters cannot be specified with the
xlat=none parameter.
|
OPTSN – The GTT set name from the
GTTSN column of the
rtrv-gttset output. Refer to
Table 4-23
for the valid GTT set types that can be specified. Default value – no GTT set
is specified.
|
|
| There are other optional parameters that can be used with this entry. Refer to Table 4-33 for these parameters. The EGTA parameter cannot be specified with this entry. | |
|
Notes:
|
|
Table 4-30 GTTSN = CDSSN GTT Set Parameter Combinations
| XLAT=DPCNGT, DPCSSN, or DPC | XLAT=NONE |
|---|---|
| Mandatory Parameters | |
GTTSN – The GTT set name from the
GTTSN column of the
rtrv-gttset output containing the value
CDSSN in the
SETTYPE column.
|
GTTSN – The GTT set name from the
GTTSN column of the
rtrv-gttset output containing the value
CDSSN in the
SETTYPE column.
|
| RI = GT, SSN (See Notes 3, 4, 5, and 6) | CDSSN – 0 - 255 |
| PC/PCA/PCI/PCN/PCN24 (See Notes 1, 2, and 3) | |
| CDSSN – 0 - 255 | |
| Optional Parameters | |
| SSN – 0 - 255. Default value – no SSN value is specified. (See Note 3) |
ECDSSN – 0 - 255. Default value – no ECDSSN value is specified. The ECDSSN value must be greater than the CDSSN value. These parameters cannot be specified with the
xlat=none parameter.
|
| ECDSSN – 0 - 255. Default value – no ECDSSN value is specified. The ECDSSN value must be greater than the CDSSN value. | |
OPTSN – The GTT set name from the
GTTSN column of the
rtrv-gttset output. Refer to
Table 4-23
for the valid GTT set types that can be specified. Default value – no GTT set
is specified.
|
|
OPCSN – The GTT set name from the
GTTSN column of the
rtrv-gttset output containing the value
OPC in the
SETTYPE column. Default value – no OPC GTT set
is specified.
|
|
| There are other optional parameters that can be used with this entry. Refer to Table 4-33 for these parameters. The EGTA parameter cannot be specified with this entry. | |
|
Notes:
|
|
Table 4-31 GTTSN = OPCODE GTT Set Parameter Combinations
| XLAT=DPCNGT, DPCSSN, or DPC | XLAT=NONE | ||
|---|---|---|---|
| Mandatory Parameters | |||
GTTSN – The GTT set name from the
GTTSN column of the
rtrv-gttset output containing the value
OPCODE in the
SETTYPE column.
|
GTTSN – The GTT set name from the
GTTSN column of the
rtrv-gttset output containing the value
OPCODE in the
SETTYPE column.
|
||
| RI = GT, SSN (See Notes 3, 4, 5, and 6) | OPCODE – 0 - 255, *, none | ||
| PC/PCA/PCI/PCN/PCN24 (See Notes 1, 2, and 3) | ANSI TCAP Translation | ITU TCAP Translation | |
| OPCODE – See Notes 7, 10, and 11 | FAMILY – See Notes 8, 10, and 11 | ACN – The application context name – See Notes 9 and 10 | |
| ANSI TCAP Translation | ITU TCAP Translation | PKGTYPE – ansiabort, ansiumi, any, cwop, cwp, qwop, qwp, resp | PKGTYPE – any, bgn, cnt, end, ituabort, ituumi |
| FAMILY – See Notes 8, 10, and 11 | ACN – The application context name – See Notes 9 and 10 | ||
| PKGTYPE – ansiabort, ansiumi, any, cwop, cwp, qwop, qwp, resp | PKGTYPE – any, bgn, cnt, end, ituabort, ituumi | ||
| Optional Parameters | |||
| SSN – 0 - 255. Default value – no SSN value is specified. (See Note 3) |
These parameters cannot be specified with the
xlat=none parameter.
|
||
OPTSN – The GTT set name from the
GTTSN column of the
rtrv-gttset output. Refer to
Table 4-23
for the valid GTT set types that can be specified. Default value – no GTT set
is specified.
|
|||
|
OPCSN – The GTT set name from the
|
|||
|
There are other optional parameters that can be used with this entry. Refer to Table 4-33 for these parameters. The EGTA parameter cannot be specified with this entry. |
|||
|
Notes:
|
|||
Table 4-32 GTTSN = DPC GTT Set Parameter Combinations
| XLAT=DPCNGT, DPCSSN, or DPC | XLAT=NONE |
|---|---|
| Mandatory Parameters | |
GTTSN – The GTT set name from the
GTTSN column of the
rtrv-gttset output containing the value
DPC in the
SETTYPE column.
|
GTTSN – The GTT set name from the
GTTSN column of the
rtrv-gttset output containing the value
DPC in the
SETTYPE column.
|
| RI – GT, SSN (See Notes 3, 4, 5, and 6) | DPC/DPCA/DPCI/DPCN/DPCN24 (See Notes 1, 2, and 3) |
| PC/PCA/PCI/PCN/PCN24 (See Notes 1, 2, and 3) | |
|
DPC/DPCA/DPCI/DPCN/DPCN24 (See Notes 1, 2, and 3) |
|
| Optional Parameters | |
|
SSN – 0 - 255. Default value – no SSN value is specified. (See Note 3) |
These parameters cannot be specified with the
xlat=none parameter.
|
|
OPTSN – The GTT set name from the
|
|
|
There are other optional parameters that can be used with this entry. Refer to Table 4-33 for these parameters. The EGTA parameter cannot be specified with this entry. |
|
|
Notes:
|
|
Table 4-33 Optional GTA Parameters
EGTA – 1 - 21 digits or 1 - 21 hexadecimal digits. Default =
same as the GTA value. Hexadecimal digits (0-9, a-f, A-F) can be specified for
the
egta parameter only if the Hex Digit support
for GTT feature is enabled.
|
MRNSET – MRN set ID from the
rtrv-mrn output. The
mrnset parameter can be specified only, and
must be specified, if the Flexible GTT Load Sharing feature is enabled.
|
LOOPSET – Loopset name from the
rtrv-loopset output. The
loopset parameter can be specified only if the
SCCP Loop Detection feature is enabled.
|
CGGTMOD – yes, no. Default = no. The
cggtmod parameter can be specified only if the
AMGTT or AMGTT CgPA Upgrade feature is enabled.
|
CCGT – yes, no. Default = no. If the point code is the
EAGLE’s point code, then the value of the
ccgt parameter must be set to
no.
|
MAPSET – MAP set ID from the
rtrv-map output. The
mapset parameter can be specified only, and
must be specified, if the Flexible GTT Load Sharing feature is enabled.
|
FORCE – yes, no. Default = no. If the
pc/pca/pci/pcn/pcn24
parameter value is not shown in the
rtrv-map output, the
force=yes parameter must be specified with the
ent-gta command.
|
| TESTMODE – on, off. Default = off. |
| FALLBACK – sysdflt, yes, no. Default = sysdflt. The Flexible Linkset Optional Based Routing feature must be enabled and turned on to use this parameter. |
| CGSELID – 0 - 65534. Default = no CGSELID value is specified. The Origin-Based SCCP Routing feature must be enabled or the Flexible Linkset Optional Based Routing feature must be enabled and turned on to use this parameter. |
| CDSELID – 0 - 65534. Default = no CDSELID value is specified. The Flexible Linkset Optional Based Routing feature must be enabled and turned on to use this parameter |
CGCNVSN – GTT set name shown in the
rtrv-gttset output. Default = no CGCNVSN value
is specified. The ANSI/ITU SCCP Conversion feature must be enabled, and the
Flexible Linkset Optional Based Routing feature must be enabled and turned on
to use this parameter.
|
ACTSN – The name of the GTT action set name shown in the
rtrv-gttaset output. Default = no ACTSN value
is specified. The
actsn parameter can be specified only if the
GTT Action - DISCARD, GTT Action - DUPLICATE, GTT Action - FORWARD feature is
enabled.
|
GTMODID – The name of the GT modification identifier shown
in the
rtrv-gtmod output. Default = no GTMODID value
is specified. If the NGTI value in the global title modification entry is 4,
the point code that will be assigned to the GTA entry must be an ITU point
code.
|
|
PPMEASREQD – This parameter specifies whether per-path
measurements are required for the GTA entry. This parameter has two values.
|
Figure 4-12 Add Global Title Address Information - Sheet 1 of 9

Figure 4-13 Add Global Title Address Information - Sheet 2 of 9

Figure 4-14 Add Global Title Address Information - Sheet 3 of 9

Figure 4-15 Add Global Title Address Information - Sheet 4 of 9

Figure 4-16 Add Global Title Address Information - Sheet 5 of 9

Figure 4-17 Add Global Title Address Information - Sheet 6 of 9

Figure 4-18 Add Global Title Address Information - Sheet 7 of 9

Figure 4-19 Add Global Title Address Information - Sheet 8 of 9

Figure 4-20 Add Global Title Address Information - Sheet 9 of 9

Removing Global Title Address Information
This procedure is used to remove an existing global title
address information in the database using the
dlt-gta command.
The
dlt-gta command uses these parameters:
:gttsn – The GTT set name
:gta – The global title
address or the beginning value of a range of global title addresses
:egta – The end value of
a range of global title address.
:cgssn – The CGPA
subsystem number or the beginning value of a range of CGPA subsystem numbers
:ecgssn – The end value
of a range of CGPA subsystem numbers
:cgpc/cgpca/cgpci/cgpcn/cgpcn24 – The CGPA
point code value
:opc/opca/opci/opcn/opcn24 – The
originating point code value
:dpc/dpca/dpci/dpcn/dpcn24 – The
destination point code value
:cdssn – The CDPA
subsystem number or the beginning value of a range of CDPA subsystem numbers
:ecdssn – The end value
of a range of CDPA subsystem numbers
:opcode - The TCAP
opcode field value in the incoming MSU.
:acn - The application
context name value in the ITU TCAP ACN field in the incoming MSU.
:family - The ANSI TCAP
family field value in the incoming MSU
:pkgtype - The ANSI
TCAP and ITU TCAP package types.
dlt-gta command are shown in these
tables.
The GTT set name (gttsn)
must be specified and match that of an existing GTT set name. Use the
rtrv-gttset command to view the GTT set
names. The destination point code (DPC) must be a full point code and cannot be
out of range.
If the end of the global title address (egta) parameter is specified, the GTA and EGTA must have
the same number of digits, but the EGTA must be larger than the GTA. The range,
as specified by the start and end global title addresses, must be in the
database for the specified translation type. Each range may be contained
completely within a previously defined range, in which case splitting is
performed. However, if the ranges overlap, splitting cannot occur, and the
dlt-gta command is rejected with this
message.
E2401 Cmd Rej:GTA range overlaps a current
range
Along with error message 2401, a list of the overlapped global title addresses is displayed as shown in the following example.
rlghncxa03w 06-10-24 08:29:15 GMT EAGLE5 36.0.0
The following GTA ranges overlap the input GTA range
START GTA END GTA
8005550000 8005551999
8005552000 8005553999
8005554000 8005555999
DLT-GTA: MASP A - Command Aborted
For a range of global title addresses, CGPA SSNs, or CDPA
SSNs to be split, the new entry created by the split cannot increase the number
of entries in the GTT table beyond the quantity shown in the
rtrv-gta output.
When the VGTT feature is on, and the last global title
address of a particular length is deleted for the specified GTT set name, then
that length is no longer supported. That length is not displayed in the
NDGT field of the
rtrv-gttset command output. For
example, if the last 7-digit global title address is deleted from GTT set
lidb (from the previous example), the
NDGT field of the
rtrv-gttset command shows only the
numbers three and 10 in the
NDGT field indicating that GTT set
lidb contains only 3- and 10-digit
global title addresses.
Canceling the
RTRV-GTA Command
Because the
rtrv-gta command used in this procedure
can output information for a long period of time, the
rtrv-gta command can be canceled and
the output to the terminal stopped. There are three ways that the
rtrv-gta command can be canceled.
- Press the
F9function key on the keyboard at the terminal where thertrv-gtacommand was entered. - Enter the
canc-cmdwithout thetrmparameter at the terminal where thertrv-gtacommand was entered. - Enter the
canc-cmd:trm=<xx>, where<xx>is the terminal where thertrv-gtacommand was entered, from another terminal other that the terminal where thertrv-gtacommand was entered. To enter thecanc-cmd:trm=<xx>command, the terminal must allow Security Administration commands to be entered from it and the user must be allowed to enter Security Administration commands. The terminal’s permissions can be verified with thertrv-secu-trmcommand. The user’s permissions can be verified with thertrv-userorrtrv-secu-usercommands.
For more information about the
canc-cmd command, go to
Commands User's Guide.
Table 4-35 DLT-GTA Parameter Combinations - EGTT Only
| Mandatory Parameters |
GTTSN – The GTT set name from the
GTTSN column of the
rtrv-gta output.
|
GTA – The GTA value from the
START GTA column of the
rtrv-gta output. (See Notes 1, 3, and 4)
|
| Optional Parameters |
EGTA – The EGTA value from the
END GTA column of the
rtrv-gta output. (See Notes 1 and 2)
|
|
Notes: 1. To remove an entry containing a range of GTAs, the
2. The
3. If a range of GTAs is assigned to the GTA entry, and only
the
4. The range of GTAs can be split by specifying a
|
Table 4-36 DLT-GTA Parameter Combinations - GTT Sets CDGTA, CGGTA, CGSSN, CGPC, OPC
| GTT Set Type CDGTA | GTT Set Type CGGTA | GTT Set Type CGSSN | GTT Set Type CGPC | GTT Set Type OPC |
|---|---|---|---|---|
| Mandatory Parameters | ||||
GTTSN – The GTT set name from the
GTTSN column of the
rtrv-gttset output containing the value
CDGTA in the
SETTYPE column.
|
GTTSN – The GTT set name from the
GTTSN column of the
rtrv-gttset output containing the value
CGGTA in the
SETTYPE column.
|
GTTSN – The GTT set name from the
GTTSN column of the
rtrv-gttset output containing the value
CGSSN in the
SETTYPE column.
|
GTTSN – The GTT set name from the
GTTSN column of the
rtrv-gttset output containing the value
CGPC in the
SETTYPE column.
|
GTTSN – The GTT set name from the
GTTSN column of the
rtrv-gttset output containing the value
OPC in the
SETTYPE column.
|
GTA – The GTA value from the
START GTA column of the
rtrv-gta output. (See Notes 1, 3, and 4)
|
GTA – The GTA value from the
START GTA column of the
rtrv-gta output. (See Notes 1, 3, and 4)
|
CGSSN – The CGSSN value from the
START SSN column of the
rtrv-gta output output. (See Notes 5, 7, and
8)
|
CGPC/CGPCA/ CGPCI/CGPCN/ CGPCN24 – The CGPC value from the
|
OPC/OPCA/ OPCI/OPCN/ OPCN24 – The OPC value from the
|
| Optional Parameters | ||||
EGTA – The EGTA value from the
END GTA column of the
rtrv-gta output. output. (See Notes 1 and 2)
|
EGTA – The EGTA value from the
END GTA column of the
rtrv-gta output. (See Notes 1 and 2)
|
ECGSSN – The ECGSSN value from the
END SSN column of the
rtrv-gta output. (See Notes 5, 6, and 8)
|
No optional parameters. | No optional parameters. |
|
Notes: 1. To remove an entry containing a range of GTAs, the
2. The
3. If a range of GTAs is assigned to the GTA entry, and only
the
4. The range of GTAs can be split by specifying a
5. To remove an entry containing a range of CGSSNs, the
6. The
7. If a range of CGSSNs is assigned to the GTA entry, and only
the
8. The range of CGSSNs can be split by specifying a
|
||||
Table 4-37 DLT-GTA Parameter Combinations - GTT Sets CDSSN, DPC, and OPCODE
| GTT Set Type CDSSN | GTT Set Type DPC | GTT Set Type OPCODE | |
|---|---|---|---|
| Mandatory Parameters | |||
GTTSN – The GTT set name from the
GTTSN column of the
rtrv-gttset output containing the value
CDSSN in the
SETTYPE column.
|
GTTSN – The GTT set name from the
GTTSN column of the
rtrv-gttset output containing the value
DPC in the
SETTYPE column.
|
ANSI TCAP Translation | ITU TCAP Translation |
GTTSN – The GTT set name from the
GTTSN column of the
rtrv-gttset output containing the value
OPCODE in the
SETTYPE column.
|
GTTSN – The GTT set name from the
GTTSN column of the
rtrv-gttset output containing the value
OPCODE in the
SETTYPE column.
|
||
CDSSN – The CDSSN value from the
START SSN column of the
rtrv-gta output. (See Notes 1, 3, and 4)
|
DPC/DPCA/ DPCI/DPCN/ DPCN24 – The DPC value from the
|
FAMILY – The FAMILY value from the
FAMILY column of the
rtrv-gta output.
|
ACN – The ACN value from the
ACN column of the
rtrv-gta output.
|
| OPCODE - The OPCODE value from the OPCODE column of the rtrv-gta output. | OPCODE - The OPCODE value from the OPCODE column of the rtrv-gta output. | ||
| PKGTYPE - The PKGTYPE value from the PKGTYPE column of the rtrv-gta output. | PKGTYPE - The PKGTYPE value from the PKGTYPE column of the rtrv-gta output. | ||
| Optional Parameters | |||
ECDSSN – The ECDSSN value from the
END SSN column of the
rtrv-gta output. output. (See Notes 1 and 2)
|
No optional parameters. | No optional parameters. | No optional parameters. |
|
Notes: 1. To remove an entry containing a range of CDSSNs, the
2. The
3. If a range of CDSSNs is assigned to the GTA entry, and only
the
4. The range of CDSSNs can be split by specifying a
|
|||
Figure 4-21 Remove Global Title Address Information - Sheet 1 of 2

Figure 4-22 Remove Global Title Address Information - Sheet 2 of 2

Changing Global Title Address Information
This procedure is used to change existing global title
address (GTA) information in the database using the
chg-gta command.
The
chg-gta command uses these parameters.
:gttsn – The GTT set
name.
:gta – The start of
global title address.
:egta – The end of
global title address.
:pc/pca/pci/pcn/pcn24 –
The translated point code.
:ssn – The translated
subsystem number.
:ri – The routing
indicator.
:xlat – The translate
indicator.
:ccgt – The cancel
called global title indicator.
:force – The check
mated application override.
:actsn – The name of
the GTT action set that will be assigned to the GTA entry as shown in the
rtrv-gttaset output.
:gtmodid – The name of
the GT modification identifier that will be assigned to the GTA entry as shown
in the
rtrv-gtmod output and provisioned in
the
Adding Global Title Modification Information
procedure. The GT modification identifier contains the information to modify
the numbering plan, nature of address indicator, and the prefix or suffix
digits in the called party address or calling party address portion of outbound
MSUs.
:ppmeasreqd – This
parameter specifies whether per-path measurements are required for the GTA
entry.
:mrnset – The MRN set
ID, shown in the
rtrv-mrn command. The
mrnset parameter can be specified only
if the Flexible GTT Load Sharing feature is enabled. If the Flexible GTT Load
Sharing feature is enabled and the
ri parameter value will be
ri=gt when this procedure is
completed, and the original global title translation being changed in this
procedure did not have an MRN set ID assigned to it, the
mrnset parameter must be specified
with the
chg-gta command. The MRN set ID
assigned to the global title translation in this step must contain the point
code value that will be assigned to the global title translation being changed
in this step.
:mapset – The MAP set
ID, shown in the
rtrv-mrn command. The
mapset parameter can be specified only
if the Flexible GTT Load Sharing feature is enabled. If the Flexible GTT Load
Sharing feature is enabled and the
ri parameter value will be
ri=ssn when this procedure is
completed, and the original global title translation being changed in this
procedure did not have a MAP set ID assigned to it, the
mapset parameter must be specified
with the
chg-gta command. The MAP set ID
assigned to the global title translation in this step must contain the point
code and SSN values that will be assigned to the global title translation being
changed in this step.
The status of the Flexible GTT Load Sharing feature is
shown in the
rtrv-ctrl-feat output. To enable the
Flexible GTT Load Sharing feature, perform
Activating the Flexible GTT Load Sharing Feature.
:optsn – The optional
GTT set name shown in the
rtrv-gttset output.
Table 4-38
shows the types of GTT sets that can be specified for the
optsn parameter based on the type of
GTT set that is specified for the
gttsn parameter and the features that
are enabled and turned on.
Table 4-38 GTTSN and OPTSN Combinations
| GTTSN Set Type | OPTSN Set Type |
|---|---|
| Origin-Based SCCP Routing Feature Enabled Only | |
| CDGTA |
CGGTA, CGPC The OPC GTT set type can be specified with a CDGTA GTT set,
but the OPC GTT set is specified with the
|
| CGGTA | CGSSN |
| CGPC | CGSSN |
| CGSSN | The
optsn parameter cannot be specified.
|
| OPC | CGSSN |
| Flexible Linkset Optional Based Routing Enabled and Turned On Only | |
| CDGTA | CDGTA, DPC, CDSSN |
| CDSSN | CDSSN, DPC, CDGTA |
| DPC | DPC, CDSSN, CDGTA |
| Origin-Based SCCP Routing Enabled and Flexible Linkset Optional Based Routing Enabled and Turned On Only | |
| CDGTA |
CDGTA, CGGTA, CGPC, CGSSN, CDSSN, DPC, OPC The OPC GTT set type can be specified with a CDGTA GTT set,
but the OPC GTT set is specified with the
|
| CGGTA | CDGTA, CGGTA, CGPC, CGSSN, OPC, CDSSN, DPC |
| CGPC | CDGTA, CGGTA, CGPC, CGSSN, OPC, CDSSN, DPC |
| CGSSN | CDGTA, CGGTA, CGPC, CGSSN, OPC, CDSSN, DPC |
| OPC | CDGTA, CGGTA, CGPC, CGSSN, CDSSN, DPC, OPC |
| CDSSN | CDGTA, CGGTA, CGPC, CGSSN, OPC, DPC, CDSSN |
| DPC | CDGTA, CGGTA, CGPC, CGSSN, OPC, CDSSN, DPC |
| Flexible Linkset Optional Based Routing and TCAP Opcode Based Routing Feature Enabled and Turned On Only | |
| CDGTA | CDGTA, OPCODE, DPC, CDSSN |
| CDSSN | CDSSN, OPCODE, DPC, CDGTA |
| OPCODE | OPCODE, CDSSN, DPC, CDGTA |
| DPC | DPC, OPCODE, CDSSN, CDGTA |
| Origin-Based SCCP Routing Enabled, Flexible Linkset Optional Based Routing and TCAP Opcode Based Routing Feature Enabled and Turned On | |
| CDGTA |
CDGTA, CGGTA, CGPC, CGSSN, CDSSN, OPCODE, DPC, OPC The OPC GTT set type can be specified with a CDGTA GTT set,
but the OPC GTT set is specified with the
|
| CGGTA |
CDGTA, CGGTA, CGPC, CGSSN, CDSSN, OPCODE, OPC, DPC The
|
| CGPC |
CDGTA, CGGTA, CGPC, CGSSN, CDSSN, OPCODE, OPC, DPC The
|
| CGSSN |
CDGTA, CGGTA, CGPC, CGSSN, CDSSN, OPCODE, OPC, DPC The
|
| OPC | CDGTA, CGGTA, CGPC, CGSSN, CDSSN, OPCODE, OPC, DPC |
| CDSSN |
CDGTA, CGGTA, CGPC, CGSSN, CDSSN, OPCODE, DPC, OPC The OPC GTT set type can be specified with a CDSSN GTT set,
but the OPC GTT set is specified with the
|
| OPCODE |
CDGTA, CGGTA, CGPC, CGSSN, CDSSN, OPCODE, DPC, OPC The OPC GTT set type can be specified with an OPCODE GTT set,
but the OPC GTT set is specified with the
|
| DPC |
CDGTA, CGGTA, CGPC, CGSSN, CDSSN, OPCODE, DPC, OPC The OPC GTT set type can be specified with a DPC GTT set, but
the OPC GTT set is specified with the
|
:opcsn – The OPC GTT
set name shown in the
rtrv-gttset output.
:cgssn – The CGPA
subsystem number or the beginning value of a range of CGPA subsystem numbers
:ecgssn – The end value
of a range of CGPA subsystem numbers
:cgpc/cgpca/cgpci/cgpcn/cgpcn24 – The CGPA point code
:opc/opca/opci/opcn/opcn24 – The originating point code
:dpc/dpca/dpci/dpcn/dpcn24 – The destination point code
:cdssn – The CdPA
subsystem number or the beginning value of a range of CdPA subsystem numbers
:ecdssn – The end value
of a range of CdPA subsystem numbers
:cgselid – The CgPA
selector ID
:cdselid – The CdPA
selector ID
:fallback – The action
to be taken when the final translation does not match while performing global
title translation using a FLOBR-specific GTT mode.
:testmode – This
parameter invokes a field-safe test tool to debug the rules used for the
Flexible Linkset Optional Based Routing or TCAP Opcode Based Routing features.
:cgcnvsn – The CgPA
conversion set name
:family – The ANSI TCAP
family field in the incoming message
:opcode – The TCAP
opcode field in the incoming message
:pkgtype – The TCAP
package type.
Table 4-46
shows the ANSI and ITU TCAP package types.
:acn – The application
context name (ACN) field in the ITU TCAP message
:loopset - The value of
this parameter is the name of the
loopset that is assigned to the GTA.
This parameter can be specified only if the SCCP Loop Detection feature is
enabled. Enter the
rtrv-loopset command to verify that
the SCCP Loop Detection feature is enabled. Perform the
Activating the SCCP Loop Detection Feature
procedure, if necessary.
:cggtmod - The calling
party GT modification indicator. This parameter specifies whether or not
calling party global title modification is required. The values for this
parameter are
yes (calling party global title
modification is required) or
no (calling party global title
modification is not required). This parameter can be specified only if the
AMGTT or AMGTT CgPA Upgrade feature is enabled. Enter the
rtrv-ctrl-feat command to verify that
either the AMGTT or AMGTT CgPA Upgrade feature is enabled. If the AMGTT or
AMGTT CgPA Upgrade feature is not enabled, perform the
Activating the Advanced GT Modification Feature
procedure to enable the required feature.
:split – Split or
change the range of global title addresses. If the
split=yes parameter is specified, the
existing range of global title addresses is split based on the values of the
gta and
egta parameters. New entries are
created in the global title translation table for each new range created by the
split parameter. The attributes of
each new entry, other than the range of global title addresses, are the same as
the original global title translation entry, if these values are not changed
when the
chg-gta command is executed. If other
attributes are changed when the
chg-gta command is executed, the
changed values are in each new entry created by the
split parameter.
If the
split=no parameter is specified, the
range of global title addresses is replaced with the new range of global title
addresses specified by the
gta and
egta parameters.
The default value for the
split parameter is
yes.
Caution:
Changes to the range of global title addresses occur only if the both thegta and
egta parameters are specified and the
values for either of these parameters, or both parameters are different from
the original values in the global title translation. If the
gta and
egta parameters are specified for the
global title translation being changed, and you do not wish to change either of
these values, make sure the
gta and
egta values shown in the
rtrv-gta output for the global title
translation being changed are specified in the
chg-gta command.
The following examples illustrate how the
split parameter works and ranges of
global title addresses can be changed.
A global title translation entry in the database contains this range of global title addresses, 5556000 - 5558000.
rlghncxa03w 10-07-07 00:28:31 GMT EAGLE5 42.0.0
GTTSN NETDOM NDGT
tst1 ansi 7
GTA TABLE IS (17 of 269999) 1 % FULL
START GTA END GTA XLAT RI PC
5556000 5558000 dpcssn ssn 001-255-252
MAPSET=1 SSN=254 CCGT=no CGGTMOD=NO
GTMODID=modid2 TESTMODE=off
LOOPSET = rtp2 FALLBACK=sysdflt
OPTSN=--------- CGSELID=----- OPCSN=gttset12
ACTSN=--------- PPMEASREQD= NO
The global title translation is changed with a new range
of global title addresses, 5556800 - 5559000, and with the
split=no parameter.
chg-gta:ttn=tst1:gta=5556800:egta=5559000:split=no
The range of global title addresses is changed to 5556800 - 5559000.
rlghncxa03w 10-07-07 00:28:31 GMT EAGLE5 42.0.0
GTTSN NETDOM NDGT
tst1 ansi 7
GTA TABLE IS (17 of 269999) 1 % FULL
START GTA END GTA XLAT RI PC
5556800 5559000 dpcssn ssn 001-255-252
MAPSET=1 SSN=254 CCGT=no CGGTMOD=NO
GTMODID=modid2 TESTMODE=off
LOOPSET = rtp2 FALLBACK=sysdflt
OPTSN=--------- CGSELID=----- OPCSN=gttset12
ACTSN=--------- PPMEASREQD= NO
In this example, the range of global title addresses is
made smaller by specifying the range of global title addresses 5556500 -
5557500, and with the
split=no parameter.
chg-gta:ttn=tst1:gta=5556500:egta=5557500:split=no
rlghncxa03w 10-07-07 00:28:31 GMT EAGLE5 42.0.0
GTTSN NETDOM NDGT
tst1 ansi 7
GTA TABLE IS 1 % FULL (17 of 269999)
START GTA END GTA XLAT RI PC
5556500 5557500 dpcssn ssn 001-255-252
MAPSET=1 SSN=254 CCGT=no CGGTMOD=NO
GTMODID=modid2 TESTMODE=off
LOOPSET = rtp2 FALLBACK=sysdflt
OPTSN=--------- CGSELID=----- OPCSN=gttset12
ACTSN=--------- PPMEASREQD= NO
In this next example, the range of global title
addresses is split with the
gta=5556900 and
egta=5557000 defining where the splits
occur.
chg-gta:ttn=tst1:gta=5556900:egta=5557000
Since the default value for the
split parameter is
yes, the
split=yes parameter does not have to
be specified to split the range of global title addresses. When the
chg-gta command is entered, three new
global title translation entries with the new global title address ranges are
created, and the original global title translation entry is removed from the
database. Since the
gta and
egta parameter values specified in
this example are within the original range of global title addresses, the
original range of global title addresses is split into three new ranges. The
START GTA value of the first new range
is the original
START GTA value and the
END GTA value is the
gta parameter value minus one. The
START GTA value of the second new
range is the
gta parameter value and the
END GTA value is the
egta parameter value. The
START GTA value of the third new range
is the
egta parameter value plus 1 and the
END GTA value is the original
END GTA value.
rlghncxa03w 10-07-07 00:28:31 GMT EAGLE5 42.0.0
GTTSN NETDOM NDGT
tst1 ansi 7
GTA TABLE IS 1 % FULL (17 of 269999)
START GTA END GTA XLAT RI PC
5556000 5556899 dpcssn ssn 001-255-252
MAPSET=1 SSN=254 CCGT=no CGGTMOD=NO
GTMODID=modid2 TESTMODE=off
LOOPSET = rtp2 FALLBACK=sysdflt
OPTSN=--------- CGSELID=----- OPCSN=gttset12
ACTSN=--------- PPMEASREQD= NO
rlghncxa03w 10-07-07 00:28:31 GMT EAGLE5 42.0.0
GTTSN NETDOM NDGT
tst1 ansi 7
GTA TABLE IS 1 % FULL (17 of 269999)
START GTA END GTA XLAT RI PC
5556900 5557000 dpcssn ssn 001-255-252
MAPSET=1 SSN=254 CCGT=no CGGTMOD=NO
GTMODID=modid2 TESTMODE=off
LOOPSET = rtp2 FALLBACK=sysdflt
OPTSN=--------- CGSELID=----- OPCSN=gttset12
ACTSN=--------- PPMEASREQD= NO
rlghncxa03w 10-07-07 00:28:31 GMT EAGLE5 42.0.0
GTTSN NETDOM NDGT
tst1 ansi 7
GTA TABLE IS 1 % FULL (17 of 269999)
START GTA END GTA XLAT RI PC
5557001 5558000 dpcssn ssn 001-255-252
MAPSET=1 SSN=254 CCGT=no CGGTMOD=NO
GTMODID=modid2 TESTMODE=off
LOOPSET = rtp2 FALLBACK=sysdflt
OPTSN=--------- CGSELID=----- OPCSN=gttset12
ACTSN=--------- PPMEASREQD= NO
In this next example, the global title translation
containing the range of global title addresses 5557001 - 5558000 is split into
two new ranges with the
gta=5557501 and
egta=5558000 defining where the split
occurs.
chg-gta:ttn=tst1:gta=5557501:egta=5558000:split=yes
When the
chg-gta command is entered, two new
global title translation entries with the new global title address ranges are
created, and the original global title translation entry is removed from the
database. The
START GTA value of the first new range
is the original
START GTA value and the
END GTA value is the
gta parameter value minus one. The
START GTA value of the second new
range is the
gta parameter value and the
END GTA value is the
egta parameter value. In this example,
the
egta parameter is also the original
END GTA value.
rlghncxa03w 10-07-07 00:28:31 GMT EAGLE5 42.0.0
GTTSN NETDOM NDGT
tst1 ansi 7
GTA TABLE IS 1 % FULL (17 of 269999)
START GTA END GTA XLAT RI PC
5557001 5557500 dpcssn ssn 001-255-252
MAPSET=1 SSN=254 CCGT=no CGGTMOD=NO
GTMODID=modid2 TESTMODE=off
LOOPSET = rtp2 FALLBACK=sysdflt
OPTSN=--------- CGSELID=----- OPCSN=gttset12
ACTSN=--------- PPMEASREQD= NO
rlghncxa03w 10-07-07 00:28:31 GMT EAGLE5 42.0.0
GTTSN NETDOM NDGT
tst1 ansi 7
GTA TABLE IS 1 % FULL (17 of 269999)
START GTA END GTA XLAT RI PC
5557501 5558000 dpcssn ssn 001-255-252
MAPSET=1 SSN=254 CCGT=no CGGTMOD=NO
GTMODID=modid2 TESTMODE=off
LOOPSET = rtp2 FALLBACK=sysdflt
OPTSN=--------- CGSELID=----- OPCSN=gttset12
ACTSN=--------- PPMEASREQD= NO
The range of global title addresses can be changed so long as the new range of global title addresses does not overlap an existing range of global title addresses.
For example, using the range of global title addresses
from the previous examples, 5556000 - 5558000, you wish to extend the range of
global title addresses to 5556000 - 5559000. The range of global title
addresses can be extended to 5559000 by specifying the
egta=5559000 and
split=no parameters with the
chg-gta command. However, if another
range of global title addresses begins with the value 5558500, the
egta=5559000 parameter cannot be
specified with the
chg-gta command as the new range
created with the
egta=5559000 parameter would overlap
the range of global title addresses beginning with the value 5558500. In this
situation, the maximum value for the
egta parameter would be 5558499.
Note:
The command line on the terminal can contain up to 150 characters. If the parameters and values specified with thechg-gta command are too long to fit on
the
chg-gta command line, perform the
chg-gta command as many times as
necessary to complete the GTA entry.
The GTT set name (gttsn) must be specified and match that of an existing
GTT set name. Use the
rtrv-gttset command to view the GTT
set names. If the specified GTT set is an ANSI set, the
pc or
pca value must be a valid ANSI point
code. If the specified GTT set is an ITU set, the
pci,
pcn, or
pcn24 value must be a valid ITU point
code. The point code (PC) must be a full point code and cannot be out of range.
If the ANSI/ITU SCCP Conversion feature is enabled, the domain (ANSI or ITU) of
the GTT set name and point code do not have to be the same.
Note:
See Chapter 2, Configuring Destination Tables in Database Administration - SS7 User's Guide for a definition of the point code types that are used on the EAGLE and for a definition of the different formats that can be used for ITU national point codes.If the end of the global title address (EGTA) parameter is specified, GTA and EGTA must have
the same number of digits, but EGTA must be larger than GTA. The range, as
specified by the start and end global title addresses, must be in the database
for the specified translation type. Each range may be contained completely
within a previously defined range, in which case splitting is performed.
However, if the ranges overlap, splitting cannot occur, and the
chg-gta command is rejected with this
message.
E2401 Cmd Rej:GTA range overlaps a current
range
Along with error message 2401, a list of the overlapped global title addresses is displayed as shown in the following example.
rlghncxa03w 09-05-07 00:28:31 GMT EAGLE5 41.0.0
The following GTA ranges overlap the input GTA range
START GTA END GTA
8005550000 8005551999
8005552000 8005553999
8005554000 8005555999
CHG-GTA: MASP A - Command Aborted
XLAT parameter must be set to
DPCSSN and the value of the
RI parameter must be set to
SSN. If the
SSN parameter is specified and a point
code is the STP’s True PC, then the subsystem number specified must exist in
the SS-APPL table. This can be verified with the
rtrv-ss-appl command. To execute the
rtrv-ss-appl command, these features
must be enabled, and turned on if necessary.
- LNP - shown by the entry
LNP TNswith a quantity greater than zero in thertrv-ctrl-featcommand output - ATINP - shown by the entry
ATINPin thertrv-ctrl-featcommand output with the status set to on - EIR - shown by the entry
EIRin thertrv-ctrl-featcommand output as being permanently or temporarily enabled and with the status set to on. - INP - shown by the entry
INPin thertrv-ctrl-featcommand output with the status set to on. - V-FLEX - shown by the entry
VFLEXin thertrv-ctrl-featcommand output with the status set to on. - ANSI-41 INP Query - shown by the entry
ANSI-41 INP Queryin thertrv-ctrl-featcommand output with the status set to on. - ANSI41 AIQ - shown by the entry
ANSI41 AIQin thertrv-ctrl-featcommand output.
Note:
The Local Number Portability (LNP), Equipment Identity Register (EIR), INAP Number Portability (INP), V-Flex, ATINP, ANSI41 AIQ, or ANSI-41 INP Query features must be purchased before you can enable the LNP, ATINP, or ANSI41 AIQ features, or enable and turn on the EIR, INP, V-Flex, or ANSI-41 INP Query features. If you are not sure whether you have purchased the LNP, EIR, or INP, V-Flex, ATINP, or ANSI-41 INP Query feature, contact your Oracle Sales Representative or Account Representative.Once the LNP, ATINP, or ANSI41 AIQ feature is enabled
with the
enable-ctrl-feat command, or the
EIR, INP, V-Flex, and ANSI-41 INP Query features are turned on with the
chg-ctrl-feat command, they cannot
be turned off or disabled.
A point code must exist as a destination in the route table or reside in a cluster that exists as a destination in the route table (for global title routing) unless the point code is the STP’s True PC.
If a final GTT is specified (ri=ssn) with the
xlat=dpc parameter, and the value of
the
force parameter is
no, the point code must be in the
Remote Point Code/Mated Application table. Verify this by entering the
rtrv-map command. If this point code
and subsystem number is not defined as a mated application, perform one of
these procedures to add the point code and subsystem number to the database as
a mated application:
- Provisioning a Solitary Mated Application
- Provisioning a Dominant Mated Application
- Provisioning a Load Shared Mated Application
- Provisioning a Combined Dominant/Load Shared Mated Application
The point code and subsystem number do not have to be in
the mated application table when the
chg-gta command is executed when these
parameters are specified with the
chg-gta command.
ri=gtxlat=dpcssnandri=ssn(provided the point code value is not the STP’s true point code)
If the point code and subsystem are not in the mated
application table when either of these parameters are specified with the
chg-gta command, the EAGLE creates a
solitary mated application in the mated application table using the point code
and subsystem values specified in the
chg-gta command.
xlat=none parameter is specified for a
global title translation, the global title translation entry can contain any
data except for the routing data defined by these parameters.
pc/pca/pci/pcn/pcn24ssnriforce=yes
The
GTA
Entries with the XLAT=NONE Parameter part of the
GTT Actions
section described the behavior of the
xlat=none parameter.
chg-gta command.
The GTT table may not be full.
The values specified for the
gta and
egta parameters can be decimal digits
(0-9) or hexadecimal digits (0-9, a-f, A-F). Hexadecimal digits can be
specified only if the Hex Digit Support for GTT feature is enabled. Verify the
status of the Hex Digit Support for GTT feature with the
rtrv-ctrl-feat
command. Refer to the
Hex Digit Support for GTT
section for more information on this feature. If the Hex Digit Support for GTT
feature is not enabled, perform the
Activating the Hex Digit Support for GTT Feature
procedure to enable the Hex Digit Support for GTT feature.
Canceling the
RTRV-GTA Command
Because the
rtrv-gta command used in this
procedure can output information for a long period of time, the
rtrv-gta command can be canceled and
the output to the terminal stopped. There are three ways that the
rtrv-gta command can be canceled.
- Press the
F9function key on the keyboard at the terminal where thertrv-gtacommand was entered. - Enter the
canc-cmdwithout thetrmparameter at the terminal where thertrv-gtacommand was entered. - Enter the
canc-cmd:trm=<xx>, where<xx>is the terminal where thertrv-gtacommand was entered, from another terminal other that the terminal where thertrv-gtacommand was entered. To enter thecanc-cmd:trm=<xx>command, the terminal must allow Security Administration commands to be entered from it and the user must be allowed to enter Security Administration commands. The terminal’s permissions can be verified with thertrv-secu-trmcommand. The user’s permissions can be verified with thertrv-userorrtrv-secu-usercommands.
For more information about the
canc-cmd command, go to
Commands User's Guide.
Table 4-39 GTA Parameter Combinations - No SETTYPE Column in RTRV-GTTSET Output
| Mandatory Parameters |
GTTSN – The GTT set name from the
GTTSN column of the
rtrv-gttset output and from the GTTSN column
of the
rtrv-gta output.
|
GTA – The GTA value assigned to the
GTTSN value in the
rtrv-gta output.
|
If only the EGTT feature is on, the
SETTYPE column is not shown in the
rtrv-gttset output.
|
| Optional Parameters |
|
EGTA – 1 - 21 digits or 1 - 21 hexadecimal digits. Default = same as the GTA value. Hexadecimal digits (0-9, a-f, A-F) can be specified for the
The length of the EGTA value must be the same as the GTA value. |
There are other optional parameters that can be used with
this entry. Refer to
Table 4-48
for these parameters. At least one optional parameter must be specified with
the
chg-gta command. Unless a default value is
shown for a parameter in
Table 4-48,
the value of any optional parameter that is not specified with the
chg-gta command is not changed.
|
Table 4-40 GTTSN = CDGTA GTT Set Parameter Combinations
| XLAT=DPCNGT, DPCSSN, or DPC | XLAT=NONE |
|---|---|
| Mandatory Parameters | |
GTTSN – The GTT set name from the
GTTSN column of the
rtrv-gttset output containing the value
CDGTA in the
SETTYPE column and from the GTTSN column of
the
rtrv-gta output.
|
GTTSN – The GTT set name from the
GTTSN column of the
rtrv-gttset output containing the value
CDGTA in the
SETTYPE column and from the GTTSN column of
the
rtrv-gta output.
|
GTA – The
GTA value assigned to the
GTTSN value in the
rtrv-gta output.
|
GTA – The
GTA value assigned to the
GTTSN value in the
rtrv-gta output.
|
| Optional Parameters | |
|
EGTA – 1 - 21 digits or 1 - 21 hexadecimal digits. Default = same as the GTA value. Hexadecimal digits (0-9, a-f, A-F) can be specified for the
The length of the EGTA value must be the same as the GTA value. |
EGTA – 1 - 21 digits or 1 - 21 hexadecimal digits. Default = same as the GTA value. Hexadecimal digits (0-9, a-f, A-F) can be specified for the
The length of the EGTA value must be the same as the GTA
value. These parameters cannot be specified with the
xlat=none parameter.
|
|
OPTSN – The GTT set name from the
The current value of this parameter must be changed to the
value
|
|
|
OPCSN – The GTT set name from the
|
|
There are other optional parameters
that can be used with this entry. Refer to
Table 4-48
for these parameters. At least one optional parameter must be specified with
the
chg-gta command. Unless a default value is
shown for a parameter in
Table 4-48,
the value of any optional parameter that is not specified with the
chg-gta command is not changed.
|
|
Note: When the
xlat parameter value is changed from
dpcngt,
dpcssn, or
dpc, to
none, all the optional parameter values that
are not specified with the
chg-gta command are not changed. However,
these changes are made.
|
|
Table 4-41 GTTSN = CGGTA GTT Set Parameter Combinations
| XLAT=DPCNGT, DPCSSN, or DPC | XLAT=NONE |
|---|---|
| Mandatory Parameters | |
GTTSN – The GTT set name from the
GTTSN column of the
rtrv-gttset output containing the value
CGGTA in the
SETTYPE column and from the GTTSN column of
the
rtrv-gta output.
|
GTTSN – The GTT set name from the
GTTSN column of the
rtrv-gttset output containing the value
CGGTA in the
SETTYPE column and from the GTTSN column of
the
rtrv-gta output.
|
GTA – The
GTA value assigned to the
GTTSN value in the
rtrv-gta output.
|
GTA – The
GTA value assigned to the
GTTSN value in the
rtrv-gta output.
|
| Optional Parameters | |
|
EGTA – 1 - 21 digits or 1 - 21 hexadecimal digits. Default = same as the GTA value. Hexadecimal digits (0-9, a-f, A-F) can be specified for the
The length of the EGTA value must be the same as the GTA value. |
EGTA – 1 - 21 digits or 1 - 21 hexadecimal digits. Default = same as the GTA value. Hexadecimal digits (0-9, a-f, A-F) can be specified for the
The length of the EGTA value must be the same as the GTA
value. These parameters cannot be specified with the
xlat=none parameter.
|
|
OPTSN – The GTT set name from the
The current value of this parameter must be changed to the
value
|
|
There are other optional parameters
that can be used with this entry. Refer to
Table 4-48
for these parameters. At least one optional parameter must be specified with
the
chg-gta command. Unless a default value is
shown for a parameter in
Table 4-48,
the value of any optional parameter that is not specified with the
chg-gta command is not changed.
|
|
Note: When the
xlat parameter value is changed from
dpcngt,
dpcssn, or
dpc, to
none, all the optional parameter values that
are not specified with the
chg-gta command are not changed. However,
these changes are made.
|
|
Table 4-42 GTTSN = CGPC GTT Set Parameter Combinations
| XLAT=DPCNGT, DPCSSN, or DPC | XLAT=NONE |
|---|---|
| Mandatory Parameters | |
GTTSN – The GTT set name from the
GTTSN column of the
rtrv-gttset output containing the value
CGPC in the
SETTYPE column and from the GTTSN column of
the
rtrv-gta output.
|
GTTSN – The GTT set name from the
GTTSN column of the
rtrv-gttset output containing the value
CGPC in the
SETTYPE column and from the GTTSN column of
the
rtrv-gta output.
|
CGPC/CGPCA/CGPCI/CGPCN/CGPCN24 – The CGPC value assigned to
the
GTTSN value in the
rtrv-gta output. (See Note 1)
|
CGPC/CGPCA/CGPCI/CGPCN/CGPCN24 – The CGPC value assigned to
the
GTTSN value in the
rtrv-gta output. (See Note 1)
|
| Optional Parameters | |
|
OPTSN – The GTT set name from the
The current value of this parameter must be changed to the
value
|
These parameters cannot be specified with the
xlat=none parameter.
|
|
There are other optional parameters that can be used with this
entry. Refer to
Table 4-48
for these parameters. At least one optional parameter must be specified with
the
The
|
|
Note:
|
|
Table 4-43 GTTSN = CGSSN GTT Set Parameter Combinations
| XLAT=DPCNGT, DPCSSN, or DPC | XLAT=NONE |
|---|---|
| Mandatory Parameters | |
GTTSN – The GTT set name from the
GTTSN column of the
rtrv-gttset output containing the value
CGSSN in the
SETTYPE column and from the GTTSN column of
the
rtrv-gta output.
|
GTTSN – The GTT set name from the
GTTSN column of the
rtrv-gttset output containing the value
CGSSN in the
SETTYPE column and from the GTTSN column of
the
rtrv-gta output.
|
CGSSN – The CGSSN value assigned to the
GTTSN value in the
rtrv-gta output.
|
CGSSN – The CGSSN value assigned to the
GTTSN value in the
rtrv-gta output.
|
| Optional Parameters | |
| ECGSSN – 0 - 255. The ECGSSN value must be greater than the CGSSN value. |
ECGSSN – 0 - 255. Default value – no ECGSSN value is specified. The ECGSSN value must be greater than the CGSSN value. These parameters cannot be specified with the
xlat=none parameter.
|
|
OPTSN – The GTT set name from the
The current value of this parameter must be changed to the
value
|
|
|
There are other optional parameters that can be used with this
entry. Refer to
Table 4-48
for these parameters. At least one optional parameter must be specified with
the
The
|
|
Note: When the
xlat parameter value is changed from
dpcngt,
dpcssn, or
dpc, to
none, all the optional parameter values that
are not specified with the
chg-gta command are not changed. However,
these changes are made.
|
|
Table 4-44 GTTSN = OPC GTT Set Parameter Combinations
| XLAT=DPCNGT, DPCSSN, or DPC | XLAT=NONE |
|---|---|
| Mandatory Parameters | |
GTTSN – The GTT set name from the
GTTSN column of the
rtrv-gttset output containing the value
OPC in the
SETTYPE column and from the GTTSN column of
the
rtrv-gta output.
|
GTTSN – The GTT set name from the
GTTSN column of the
rtrv-gttset output containing the value
OPC in the
SETTYPE column and from the GTTSN column of
the
rtrv-gta output.
|
OPC/OPCA/OPCI/OPCN/OPCN24 – The OPC value assigned to the
GTTSN value in the
rtrv-gta output. (See Note 1)
|
OPC/OPCA/OPCI/OPCN/OPCN24 – The OPC value assigned to the
GTTSN value in the
rtrv-gta output. (See Note 1)
|
| Optional Parameters | |
|
OPTSN – The GTT set name from the
The current value of this parameter must be changed to the
value
|
These parameters cannot be specified with the
xlat=none parameter.
|
|
There are other optional parameters that can be used with this
entry. Refer to
Table 4-48
for these parameters. At least one optional parameter must be specified with
the
The
|
|
Note:
|
|
Table 4-45 GTTSN = CDSSN GTT Set Parameter Combinations
| XLAT=DPCNGT, DPCSSN, or DPC | XLAT=NONE |
|---|---|
| Mandatory Parameters | |
GTTSN – The GTT set name from the
GTTSN column of the
rtrv-gttset output containing the value
CDSSN in the
SETTYPE column and from the GTTSN column of
the
rtrv-gta output.
|
GTTSN – The GTT set name from the
GTTSN column of the
rtrv-gttset output containing the value
CDSSN in the
SETTYPE column and from the GTTSN column of
the
rtrv-gta output.
|
CDSSN – The CDSSN value assigned to the
GTTSN value in the
rtrv-gta output.
|
CDSSN – The CDSSN value assigned to the
GTTSN value in the
rtrv-gta output.
|
| Optional Parameters | |
| ECDSSN – 0 - 255. The ECDSSN value must be greater than the CDSSN value. |
ECDSSN – 0 - 255. Default value – no ECDSSN value is specified. The ECDSSN value must be greater than the CDSSN value. These parameters cannot be specified with the
xlat=none parameter.
|
|
OPTSN – The GTT set name from the
The current value of this parameter must be changed to the
value
|
|
OPCSN – The GTT set name from the
GTTSN column of the
rtrv-gttset output containing the value
OPC in the
SETTYPE column, or the value
none. The value
none removes the OPCSN value from the GTA
entry.
|
|
|
There are other optional parameters that can be used with this
entry. Refer to
Table 4-48
for these parameters. At least one optional parameter must be specified with
the
The
|
|
Note: When the
xlat parameter value is changed from
dpcngt,
dpcssn, or
dpc, to
none, all the optional parameter values that
are not specified with the
chg-gta command are not changed. However,
these changes are made.
|
|
Table 4-46 GTTSN = OPCODE GTT Set Parameter Combinations
| XLAT=DPCNGT, DPCSSN, or DPC | XLAT=NONE | ||
|---|---|---|---|
| Mandatory Parameters | |||
GTTSN – The GTT set name from the
GTTSN column of the
rtrv-gttset output containing the value
OPCODE in the
SETTYPE column and from the GTTSN column of
the
rtrv-gta output.
|
GTTSN – The GTT set name from the
GTTSN column of the
rtrv-gttset output containing the value
OPCODE in the
SETTYPE column and from the GTTSN column of
the
rtrv-gta output.
|
||
OPCODE – The OPCODE value assigned
to the
GTTSN value in the
rtrv-gta output. (See Note 4)
|
OPCODE – The OPCODE value assigned
to the
GTTSN value in the
rtrv-gta output.
|
||
| ANSI TCAP Translation | ITU TCAP Translation | ANSI TCAP Translation | ITU TCAP Translation |
FAMILY – The FAMILY value assigned to the GTTSN and OPCODE
values in the
rtrv-gta output.
|
ACN – The application context name assigned to the GTTSN and
OPCODE values in the
rtrv-gta output.
|
FAMILY – The FAMILY value assigned to the GTTSN and OPCODE
values in the
rtrv-gta output.
|
ACN – The application context name assigned to the GTTSN and
OPCODE values in the
rtrv-gta output.
|
PKGTYPE – The PKGTYPE context name assigned to the GTTSN,
FAMILY, and OPCODE values in the
rtrv-gta output.
|
PKGTYPE – PKGTYPE – The PKGTYPE context name assigned to the
GTTSN, ACN, and OPCODE values in the
rtrv-gta output.
|
PKGTYPE – The PKGTYPE context name assigned to the GTTSN,
FAMILY, and OPCODE values in the
rtrv-gta output.
|
PKGTYPE – PKGTYPE – The PKGTYPE context name assigned to the
GTTSN, ACN, and OPCODE values in the
rtrv-gta output.
|
| Optional Parameters | |||
|
OPTSN – The GTT set name from the
The current value of this parameter must be changed to the
value
|
These parameters cannot be
specified with the
xlat=none parameter.
|
||
OPCSN – The GTT set name from the
GTTSN column of the
rtrv-gttset output containing the value
OPC in the
SETTYPE column. Default value – no OPC GTT set
is specified.
|
|||
|
There are other optional parameters that can be used with this
entry. Refer to
Table 4-48
for these parameters. At least one optional parameter must be specified with
the
The
|
|||
Note: When the
xlat parameter value is changed from
dpcngt,
dpcssn, or
dpc, to
none, all the optional parameter values that
are not specified with the
chg-gta command are not changed. However,
these changes are made.
|
|||
Table 4-47 GTTSN = DPC GTT Set Parameter Combinations
| XLAT=DPCNGT, DPCSSN, or DPC | XLAT=NONE |
|---|---|
| Mandatory Parameters | |
GTTSN – The GTT set name from the
GTTSN column of the
rtrv-gttset output containing the value
DPC in the
SETTYPE column.
|
GTTSN – The GTT set name from the
GTTSN column of the
rtrv-gttset output containing the value
DPC in the
SETTYPE column.
|
| DPC/DPCA/DPCI/DPCN/DPCN24 (See Notes 1, 2, and 3) | DPC/DPCA/DPCI/DPCN/DPCN24 (See Notes 1, 2, and 3) |
| Optional Parameters | |
|
OPTSN – The GTT set name from the
The current value of this parameter must be changed to the
value
|
These parameters cannot be specified with the
xlat=none parameter.
|
OPCSN – The GTT set name from the
GTTSN column of the
rtrv-gttset output containing the value
OPC in the
SETTYPE column, or the value
none. The value
none removes the OPCSN value from the GTA
entry.
|
|
There are other optional parameters
that can be used with this entry. Refer to
Table 4-48
for these parameters. The
egta and
split parameters cannot be specified with this
entry.
|
|
Note: When the
xlat parameter value is changed from
dpcngt,
dpcssn, or
dpc, to
none, all the optional parameter values that
are not specified with the
chg-gta command are not changed. However,
these changes are made.
|
|
Table 4-48 Optional GTA Parameters
| XLAT=DPCNGT, DPCSSN, or DPC | XLAT=NONE |
|---|---|
| PC/PCA/PCI/PCN/PCN24 (See Notes 1, 2, and 3) | MRNSET – MRN set ID from the
rtrv-mrn output or
none (See Note 4)
|
| SSN – 0 - 255 (See Note 3) | LOOPSET – Loopset name from the
rtrv-loopset output (See Note 8)
|
| RI – GT, SSN (See Notes 3, 4, 7) | CGGTMOD – yes, no. Default = no (See Note 9) |
MRNSET – MRN set ID from the
rtrv-mrn output or
none (See Note 4)
|
MAPSET – MAP set ID from the
rtrv-map output or
none (See Note 7)
|
LOOPSET – Loopset name from the
rtrv-loopset output (See Note 8)
|
SPLIT – yes, no. Default = yes (See Note 10) |
| CGGTMOD – yes, no. Default = no (See Note 9) | TESTMODE – on, off. Default = off. |
| CCGT – yes, no. (See Note 5) | FALLBACK – sysdflt, yes, no. The Flexible Linkset Optional Based Routing feature must be enabled and turned on to use this parameter. |
MAPSET – MAP set ID from the
rtrv-map output or
none (See Note 8)
|
CGSELID – 0 - 65534 or none. The Origin-Based SCCP Routing feature must be enabled to use this parameter. (See Note 12) |
| FORCE – yes, no. Default = no (See Note 6) | CDSELID – 0 - 65534 or none. The Flexible Linkset Optional Based Routing feature must be enabled and turned on to use this parameter. (See Note 12) |
| SPLIT – yes, no. Default = yes (See Note 10) | CGCNVSN – GTT set name shown in the
rtrv-gttset output or
none. (See Note 13)
|
| TESTMODE – on, off. Default = off. | ACTSN – The name of the GTT action set name shown in the
rtrv-gttaset output or
none. (See Note 11)
|
| FALLBACK – sysdflt, yes, no. The Flexible Linkset Optional Based Routing feature must be enabled and turned on to use this parameter. | GTMODID – The name of the GT modification identifier shown
in the
rtrv-gtmod output or
none. The value
none removes the GT modification identifier
assignment from the GTA entry. If the NGTI value in the global title
modification entry is 4, the point code that is assigned to the GTA entry must
be an ITU point code.
|
| CGSELID – 0 - 65534 or none. The Origin-Based SCCP Routing feature must be enabled to use this parameter. (See Note 12) | PPMEASREQD – This parameter specifies whether per-path
measurements are required for the GTA entry. This parameter has two values.
|
| CDSELID – 0 - 65534 or none. The Flexible Linkset Optional Based Routing feature must be enabled and turned on to use this parameter. (See Note 12) | |
CGCNVSN – GTT set name shown in the
rtrv-gttset output or
none. (See Note 13)
|
|
ACTSN – The name of the GTT action set name shown in the
rtrv-gttaset output or
none. (See Note 11)
|
|
GTMODID – The name of the GT modification identifier shown
in the
rtrv-gtmod output or
none. The value
none removes the GT modification identifier
assignment from the GTA entry. If the NGTI value in the global title
modification entry is 4, the point code that is assigned to the GTA entry must
be an ITU point code.
|
|
PPMEASREQD – This parameter specifies whether per-path
measurements are required for the GTA entry. This parameter has two values.
|
|
Notes:
|
|
Figure 4-23 Change Global Title Address Information - Sheet 1 of 15

Figure 4-24 Change Global Title Address Information - Sheet 2 of 15

Figure 4-25 Change Global Title Address Information - Sheet 3 of 15

Figure 4-26 Change Global Title Address Information - Sheet 4 of 15

Figure 4-27 Change Global Title Address Information - Sheet 5 of 15

Figure 4-28 Change Global Title Address Information - Sheet 6 of 15

Figure 4-29 Change Global Title Address Information - Sheet 7 of 15

Figure 4-30 Change Global Title Address Information - Sheet 8 of 15

Figure 4-31 Change Global Title Address Information - Sheet 9 of 15

Figure 4-32 Change Global Title Address Information - Sheet 10 of 15

Figure 4-33 Change Global Title Address Information - Sheet 11 of 15

Figure 4-34 Change Global Title Address Information - Sheet 12 of 15

Figure 4-35 Change Global Title Address Information - Sheet 13 of 15

Figure 4-36 Change Global Title Address Information - Sheet 14 of 15

Figure 4-37 Change Global Title Address Information - Sheet 15 of 15

Changing the Default GTT Mode Options
This procedure is used to change the default GTT mode
options using the
chg-sccpopts command with these
parameters.
:dfltgttmode – the system
default of the GTT mode hierarchy for the EAGLE to follow when performing
global title translation. The values for this parameter are shown in
Table 4-50
.
:dfltfallback – the
default fallback option - the action that is taken if the last translation does
not match when performing global title translation using a Flexible Linkset
Optional Based Routing specific GTT mode. This parameter has two values.
no- Global title translation fails and the message is discarded.yes- Global title translation is performed in the message based on the last matched entry.
This procedure can be performed only if the Origin-Based SCCP Routing feature is enabled or if the Flexible Linkset Optional Based Routing feature is enabled and turned on.
For more information about the default GTT mode options, refer to the Origin-Based SCCP Routing or Flexible Linkset Optional Based Routing sections.
Figure 4-38 Change the Default GTT Mode Options - Sheet 1 of 3

Figure 4-39 Change the Default GTT Mode Options - Sheet 2 of 3

Figure 4-40 Change the Default GTT Mode Options - Sheet 3 of 3

Adding a GTT Action
This procedure is used to add a GTT action to the
database using the
ent-gttact command.
The
ent-gttact command uses these
parameters.
:act - the action that
is applied to the message. This parameter has these values.
disc— discard the message with no return error.dup— route a copy of the message to the specified duplicate node.tcaperr— discard the message that has the specified TCAP error.udts— discard the message and send an UDTS/XUDTS.fwd— route the original message to the specified forward node instead of the destination indicated by the global title translation data.
:actid - the name of
the GTT action entry.
:atcaperr - the ANSI
TCAP error cause - the reason for discarding the message containing the ANSI
TCAP portion that is associated with the TCAP error GTT action.
:cdgtmodid - the name
of the GT modification identifier that is associated with the called party of a
GTT action entry.
:cggtmodid - the name
of the GT modification identifier that is associated with the calling party of
a GTT action entry.
:cgpc/cgpca/cgpci/cgpcn/cgpcn24 - the calling party
point code.
Note:
See Chapter 2, "Configuring Destination Tables," in Database Administration - SS7 User's Guide for a definition of the point code types that are used on the EAGLE and for a definition of the different formats that can be used for ITU national point codes.:cgpcogmsg - the data
that is used as the calling party point code in the outgoing message.
:defactid - the default
GTT action ID that is associated with the forward GTT action.
:itcaperr - the ITU
TCAP error cause - the reason for discarding the message containing the ITU
TCAP portion that is associated with the TCAP error GTT action.
:loopset - the name of
the SCCP loopset name that is associated with the GTT action.
:mapset - the MAP set
ID.
:mrnset - the MRN set
ID.
:off - turns off the
specified feature options.
:off=uimreqd- a UIM is not generated.:off=useicmsg- apply the GTT action data to the message as the message was received.
:on - turns on the
specified feature options.
:on=uimreqd- a UIM is generated.:on=useicmsg- apply the GTT action data to the message after any EPAP or GTT translation/modification data has been applied.
:pc/pca/pci/pcn/pcn24 -
the point code that the message will be routed to as a result of the duplicate
or forward GTT action.
Note:
See Chapter 2, "Configuring Destination Tables," in Database Administration - SS7 User's Guide for a definition of the point code types that are used on the EAGLE and for a definition of the different formats that can be used for ITU national point codes.:ri - the routing
indicator in the SCCP called party address of the duplicated copy of MSU.
:ssn - the subsystem
number (SSN) in the SCCP called party address of the MSU.
:udtserr - the reason
associated with the UDTS GTT action for discarding the message.
The values for the
actid,
atcaperr,
itcaperr,
udtserr,
pc/pca/pci/pcn/pcn24,
ri,
mrnset,
mapset,
ssn,
loopset,
cggtmodid,
cdgtmodid,
defactid, and
cgpc/cgpca/cgpci/cgpcn/cgpcn24
parameters are shown in
Table 4-51.
act parameter value that will be
specified with the GTT action.
act=disc,act=udts,act=tcaperr- GTT Action - DISCARD feature - part number 893027501.act=dup- GTT Action - DUPLICATE feature - part number 893027601.act=fwd- GTT Action - FORWARD feature - part number 893037501.
The status of these features is shown in the
rtrv-ctrl-feat output. Perform the
Activating the GTT Actions Features
procedure to enable one or more of these features.
The EAGLE database can contain a maximum of 2000 GTT action entries.
Figure 4-41 Add a GTT Action - Sheet 1 of 8

Figure 4-42 Add a GTT Action - Sheet 2 of 8

Figure 4-43 Add a GTT Action - Sheet 3 of 8

Figure 4-44 Add a GTT Action - Sheet 4 of 8

Figure 4-45 Add a GTT Action - Sheet 5 of 8

Figure 4-46 Add a GTT Action - Sheet 6 of 8

Figure 4-47 Add a GTT Action - Sheet 7 of 8

Figure 4-48 Add a GTT Action - Sheet 8 of 8

Removing a GTT Action
Use this procedure to remove a GTT action entry from the
database using the
dlt-gttact command.
The
dlt-gttset command uses this
parameter.
:actid – The GTT action
identifier shown in the
rtrv-gttact output.
The GTT action entry cannot be removed if it is assigned
to a GTT action set. The
rtrv-gttaset command output shows the
GTT action sets.
- A forward GTT action that references a discard, UDTS,
or TCAPERR GTT action. The GTT action that is being removed is shown in the
DEFACTIDcolumn in thertrv-gttactoutput. - A GTT action set. The GTT action sets are shown in
the
rtrv-gttasetoutput. - An LNP service. LNP services are shown in the
rtrv-lnp-servoutput.
Figure 4-49 Remove a GTT Action Entry - Sheet 1 of 3

Figure 4-50 Remove a GTT Action Entry - Sheet 2 of 3

Figure 4-51 Remove a GTT Action Entry - Sheet 3 of 3

Changing a GTT Action
This procedure is used to change the attributes of a GTT
action entry using the
chg-gttact command.
The
chg-gttact command uses these
parameters.
:act - the action that
is applied to the message. This parameter has these values.
disc— discard the message with no return error.dup— route a copy of the message to the specified duplicate node.tcaperr— discard the message that has the specified TCAP error.udts— discard the message and send an UDTS/XUDTS.fwd— route the original message to the specified forward node instead of the destination indicated by the global title translation data.
:actid - the current
name of the GTT action entry.
:nactid - the new name
of the GTT action entry.
:atcaperr - the ANSI
TCAP error cause - the reason for discarding the message containing the ANSI
TCAP portion that is associated with the TCAP error GTT action.
:cdgtmodid - the name
of the GT modification identifier that is associated with the called party of a
GTT action entry.
:cggtmodid - the name
of the GT modification identifier that is associated with the calling party of
a GTT action entry.
:cgpc/cgpca/cgpci/cgpcn/cgpcn24 - the calling party
point code.
Note:
See Chapter 2, "Configuring Destination Tables," in Database Administration - SS7 User's Guide for a definition of the point code types that are used on the EAGLE and for a definition of the different formats that can be used for ITU national point codes.:cgpcogmsg - the data
that is used as the calling party point code in the outgoing message.
:defactid - the default
GTT action ID that is associated with the forward GTT action.
:itcaperr - the ITU
TCAP error cause - the reason for discarding the message containing the ITU
TCAP portion that is associated with the TCAP error GTT action.
:loopset - the name of
the SCCP loopset name that is associated with the GTT action.
:mapset - the MAP set
ID.
:mrnset - the MRN set
ID.
:off - turns off the
specified feature options.
:off=uimreqd- a UIM is not generated.:off=useicmsg- apply the GTT action data to the message as the message was received.
:on - turns on the
specified feature options.
:on=uimreqd- a UIM is generated.:on=useicmsg- apply the GTT action data to the message after any EPAP or GTT translation/modification data has been applied.
:pc/pca/pci/pcn/pcn24 -
the point code that the message will be routed to as a result of the duplicate
or forward GTT action.
Note:
See Chapter 2, "Configuring Destination Tables," in Database Administration - SS7 User's Guide for a definition of the point code types that are used on the EAGLE and for a definition of the different formats that can be used for ITU national point codes.:ri - the routing
indicator in the SCCP called party address of the duplicated copy of MSU.
:ssn - the subsystem
number (SSN) in the SCCP called party address of the MSU.
:udtserr - the reason
associated with the UDTS GTT action for discarding the message.
The values for the
actid,
nactid,
atcaperr,
itcaperr,
udtserr,
pc/pca/pci/pcn/pcn24,
ri,
mrnset,
mapset,
ssn,
loopset,
cggtmodid,
cdgtmodid,
defactid, and
cgpc/cgpca/cgpci/cgpcn/cgpcn24
parameters are shown in
Table 4-51.
act parameter value that will be
specified with the GTT action.
act=disc,act=udts,act=tcaperr- GTT Action - DISCARD feature - part number 893027501.act=dup- GTT Action - DUPLICATE feature - part number 893027601.act=fwd- GTT Action - FORWARD feature - part number 893037501.
The status of these features is shown in the
rtrv-ctrl-feat output. Perform the
Activating the GTT Actions Features
procedure to enable one or more of these features.
Figure 4-52 Change a GTT Action - Sheet 1 of 10

Figure 4-53 Change a GTT Action - Sheet 2 of 10

Figure 4-54 Change a GTT Action - Sheet 3 of 10

Figure 4-55 Change a GTT Action - Sheet 4 of 10

Figure 4-56 Change a GTT Action - Sheet 5 of 10

Figure 4-57 Change a GTT Action - Sheet 6 of 10

Figure 4-58 Change a GTT Action - Sheet 7 of 10

Figure 4-59 Change a GTT Action - Sheet 8 of 10

Figure 4-60 Change a GTT Action - Sheet 9 of 10

Figure 4-61 Change a GTT Action - Sheet 10 of 10

Adding a GTT Action Set
This procedure to add a GTT action set to the database
using the
ent-gttaset command. A GTT action set
is a group of GTT actions, provisioned by the
Adding a GTT Action
procedure. The GTT action set is assigned to a GTA entry using either the
ent-gta or
chg-gta commands.
The
ent-gttaset command uses these
parameters.
:actsn – The name of
the GTT action set consisting of one alphabetic character and up to eight
alphanumeric characters.
:actid1 – The
identifier of the GTT action that is being added to the GTT action set.
:actid2 – The
identifier of the GTT action that is being added to the GTT action set.
:actid3 – The
identifier of the GTT action that is being added to the GTT action set.
:actid4 – The
identifier of the GTT action that is being added to the GTT action set.
:actid5 – The
identifier of the GTT action that is being added to the GTT action set.
:actid6 – The
identifier of the GTT action that is being added to the GTT action set.
:on=testmode – The GTT
action set is used only by the test message tool.
:off=testmode – The GTT
action set is used for real-time message processing.
The values of the
actid parameters are shown in either
the
rtrv-gttact output or assigned to an
existing GTT action set and shown in the
rtrv-gttaset output.
Figure 4-62 Add a GTT Action Set

Removing a GTT Action Set
This procedure to remove a GTT action set from the
database using the
dlt-gttaset command.
The
dlt-gttaset command uses this
parameter.
:actsn – The name of
the GTT action set shown in the
rtrv-gttaset output.
The GTT set action cannot be removed if it is referenced
by a GTA entry, configured with the
ent-gta or
chg-gta commands. The
rtrv-gta command output shows the GTA
entries.
Figure 4-63 Remove a GTT Action Set

Changing a GTT Action Set
This procedure is used to change the attributes of a GTT
action set using the
chg-gttaset command.
The
chg-gttaset command uses these
parameters.
:actsn – The current
name of the GTT action set shown in the
rtrv-gttaset output.
:nactsn – The new name
of the GTT action set consisting of one alphabetic character and up to eight
alphanumeric characters.
:actid1 – The
identifier of the GTT action that is being added to the GTT action set,
:actid2 – The
identifier of the GTT action that is being added to the GTT action set.
:actid3 – The
identifier of the GTT action that is being added to the GTT action set.
:actid4 – The
identifier of the GTT action that is being added to the GTT action set.
:actid5 – The
identifier of the GTT action that is being added to the GTT action set.
:actid6 – The
identifier of the GTT action that is being added to the GTT action set.
:on=testmode – The GTT
action set is used only by the test message tool.
:off=testmode – The GTT
action set is used for real-time message processing.
The values of the
actid parameters are shown in either
the
rtrv-gttact output or assigned to an
existing GTT action set and shown in the
rtrv-gttaset output.
Figure 4-64 Change a GTT Action Set - Sheet 1 of 2

Figure 4-65 Change a GTT Action Set - Sheet 2 of 2

Adding a GTT Action Path Entry
This procedure to add a GTT action path entry to the
database using the
ent-gttapath command.
The
ent-gttapath command uses these
parameters.
:gttpn – The name of
the GTT action path entry consisting of one alphabetic character followed by up
to four alphanumeric characters.
:cdgttsn – The name of
the GTT set whose
SETTYPE value is CDGTA.
:cdgta – The
GTA value in the GTA entry shown in
the
rtrv-gta output that is assigned to
the CDGTA GTT set.
:cggttsn – The name of
the GTT set whose
SETTYPE value is CGGTA.
:cggta – The
GTA value in the GTA entry shown in
the
rtrv-gta output that is assigned to
the CGGTA GTT set.
:opgttsn – The name of
the GTT set whose
SETTYPE value is OPCODE.
:opcode – The
OPCODE value in the GTA entry shown in
the
rtrv-gta output that is assigned to
the OPCODE GTT set.
acn – The
ACN value in the GTA entry shown in
the
rtrv-gta output that is assigned to
the OPCODE GTT set.
family – The
FAMILY value in the GTA entry shown in
the
rtrv-gta output that is assigned to
the OPCODE GTT set.
pkgtype – The
PKGTYPE value in the GTA entry shown
in the
rtrv-gta output that is assigned to
the OPCODE GTT set.
One of the features shown in Table 4-52 must be enabled to add a GTT action path to the database.
Table 4-52 GTT Actions Features Part Numbers
| GTT Actions Features | Part Number |
|---|---|
| GTT Action - DISCARD | 893027501 |
| GTT Action - Duplicate | 893027601 |
| GTT Action - Forward | 893037501 |
The status of these features is shown in the
rtrv-ctrl-feat command output. If the
desired feature is not enabled, perform the
Activating the GTT Actions Features
procedure to enable the desired feature.
Figure 4-66 Add a GTT Action Path Entry - Sheet 1 of 3

Figure 4-67 Add a GTT Action Path Entry - Sheet 2 of 3

Figure 4-68 Add a GTT Action Path Entry - Sheet 3 of 3

Removing a GTT Action Path Entry
This procedure is used to remove a GTT action path entry
from the database using the
dlt-gttapath command.
The
dlt-gttapath command uses this
parameter.
:gttpn – The name of
the GTT action path entry as shown in the
rtrv-gttapath output.
Figure 4-69 Remove a GTT Action Path Entry

Changing a GTT Action Path Entry
This procedure is used to change the attributes of a GTT
action path entry using the
chg-gttapath command.
The
chg-gttapath command uses these
parameters.
:gttpn – The current
name of the GTT action path entry shown in the
rtrv-gttapath output.
:ngttpn – The new name
of the GTT action path entry consisting of one alphabetic character followed by
up to four alphanumeric characters.
:cdgttsn – The name of
the GTT set whose
SETTYPE value is CDGTA.
:cdgta – The
GTA value in the GTA entry shown in
the
rtrv-gta output that is assigned to
the CDGTA GTT set.
:cggttsn – The name of
the GTT set whose
SETTYPE value is CGGTA.
:cggta – The
GTA value in the GTA entry shown in
the
rtrv-gta output that is assigned to
the CGGTA GTT set.
:opgttsn – The name of
the GTT set whose
SETTYPE value is OPCODE.
:opcode – The
OPCODE value in the GTA entry shown in
the
rtrv-gta output that is assigned to
the OPCODE GTT set.
acn – The
ACN value in the GTA entry shown in
the
rtrv-gta output that is assigned to
the OPCODE GTT set.
family – The
FAMILY value in the GTA entry shown in
the
rtrv-gta output that is assigned to
the OPCODE GTT set.
pkgtype – The
PKGTYPE value in the GTA entry shown
in the
rtrv-gta output that is assigned to
the OPCODE GTT set.
Figure 4-70 Change a GTT Action Path Entry - Sheet 1 of 3

Figure 4-71 Change a GTT Action Path Entry - Sheet 2 of 3

Figure 4-72 Change a GTT Action Path Entry - Sheet 3 of 3

Changing the Unique GTT Selector Option
This procedure is used to change the unique GTT selector
option using the
chg-sccpopts command with this
parameter.
:unqgttsel – This
parameter specifies whether a GTT selector search is performed on overlapped
GTT selectors. This parameter has two values.
bestmatch- Overlapped GTT selectors are searched if non-overlapped GTT selectors are not found.exactmatch- Only non-overlapped GTT selectors are searched.
Figure 4-73 Change the Unique GTT Selector Option
