3 Global Title Translation (GTT) Configuration
Chapter 3, Global Title Translation (GTT) Configuration, contains the procedures specific to configure the global title translation feature.
Introduction
This chapter describes the procedures needed to add, remove, or change global title translation (GTT) data in the database
The items configured in this section are:
- Translation types
- Global title translations.
The following items must also be configured for the Global Title Translation feature. The procedures to configure these items are located in the Global Title Translation (GTT) Overview section.
- Service modules
- Translation type mapping
- Concerned signaling point codes
- Mate applications
- Mated relay node groups
- GT Conversion Table Entries for the ANSI/ITU SCCP Conversion feature.
- Loopsets for the SCCP Loop Detection feature.
- GT modification identifiers for the Advanced GT Modification feature.
Note:
- Before turning the Global Title Translation (GTT)
feature on with the
chg-feat:gtt=oncommand, make sure you have purchased this feature. If you are not sure whether you have purchased the GTT feature, contact your Oracle Sales Representative or Account Representative. - To perform the procedures in this chapter, the GTT
feature must be on. The translation type (
ent-/dlt-/rtrv-tt) and the GTT (ent-/dlt-/chg-/rtrv-gtt) commands can be executed when the EGTT feature is turned on, but will only produce CDGTA GTT sets and CDGTA GTT selectors. For more details on the EGTT feature, refer to the Enhanced Global Title Translation (EGTT) Configuration section. - To find out about the differences between the Global Title Translation (GTT) feature and the Enhanced Global Title Translation (EGTT) feature, refer to the Upgrading from Global Title Translation (GTT) to Enhanced Global Title Translation (EGTT) section.
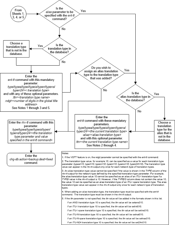
Adding a Translation Type
This procedure is used to add a translation type to the
database using the
ent-tt command.
The
ent-tt command uses these parameters.
:type/typea/typei/typeis/typen/typens/typen24 – The
translation type and network type of that translation type. The translation
type indicates which global title translation table is to be used to determine
the routing to a particular service database. The value of this parameter is
from 0 to 255.
:typeor ::typea– an ANSI network:typei– an ITU international network:typeis– an ITU international spare network:typen- a 14-bit ITU national network.:typens- a 14-bit ITU national spare network.:typen24– a 24-bit ITU national network.
:ttn
– The name of the global title translation type, containing
one alphabetic character and up to eight alphanumeric characters.
:ndgt – The number of
digits, 1 to 21 digits, contained in the global title translation.
:alias – The alias of
the global title translation type. The value of this parameter is from 0 to
255.
The translation type value, for example 10, can be
specified as a value for each translation type parameter (typea=10,
typei=10,
typeis=10,
typen=10,
typens=10,
typen24=10). The translation type
value can appear in the
rtrv-tt output only once for each
network type of translation types.
An alias translation type value cannot be specified if
the value is shown in the
TYPE column of the
rtrv-tt output for the network type
defined by the specified translation type parameter. For example, the alias
translation type value 10 cannot be specified as an alias of an ITU-I
translation type if a
TYPEI value in the
rtrv-tt output is 10. However, if the
TYPEIS column does not contain the
value 10, the value 10 can be specified as an alias translation type of an
ITU-I spare translation type. The alias translation type value can appear in
the
rtrv-tt output only once for each
network type of translation types.
When adding an alias translation type, the translation
type must be specified with the
ent-tt command. The translation type
must be shown in the
rtrv-tt output.
Either the
ndgt parameter or the
alias parameter can be specified with
the
ent-tt command, but not both at the
same time.
The translation type name value specified with the
ent-tt command cannot be shown in the
rtrv-tt output.
type/typea parameter is specified with the
ent-tt command, the
NETDOM value of the GTT set is ANSI.
If the
typei,
typeis,
typen,
typens, or
typen24 parameter is specified with
the
ent-tt command, the
NETDOM value of the GTT set is ITU.
The
ttn parameter value of the
ent-tt command defines the name of the
GTT set. if the
ttn parameter is not specified with
the
ent-tt command, a default name for the
GTT set is created. These are examples of the default GTT set names.
- If the ANSI translation type 10 is added, the GTT set name is setans010.
- If the ITU-I translation type 20 is added, the GTT set name is setint020.
- If the ITU-I spare translation type 5 is added, the GTT set name is setins005.
- If the ITU-N translation type 100 is added, the GTT set name is setnat100.
- If the ITU-N spare translation type 30 is added, the GTT set name is setnas030.
- If the ITU-N24 translation type 40 is added, the GTT set name is set24n040.
- NP -
dflt- for ITU GTT selectors only. ANSI GTT selectors can only contain dashes in this column. - NAI -
dflt- for ITU GTT selectors only. ANSI GTT selectors can only contain dashes in this column. - CGSSN - dashes
- SELID -
none - LSN -
any
If a GTT set is in the database with the same name as the ttn parameter value or the default GTT set name, the translation type will not be added to the database.
The global title translation feature must be turned on.
Verify this by entering the
rtrv-feat command. If the global title
translation feature is off, it can be turned on by entering the
chg-feat:gtt=on command.
Note:
Once the Global Title Translation (GTT) feature is turned on with thechg-feat command, it cannot be turned
off.
The GTT feature must be purchased before turning it on. If you are not sure whether you have purchased the GTT feature, contact your Sales Representative or Account Representative.
If the Variable-length Global Title Translation Feature
(VGTT) is on, shown by the entry
VGTT = on in the
rtrv-feat command output, or the
Support for 16 GTT Lengths in VGTT feature is enabled and turned on, shown by
the entry
VGTT with 16 Lengths in the
rtrv-ctrl-feat output, the
ndgt parameter cannot be specified
with the
ent-tt command. The length of the
global title address is determined when the global title address is entered
with the
ent-gtt command. If only the VGTT
feature is on, the translation type can contain a maximum of ten different
lengths of global title addresses. If the Support for 16 GTT Lengths in VGTT
feature is enabled and turned on, the translation type can contain a maximum of
16 different lengths of global title addresses. For more information on the
VGTT feature, the Support for 16 GTT Lengths in VGTT feature, and the length of
global title addresses, refer to
Variable-length Global Title Translation Feature
and
Adding a Global Title Translation.
If the Variable-length Global Title Translation Feature
(VGTT) is on, the
NDGT field of the
rtrv-tt command shows the different
lengths of global title addresses assigned to a translation type, as shown in
the following example.
rlghncxa03w 10-07-25 09:57:31 GMT EAGLE5 42.0.0
TYPEA TTN NDGT
1 lidb 6, 12, 15
2 c800 10
3 d700 6
ALIAS TYPEA
50 3
65 3
TYPEI TTN NDGT
105 itudb 8
ALIAS TYPEI
7 105
TYPEN TTN NDGT
120 dbitu 7
ALIAS TYPEN
8 120
TYPEIS TTN NDGT
ALIAS TYPEIS
TYPENS TTN NDGT
ALIAS TYPENS
In this example of the
rtrv-tt command output, the ANSI
translation type 1 contains three different length global title addresses;
global title addresses containing six digits, 12 digits, and 15 digits.
If the Variable-length Global Title Translation Feature
(VGTT) feature is off and you wish to turn it on, enter the
chg-feat:vgtt=on command. The GTT
feature must be on before the
vgtt=on parameter can be specified
with the
chg-feat command.
Note:
Once the Variable-length Global Title Translation (VGTT) feature is turned on with thechg-feat command, it cannot be
disabled.
The VGTT feature must be purchased before turning it on. If you are not sure whether you have purchased the VGTT feature, contact your Sales Representative or Account Representative.
Figure 3-1 Add a Translation Type - Sheet 1 of 6

Figure 3-2 Add a Translation Type - Sheet 2 of 6

Figure 3-3 Add a Translation Type - Sheet 3 of 6

Figure 3-4 Add a Translation Type - Sheet 4 of 6

Figure 3-5 Add a Translation Type - Sheet 5 of 6

Figure 3-6 Add a Translation Type - Sheet 6 of 6

Removing a Translation Type
This procedure is used to remove a translation type from
the database using the
dlt-tt command.
The
dlt-tt command uses these parameters.
:type/typea/typei/typeis/typen/typens/typen24 – The
translation type and network type of that translation type. The translation
type indicates which global title translation table is to be used to determine
the routing to a particular service database.
:typeor:typea– an ANSI network:typei– an ITU international network:typeis– an ITU international spare network:typen– a 14-bit ITU national network.:typens– a 14-bit ITU national spare network.:typen24– a 24-bit ITU national network.
:ttn
– The name of the global title translation type
:alias – The alias of the
global title translation type
The examples in this procedure are used to remove the
translation type
3 from the database.
The translation type, translation type name, or alias
specified with the
dlt-tt command must be shown in the
rtrv-tt output, and must be assigned to
the specified translation type
The translation type cannot be removed if the global
title translation tables reference the translation type. Verify that the global
title translation tables do not reference the translation type using the
rtrv-gtt command.
If the
rtrv-gtt command shows references to
the translation type to be removed, go to the
Removing a Global Title Translation
procedure and remove the global title translation data associated with the
translation type.
If the translation type is referenced by an alias, all
aliases to the translation type must be removed first. To remove the alias, the
alias and translation type must be specified in the
dlt-tt command.
- The
dlt-ttcommand removes the GTT selectors defined by the translation type that is specified with thedlt-ttcommand. if thettnandttparameters are specified with thedlt-ttcommand, the GTT selectors that are associated with the GTT set name that is defined by thettnparameter value are removed. When the last GTT selector that is associated with a GTT set is removed with thedlt-ttcommand, the GTT set is removed. The GTT selectors are shown in thertrv-gttseloutput and the GTT sets are shown in thertrv-gttsetoutput. - The GTT set that is associated with GTT selectors
that are being removed can not be referenced by any GTA entry, shown in the
rtrv-gtaoutput, and cannot be referenced in any other GTT selector. - The GTT selectors that can be removed using the
dlt-ttcommand can be associated only with CDGTA GTT sets. - To remove an ITU GTT selector is removed using the
dlt-ttcommand, there must be entries in the database that contain the global title indicator values 2 and 4, along with the specified translation type value, and the translation type name value (this is the GTT set name) if thettnparameter is specified. To remove a GTT selector using thedlt-ttcommand, these columns of the GTT selector entries must contain these values.- NP -
dflt- for ITU GTT selectors only. ANSI GTT selectors can only contain dashes in this column. - NAI -
dflt- for ITU GTT selectors only. ANSI GTT selectors can only contain dashes in this column. - CGSSN - dashes
- SELID -
none - LSN -
any
- NP -
Canceling the
RTRV-GTT Command
Because the
rtrv-gtt command used in this procedure
can output information for a long period of time, the
rtrv-gtt command can be canceled and
the output to the terminal stopped. There are three ways that the
rtrv-gtt command can be canceled.
- Press the
F9function key on the keyboard at the terminal where thertrv-gttcommand was entered. - Enter the
canc-cmdwithout thetrmparameter at the terminal where thertrv-gttcommand was entered. - Enter the
canc-cmd:trm=<xx>, where<xx>is the terminal where thertrv-gttcommand was entered, from another terminal other that the terminal where thertrv-gttcommand was entered. To enter thecanc-cmd:trm=<xx>command, the terminal must allow Security Administration commands to be entered from it and the user must be allowed to enter Security Administration commands. The terminal’s permissions can be verified with thertrv-secu-trmcommand. The user’s permissions can be verified with thertrv-userorrtrv-secu-usercommands.
For more information about the
canc-cmd command, go to
Commands User's Guide.
Figure 3-7 Remove a Translation Type - Sheet 1 of 4

Figure 3-8 Remove a Translation Type - Sheet 2 of 4

Figure 3-9 Remove a Translation Type - Sheet 3 of 4

Figure 3-10 Remove a Translation Type - Sheet 4 of 4

Adding a Global Title Translation
This procedure is used to add a global title translation
to the database using the
ent-gtt command.
The
ent-gtt command uses these parameters.
:gta – Global title
start address – along with the
egta parameter, identifies all valid
global titles for the given translation type to translate to the given
pc or
ssn parameters. These are the non-SS7
addresses transmitted to the STP for translation.
:type/typea/typei/typeis/typen/typens/typen24 – The
translation type and network type of the translation type that is being
assigned to the global title translation. The value of this parameter is shown
in the
rtrv-tt output and provisioned in the
Adding a Translation Type
procedure.
:ttn - the translation
type name associated with the
:type/typea/typei/typeis/typen/typens/typen24 parameter
value. The value of this parameter is shown in the rtrv-tt output and
provisioned in the
Adding a Translation Type
procedure.
:egta – Global title
end address – along with the
gta parameter, identifies all valid
global titles for the given translation type to translate to the given
pc or
ssn parameters. These are the non-SS7
addresses transmitted to the STP for translation.
:force – the mated
application override. Is the global title translation to be entered without a
mated application in the database?
:xlat – Translate
indicator – defines the type of global title translation that is to be
performed.
:ri – Route indicator –
indicates whether a subsequent global title translation is required.
:pc/pca/pci/pcn/pcn24 –
The point code of the signaling point that is to receive the message.
Note:
See Chapter 2, "Configuring Destination Tables," in Database Administration - SS7 User's Guide for a definition of the point code types that are used on the EAGLE and for a definition of the different formats that can be used for ITU national point codes.:ssn – Subsystem number
– identifies the subsystem address that is to receive the message.
:gtmodid - the name of
the GT modification identifier shown in the
rtrv-gtmod output and provisioned in
the
Adding Global Title Modification Information
procedure. The GT modification identifier contains the information to modify
the numbering plan, nature of address indicator, and the prefix or suffix
digits in the called party address or calling party address portion of outbound
MSUs.
:mrnset – The MRN set
ID, shown in the
rtrv-mrn command. This parameter can
be specified only, and must be specified, if the Flexible GTT Load Sharing
feature is enabled and if the
ri=gt parameter is specified for the
global title translation. If the Flexible GTT Load Sharing feature is enabled,
the point code specified for the global title translation must be assigned to
the MRN set specified by this parameter. The status of the Flexible GTT Load
Sharing feature is shown in the
rtrv-ctrl-feat output. To enable the
Flexible GTT Load Sharing feature, perform the
Activating the Flexible GTT Load Sharing Feature
procedure.
:mapset – The MAP set
ID, shown in the
rtrv-map command. This parameter can
be specified only, and must be specified, if the Flexible GTT Load Sharing
feature is enabled and if the
ri=ssn parameter is specified for the
global title translation. If the Flexible GTT Load Sharing feature is enabled,
the point code and SSN specified for the global title translation must be
assigned to the MAP set specified by this parameter. The status of the Flexible
GTT Load Sharing feature is shown in the
rtrv-ctrl-feat output. To enable the
Flexible GTT Load Sharing feature, perform the
Activating the Flexible GTT Load Sharing Feature
procedure.
:loopset - The value of
this parameter is the name of the loopset that is assigned to the GTT. This
parameter can be specified only if the SCCP Loop Detection feature is enabled.
Enter the
rtrv-loopset command to verify that
the SCCP Loop Detection feature is enabled. Perform the
Activating the SCCP Loop Detection Feature
procedure, if necessary. By default, the value of the
loopset parameter is “none” because no
loopset is assigned to the GTT.
:cggtmod - The calling
party GT modification indicator. This parameter specifies whether or not
calling party global title modification is required. The values for this
parameter are
yes (calling party global title
modification is required) or
no (calling party global title
modification is not required). This parameter can be specified only if the
AMGTT or AMGTT CgPA Upgrade feature is enabled. Enter the
rtrv-ctrl-feat command to verify that
either the AMGTT or AMGTT CgPA Upgrade feature is enabled. If the AMGTT or
AMGTT CgPA Upgrade feature is not enabled, perform the
Activating the Advanced GT Modification Feature
procedure to enable the required feature.
Note:
The command line on the terminal can contain up to 150 characters. If the parameters and values specified with theent-gtt command are too long to fit on
the
ent-gtt command line, perform the
Changing a Global Title Translation
section to complete adding the GTT entry.
The
XLAT parameter does not have a SEAS
equivalent. When global title translations are configured at the SEAS
interface, the values for the SEAS parameters
RI,
DPC, and
SSN, all mandatory parameters for the
SEAS
ADD-GTT and
CHG-GTT commands, are converted to the
EAGLE parameters and values shown in the
Table 3-3
procedure.
Table 3-3 SEAS and Global Title Translation Parameter Conversion
| SEAS GTT Parameters | GTT Parameters | |||||
|---|---|---|---|---|---|---|
| RI | DPC | SSN | XLAT | RI | PC/PCA | SSN |
| G | xxx-xxx-xxx | 000 | DPC | GT | xxx-xxx-xxx | Not Specified |
| D | xxx-xxx-xxx | 002-255 | DPCSSN | SSN | xxx-xxx-xxx | 002-255 |
| G | xxx-xxx-xxx | 002-255 | DPCSSN | GT | xxx-xxx-xxx | 002-255 |
| D | xxx-xxx-xxx | 000 | DPC | SSN | xxx-xxx-xxx | Not Specified |
|
Notes:
|
||||||
The global title translation data cannot be added to the database if the translation type is defined as an alias and if the global title translation data is already assigned to that translation type.
If the translate indicator is equal to
dpc (xlat=dpc) and the routing indicator is equal to
ssn (ri=ssn), and the
force=yes parameter is not specified,
the point code specified in the
ent-gtt command must be defined in the
database as a mated application. Verify this by entering the
rtrv-map command. If this point code
is not defined as a mated application, perform one of these procedures to add
the point code and subsystem number to the database as a mated application:
- Provisioning a Solitary Mated Application
- Provisioning a Dominant Mated Application
- Provisioning a Load Shared Mated Application
- Provisioning a Combined Dominant/Load Shared Mated Application
The point code and subsystem number do not have to be in
the mated application table when the
ent-gtt command is executed if these
parameters are specified with the
ent-gtt command.
-
ri=gt -
xlat=dpcssnandri=ssn
If the point code and subsystem, if applicable, are not
in the mated application table when either of these parameters are specified
with the
ent-gtt command, the EAGLE creates a
solitary mated application in the mated application table using the point code
and subsystem values specified in the
ent-gtt command.
If the
xlat=dpcssn parameter is specified,
the
ssn parameter must be specified.
Otherwise, the
ssn parameter cannot be specified.
If a point code is the STP’s True PC, then the value of
the
XLAT parameter must be set to
DPCSSN and the value of the
RI parameter must be set to
SSN. If the
SSN parameter is specified and a point
code is the STP’s True PC, then the subsystem number specified must exist in
the SS-APPL table. This can be verified with the
rtrv-ss-appl command. To execute the
rtrv-ss-appl command, one or more
features shown in
Table 3-4
must be enabled, and turned on if necessary. The
rtrv-ctrl-feat output shows the
required status of the features.
Table 3-4 Feature Status
| Feature | Feature's Status | Entry Displayed in the rtrv-ctrl-feat Output |
|---|---|---|
| LNP | Enabled | The entry LNP TNs with a quantity greater than zero (0) |
| EIR | Enabled and Turned On | EIR |
| INP | Enabled and Turned On | INP |
| ANSI-41 INP Query | Enabled and Turned On | ANSI-41 INP Query |
| V-Flex | Enabled and Turned On | VFLEX |
| ATINP | Enabled | ATINP |
| ANSI41 AIQ | Enabled | ANSI41 AIQ |
The point code specified in the
ent-gtt command must be defined in the
routing table or be the EAGLE’s point code. For ANSI point codes (pc/pca), the point
code specified in the
ent-gtt command, must be a full point
code. That point code can be defined as a full point code in the destination
point code table, or can be a member of a cluster point code defined in the
destination point code table. Cluster point codes or a network routing point
codes cannot be specified with this command. Enter the
rtrv-rte command to verify that the
point code is in the routing table. If the point code is not defined as a
route, perform one of the Adding a Route procedures in
Database Administration – SS7 User's Guide
to define the point code as a route.
If the EAGLE’s point code is specified with the
ent-gtt command, then the
xlat=dpcssn and
ri=ssn parameters must be specified.
The EAGLE’s point code is shown in the
PCA,
PCI,
PCN, or
PCN24 fields of the
rtrv-sid command output.
If the
xlat=dpcngt parameter is specified,
the
ngt parameter and the
ri=gt parameters must be specified.
An ANSI point code or ITU international point code containing all zeros is not a valid point code and cannot be entered into the database. An ITU national point code containing all zeros is a valid point code and can be entered into the database.
Either the
type parameter or the
ttn parameter must be specified.
If the
type parameter is specified, the
translation type must be in the database. This can be verified with the
rtrv-tt command.
If the
type parameter is not specified, the
translation type name must be assigned to a translation type in the database.
This can be verified with the
rtrv-tt command.
If the
type and
ttn parameters are specified, the
specified translation type must be in the database and the specified
translation type name must be assigned to the translation type.
If the translation type is ANSI (type or
typea), the
pc type must be ANSI (pc or
pca). If the translation type is one
of the ITU types (typei,
typen,typeis,
typens, or
typen24) the
pc type may be either of the ITU types
(pci,
pcn, or
pcn24). If the ANSI/ITU SCCP
Conversion feature is enabled, the domain (ANSI or ITU) of the translation type
and point code do not have to be the same.
The end global title address (egta) must be greater than or equal to the start global
title address (gta) and its length must be
equal to the start global title address.
If the Variable-Length Global Title Translation (VGTT)
feature is off, shown the entry
VGTT = off, the global title address
length must be equal to the number of digits specified by the given translation
type. The length of the global title address can be verified with the
rtrv-tt command.
If the Variable-Length Global Title Translation (VGTT)
feature is on, shown the entry
VGTT = on, up to 10 different length
global title addresses can be assigned to a translation type. If the Activating
the Support for 16 GTT Lengths in VGTT feature is enabled and on, shown the
entry
VGTT with 16 GTT lengths in the
rtrv-ctrl-feat output, up to 16
different length global title addresses can be assigned to a translation type.
The length of the global title address is only limited by the range of values
for the
gta and
egta parameters, one to 21 digits, and
by the global title addresses already assigned to the translation type. The
ndgt parameter of the
ent-tt command has no effect on the
length of the global title address. As global title addresses of different
lengths are assigned to a specific translation type, these lengths are
displayed in the
NDGT field of the
rtrv-tt command output.
If the translation type has maximum number of different
length global title addresses assigned to it, and another global title address
is specified for the translation type, the length of the global title address
being added to the translation type must be the same as one of the lengths
already assigned to the translation type. If the length of the global title
address does not match one of the lengths already assigned to the translation
type, the
ent-gtt command is rejected with this
message.
E4007 Cmd Rej: Exceeding max GTA
Lengths supported per TT
If the translation type has less than the maximum number of different length global title addresses assigned to it, and another global title address is specified for the translation type, the length of the global title address can be from one to 21 digits and does not have to match the length of the other global title addresses assigned to the translation type.
Refer to Variable-length Global Title Translation Feature for more information about this feature.
The range, as specified by the start and end global
title addresses, cannot already exist in the global title translation data for
the specified translation type. If the ranges overlap, the range of global
title addresses cannot be split and the
ent-gtt command is rejected with this
message.
E2401 Cmd Rej:GTA range overlaps a current
range. GTA range overlaps a current range
Along with error message 2401, a list of the overlapped global title addresses is displayed as shown in the following example.
rlghncxa03w 07-02-24 08:29:15 GMT EAGLE5 35.6.0
The following GTA ranges overlap the input GTA range
START GTA END GTA
8005550000 8005551999
8005552000 8005553999
8005554000 8005555999
ENT-GTT: MASP A - Command Aborted
Table 3-5 shows the valid combinations for the parameters. All other combinations are rejected.
Table 3-5 Valid Parameter Combinations for the
ent-gtt Routing Parameters
| XLAT Value | RI Value | Routing Action | SSN Value |
|---|---|---|---|
| DPC | GT | Translate DPC only and route on GT | Cannot specify |
| DPC | SSN | Translate DPC only and route on SSN | Cannot specify |
| DPCSSN | GT | Translate DPC and SSN and route on GT | Must specify |
| DPCSSN | SSN | Translate DPC and SSN and route on SSN | Must specify |
| DPCNGT | GT | Translate New GT and route on GT | Cannot specify |
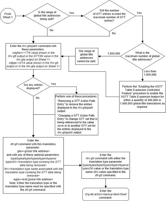
The EAGLE can contain 269,999, 400,000, or 1,000,000 global title translations. The system default is 269,999 global title translations. This quantity can be increased to 400,000 by enabling the feature access key for part number 893-0061-01, or to 1,000,000 by enabling the feature access key for part number 893-0061-10. For more information on enabling these feature access keys, perform the Enabling the XGTT Table Expansion Feature procedure.
Canceling the
RTRV-GTT Command
Because the
rtrv-gtt command used in this
procedure can output information for a long period of time, the
rtrv-gtt command can be canceled and
the output to the terminal stopped. There are three ways that the
rtrv-gtt command can be canceled.
- Press the
F9function key on the keyboard at the terminal where thertrv-gttcommand was entered. - Enter the
canc-cmdwithout thetrmparameter at the terminal where thertrv-gttcommand was entered. - Enter the
canc-cmd:trm=<xx>, where<xx>is the terminal where thertrv-gttcommand was entered, from another terminal other that the terminal where thertrv-gttcommand was entered. To enter thecanc-cmd:trm=<xx>command, the terminal must allow Security Administration commands to be entered from it and the user must be allowed to enter Security Administration commands. The terminal’s permissions can be verified with thertrv-secu-trmcommand. The user’s permissions can be verified with thertrv-userorrtrv-secu-usercommands.
For more information about the
canc-cmd command, go to
Commands User's Guide.
Figure 3-11 Add a Global Title Translation - Sheet 1 of 10

Figure 3-12 Add a Global Title Translation - Sheet 2 of 10

Figure 3-13 Add a Global Title Translation - Sheet 3 of 10

Figure 3-14 Add a Global Title Translation - Sheet 4 of 10

Figure 3-15 Add a Global Title Translation - Sheet 5 of 10

Figure 3-16 Add a Global Title Translation - Sheet 6 of 10

Figure 3-17 Add a Global Title Translation - Sheet 7 of 10

Figure 3-18 Add a Global Title Translation - Sheet 8 of 10

Figure 3-19 Add a Global Title Translation - Sheet 9 of 10

Figure 3-20 Add a Global Title Translation - Sheet 10 of 10

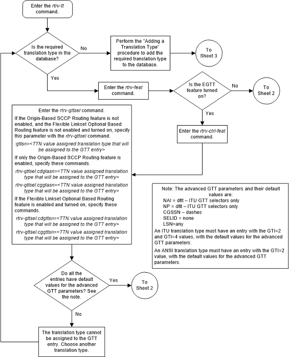
Removing a Global Title Translation
This procedure is used to remove a global title
translation from the database using the
dlt-gtt command.
The
dlt-gtt command uses these parameters.
:gta – Global title start
address – along with the
egta parameter, identifies all valid
global titles for the given translation type to translate to the given
pc or
ssn parameters. These are the non-SS7
addresses transmitted to the EAGLE for translation.
:egta – Global title end
address – along with the
gta parameter, identifies all valid
global titles for the given translation type to translate to the given
pc or
ssn parameters. These are the non-SS7
addresses transmitted to the EAGLE for translation.
:type/typea/typei/typeis/typen/typens/typen24 – The
translation type and network type of that translation type.
:typeor:typea– an ANSI network:typei– an ITU international network:typeis– an ITU international spare network:typen– a 14-bit ITU national network.:typens– a 14-bit ITU national spare network.:typen24– a 24-bit ITU national network.
:ttn – The name of the
global title translation type
If the translation type is defined as an alias, it cannot
be used in the
dlt-gtt command.
If the end of the global title address (egta) parameter is specified, the GTA and EGTA must
have the same number of digits, but the EGTA must be larger than the GTA. The
range, as specified by the start and end global title addresses, must be in the
database for the specified translation type. Each range may be contained
completely within a previously defined range, in which case splitting is
performed. However, if the ranges overlap, splitting cannot occur, and the
dlt-gtt command is rejected with this
message.
The range of global title addresses, as specified by the
start and end global title addresses, must be in the database for the specified
translation type. The
gta and
egta parameter values must have the
same number of digits, but the
egta parameter value must be larger
than the
gta parameter value. Each range may be
contained completely within a previously defined range, in which case splitting
is performed. However, if the ranges overlap, splitting cannot occur, and the
dlt-gtt command is rejected with this
message.
E2401 Cmd Rej:GTA range overlaps a current
range
Along with error message 2401, a list of the overlapped global title addresses is displayed as shown in the following example.
rlghncxa03w 07-05-24 08:29:15 GMT EAGLE5 37.0.0
The following GTA ranges overlap the input GTA range
START GTA END GTA
8005550000 8005551999
8005552000 8005553999
8005554000 8005555999
DLT-GTT: MASP A - Command Aborted
For a range of global title addresses to be split, the
new entry created by the split cannot increase the number of entries in the GTT
table beyond the quantity shown in the
rtrv-gtt output.
The length of the global title addresses specified by the
gta or
egta parameters must match the length
of any existing global title addresses assigned to the specific translation
type. The lengths are shown in the
START GTA and
END GTA fields of the
rtrv-gtt command output, or in the
NDGT field of the
rtrv-tt command output. If the length
of the global title address does not match one of the lengths already assigned
to the translation type, the
dlt-gtt command is rejected with this
message.
E2960 Cmd Rej: The GTA length is not defined for
the specified TT
When the VGTT feature is on, up to 10 different length
global title addresses can be assigned to a translation type. If the Support
for 16 GTT Lengths in VGTT feature is enabled and turned on, up to 16 different
length global title addresses can be assigned to a translation type. The length
of the global title address is only limited by the range of values for the
gta and
egta parameters of the
ent-gtt and
chg-gtt commands, one to 21 digits, and
by the global title addresses already assigned to the translation type. The
ndgt parameter of the
ent-tt command has no effect on the
length of the global title address and cannot be used. If the
ndgt parameter is specified with the
ent-tt command and the VGTT feature is
on, the
ent-tt command is rejected with this
message.
E4011 Cmd Rej: NDGT parameter is invalid for
VGTT
If the Variable-length Global Title Translation Feature
(VGTT) is on, or the Support for 16 GTT Lengths in VGTT feature is enabled and
turned on, the
NDGT field of the
rtrv-tt command shows the different
lengths of global title addresses assigned to a translation type, as shown in
the following example.
rlghncxa03w 10-07-25 09:57:31 GMT EAGLE5 42.0.0
TYPEA TTN NDGT
1 lidb 6, 12, 15
2 c800 10
3 d700 6
ALIAS TYPEA
50 3
65 3
TYPEI TTN NDGT
105 itudb 8
ALIAS TYPEI
7 105
TYPEN TTN NDGT
120 dbitu 7
ALIAS TYPEN
8 120
TYPEN24 TTN NDGT
ALIAS TYPEN24
TYPEIS TTN NDGT
ALIAS TYPEIS
TYPENS TTN NDGT
ALIAS TYPENS
In this example of the
rtrv-tt command output, the ANSI
translation type 1 contains three different length global title addresses;
global title addresses containing six digits, 12 digits, and 15 digits.
When the VGTT feature is on, or the Support for 16 GTT
Lengths in VGTT feature is enabled and turned on, and the last global title
address of a particular length is deleted for the specified translation type,
then that length is no longer supported. That length is not displayed in the
NDGT field of the
rtrv-tt command output. For example, if
the last 6-digit global title address is deleted from ANSI translation type 1
(from the previous example), the
NDGT field of the
rtrv-tt command shows only the numbers
12 and 15 in the
NDGT field indicating that ANSI
translation type 1 contains only 12- and 15-digit global title addresses.
Canceling the
RTRV-GTT Command
Because the
rtrv-gtt command used in this procedure
can output information for a long period of time, the
rtrv-gtt command can be canceled and
the output to the terminal stopped. There are three ways that the
rtrv-gtt command can be canceled.
-
Press the
F9function key on the keyboard at the terminal where thertrv-gttcommand was entered. -
Enter the
canc-cmdwithout thetrmparameter at the terminal where thertrv-gttcommand was entered. -
Enter the
canc-cmd:trm=<xx>, where<xx>is the terminal where thertrv-gttcommand was entered, from another terminal other that the terminal where thertrv-gttcommand was entered. To enter thecanc-cmd:trm=<xx>command, the terminal must allow Security Administration commands to be entered from it and the user must be allowed to enter Security Administration commands. The terminal’s permissions can be verified with thertrv-secu-trmcommand. The user’s permissions can be verified with thertrv-userorrtrv-secu-usercommands.
For more information about the
canc-cmd command, go to
Commands User's Guide.
Figure 3-21 Remove a Global Title Translation - Sheet 1 of 2

Figure 3-22 Remove a Global Title Translation - Sheet 2 of 2

Changing a Global Title Translation
This procedure is used to change the routing objects for
messages requiring global title translation in the database using the
chg-gtt command.
The
chg-gtt command uses these parameters.
:gta – Global title start
address – along with the
egta parameter, identifies all valid
global titles for the given translation type to translate to the given
pc or
ssn parameters. These are the non-SS7
addresses transmitted to the STP for translation.
:type/typea/typei/typeis/typen/typens/typen24 – The
translation type and network type of the translation type that is being
assigned to the global title translation. The value of this parameter is shown
in the
rtrv-tt output and provisioned in the
Adding a Translation Type
procedure.
:ttn – The name of the
global title translation type
:egta – Global title end
address. This parameter, along with the
gta parameter, identifies all valid
global titles for the given translation type to translate to the given
pc or
ssn parameters. These are the non-SS7
addresses transmitted to the STP for translation.
:xlat – Translate
indicator – defines the type of global title translation that is to be
performed.
:ri – Route indicator –
indicates whether a subsequent global title translation is required.
:pc/pca/pci/pcn/pcn24 –
The point code of the signaling point that is to receive the message.
Note:
See Chapter 2, Configuring Destination Tables, in Database Administration - SS7 User's Guide for a definition of the point code types that are used on the EAGLE and for a definition of the different formats that can be used for ITU national point codes.:ssn – Subsystem number –
identifies the subsystem address that is to receive the message.
:gtmodid - the name of
the GT modification identifier shown in the
rtrv-gtmod output and provisioned in
the
Adding Global Title Modification Information
procedure. The GT modification identifier contains the information to modify
the numbering plan, nature of address indicator, and the prefix or suffix
digits in the called party address or calling party address portion of outbound
MSUs.
:mrnset – The MRN set ID,
shown in the
rtrv-mrn command. The
mrnset parameter can be specified only
if the Flexible GTT Load Sharing feature is enabled. If the Flexible GTT Load
Sharing feature is enabled and the
ri parameter value will be
ri=gt when this procedure is completed,
and the original global title translation being changed in this procedure did
not have an MRN set ID assigned to it, the
mrnset parameter must be specified with
the
chg-gtt command. The MRN set ID
assigned to the global title translation in this step must contain the point
code value that will be assigned to the global title translation being changed
in this step.
:mapset – The MAP set ID,
shown in the
rtrv-mrn command. The
mapset parameter can be specified only
if the Flexible GTT Load Sharing feature is enabled. If the Flexible GTT Load
Sharing feature is enabled and the
ri parameter value will be
ri=ssn when this procedure is
completed, and the original global title translation being changed in this
procedure did not have an MAP set ID assigned to it, the
mapset parameter must be specified with
the
chg-gtt command. The MAP set ID
assigned to the global title translation in this step must contain the point
code and SSN values that will be assigned to the global title translation being
changed in this step.
The status of the Flexible GTT Load Sharing feature is
shown in the
rtrv-ctrl-feat output. To enable the
Flexible GTT Load Sharing feature, perform the
Activating the Flexible GTT Load Sharing Feature
procedure.
:loopset - The value of
this parameter is the name of the loopset that is assigned to the GTT. This
parameter can be specified only if the SCCP Loop Detection feature is enabled.
Enter the
rtrv-loopset command to verify that
the SCCP Loop Detection feature is enabled. Perform the
Activating the SCCP Loop Detection Feature
procedure, if necessary.
:cggtmod - The calling
party GT modification indicator. This parameter specifies whether or not
calling party global title modification is required. The values for this
parameter are
yes (calling party global title
modification is required) or
no (calling party global title
modification is not required). This parameter can be specified only if the
AMGTT or AMGTT CgPA Upgrade feature is enabled. Enter the
rtrv-ctrl-feat command to verify that
either the AMGTT or AMGTT CgPA Upgrade feature is enabled. If the AMGTT or
AMGTT CgPA Upgrade feature is not enabled, perform the
Activating the Advanced GT Modification Feature
procedure to enable the required feature.
:split – Split or change
the range of global title addresses. If the
split=yes parameter is specified, the
existing range of global title addresses is split based on the values of the
gta and
egta parameters. New entries are
created in the global title translation table for each new range created by the
split parameter. The attributes of each
new entry, other than the range of global title addresses, are the same as the
original global title translation entry, if these values are not changed when
the
chg-gtt command is executed. If other
attributes are changed when the
chg-gtt command is executed, the
changed values are in each new entry created by the
split parameter.
If the
split=no parameter is specified, the
range of global title addresses is replaced with the new range of global title
addresses specified by the
gta and
egta parameters.
The default value for the
split parameter is
yes.
Caution:
Changes to the range of global title addresses occur only if the both thegta and
egta parameters are specified and the
values for either of these parameters, or both parameters are different from
the original values in the global title translation. If the
gta and
egta parameters are specified for the
global title translation being changed, and you do not wish to change either of
these values, make sure the
gta and
egta values shown in the
rtrv-gtt output for the global title
translation being changed are specified in the
chg-gtt command.
The following examples illustrate how the
split parameter works and ranges of
global title addresses can be changed.
A global title translation entry in the database contains this range of global title addresses, 5556000 - 5558000.
rlghncxa03w 10-07-25 09:45:31 GMT EAGLE5 42.0.0
TYPEA TTN NDGT
15 tst1 7
GTT TABLE IS (27000 of 269999) 10 % FULL
START GTA END GTA XLAT RI PC
5556000 5558000 DPCSSN GT 003-003-003
MRNSET=114 SSN=254 GTMODID=--------- CGGTMOD = NO
Command Retrieved 1 Entries
The global title translation is changed with a new range
of global title addresses, 5556800 - 5559000, and with the
split=no parameter.
chg-gtt:ttn=tst1:gta=5556800:egta=5559000:split=no
The range of global title addresses is changed to 5556800 - 5559000.
rlghncxa03w 10-07-25 09:45:31 GMT EAGLE5 42.0.0
TYPEA TTN NDGT
15 tst1 7
GTT TABLE IS (27000 of 269999) 10 % FULL
START GTA END GTA XLAT RI PC
5556800 5559000 DPCSSN GT 003-003-003
MRNSET=114 SSN=254 GTMODID=--------- CGGTMOD = NO
Command Retrieved 1 Entries
In this example, the range of global title addresses is
made smaller by specifying the range of global title addresses 5556500 -
5557500, and with the
split=no parameter.
chg-gtt:ttn=tst1:gta=5556500:egta=5557500:split=no
rlghncxa03w 10-07-25 09:45:31 GMT EAGLE5 42.0.0
TYPEA TTN NDGT
15 tst1 7
GTT TABLE IS (27000 of 269999) 10 % FULL
START GTA END GTA XLAT RI PC
5556500 5557500 DPCSSN GT 003-003-003
MRNSET=114 SSN=254 GTMODID=--------- CGGTMOD = NO
Command Retrieved 1 Entries
In this next example, the range of global title addresses
is split with the
gta=5556900 and
egta=5557000 defining where the splits
occur.
chg-gtt:ttn=tst1:gta=5556900:egta=5557000
Since the default value for the
split parameter is
yes, the
split=yes parameter does not have to be
specified to split the range of global title addresses. When the
chg-gtt command is entered, three new
global title translation entries with the new global title address ranges are
created, and the original global title translation entry is removed from the
database. Since the
gta and
egta parameter values specified in this
example are within the original range of global title addresses, the original
range of global title addresses is split into three new ranges. The
START GTA value of the first new range
is the original
START GTA value and the
END GTA value is the
gta parameter value minus one. The
START GTA value of the second new range
is the
gta parameter value and the
END GTA value is the
egta parameter value. The
START GTA value of the third new range
is the
egta parameter value plus 1 and the
END GTA value is the original
END GTA value.
rlghncxa03w 10-07-25 09:45:31 GMT EAGLE5 42.0.0
TYPEA TTN NDGT
15 tst1 7
GTT TABLE IS (27000 of 269999) 10 % FULL
START GTA END GTA XLAT RI PC
5556000 5556899 DPCSSN GT 003-003-003
MRNSET=114 SSN=254 GTMODID=--------- CGGTMOD = NO
Command Retrieved 1 Entries
rlghncxa03w 10-07-25 09:45:31 GMT EAGLE5 42.0.0
TYPEA TTN NDGT
15 tst1 7
GTT TABLE IS (27000 of 269999) 10 % FULL
START GTA END GTA XLAT RI PC
5556900 5557000 DPCSSN GT 003-003-003
MRNSET=114 SSN=254 GTMODID=--------- CGGTMOD = NO
Command Retrieved 1 Entries
rlghncxa03w 10-07-25 09:45:31 GMT EAGLE5 42.0.0
TYPEA TTN NDGT
15 tst1 7
GTT TABLE IS (27000 of 269999) 10 % FULL
START GTA END GTA XLAT RI PC
5557001 5558000 DPCSSN GT 003-003-003
MRNSET=114 SSN=254 GTMODID=--------- CGGTMOD = NO
Command Retrieved 1 Entries
In this next example, the global title translation
containing the range of global title addresses 5557001 - 5558000 is split into
two new ranges with the
gta=5557501 and
egta=5558000 defining where the split
occurs.
chg-gtt:ttn=tst1:gta=5557501:egta=5558000:split=yes
When the
chg-gtt command is entered, two new
global title translation entries with the new global title address ranges are
created, and the original global title translation entry is removed from the
database. The
START GTA value of the first new range
is the original
START GTA value and the
END GTA value is the
gta parameter value minus one. The
START GTA value of the second new range
is the
gta parameter value and the
END GTA value is the
egta parameter value. In this example,
the
egta parameter is also the original
END GTA value.
rlghncxa03w 10-08-25 09:45:31 GMT EAGLE5 42.0.0
TYPEA TTN NDGT
15 tst1 7
GTT TABLE IS (27000 of 269999) 10 % FULL
START GTA END GTA XLAT RI PC
5557001 5557500 DPCSSN GT 003-003-003
MRNSET=114 SSN=254 GTMODID=--------- CGGTMOD = NO
Command Retrieved 1 Entries
rlghncxa03w 10-07-25 09:45:31 GMT EAGLE5 42.0.0
TYPEA TTN NDGT
15 tst1 7
GTT TABLE IS (27000 of 269999) 10 % FULL
START GTA END GTA XLAT RI PC
5557501 5558000 DPCSSN GT 003-003-003
MRNSET=114 SSN=254 GTMODID=--------- CGGTMOD = NO
Command Retrieved 1 Entries
The range of global title addresses can be changed so long as the new range of global title addresses does not overlap an existing range of global title addresses.
egta=5559000 and
split=no parameters with the chg-gtt
command. However, if another range of global title addresses begins with the
value 5558500, the
egta=5559000
parameter cannot be specified with the
chg-gtt command as the new range
created with the egta=5559000 parameter would overlap the range of global title
addresses beginning with the value 5558500. In this situation, the maximum
value for the egta parameter would be 5558499.
Note:
The command line on the terminal can contain up to 150 characters. If the parameters and values specified with thechg-gtt command are too long to fit
on the
chg-gtt command line, perform the
chg-gtt
command as many times as necessary to complete the GTT
entry.
The
XLAT parameter does not have a SEAS
equivalent. When global title translations are configured at the SEAS
interface, the values for the SEAS parameters
RI,
DPC, and
SSN, all mandatory parameters for the
SEAS
ADD-GTT and
CHG-GTT commands, are converted to the
EAGLE parameters and values shown in
Table 3-8.
Table 3-8 SEAS and Global Title Translation Parameter Conversion
| SEAS GTT Parameters | GTT Parameters | |||||
|---|---|---|---|---|---|---|
| RI | DPC | SSN | XLAT | RI | PC/PCA | SSN |
| G | xxx-xxx-xxx | 000 | DPC | GT | xxx-xxx-xxx | Not Specified |
| D | xxx-xxx-xxx | 002-255 | DPCSSN | SSN | xxx-xxx-xxx | 002-255 |
| G | xxx-xxx-xxx | 002-255 | DPCSSN | GT | xxx-xxx-xxx | 002-255 |
| D | xxx-xxx-xxx | 000 | DPC | SSN | xxx-xxx-xxx | Not Specified |
|
Notes:
|
||||||
The examples in this procedure are used to change the
global title translation data for translation type
15 in the database.
If the translation type is defined as an alias, it cannot
be used in the
chg-gtt command.
dpc (xlat=dpc) and the routing indicator is equal to
ssn (ri=ssn), the point code and subsystem number specified
in the
chg-gtt command must be defined in the
database as a mated application. Verify this by entering the
rtrv-map
command. If this point code and subsystem number is not
defined as a mated application, perform one of these procedures to add the
point code and subsystem number to the database as a mated application:
The point code and subsystem number do not have to be in
the mated application table when the
chg-gtt command is executed when these
parameters are specified with the
chg-gtt command.
ri=gtxlat=dpcssnandri=ssn
If the point code and subsystem are not in the mated
application table when either of these parameters are specified with the
chg-gtt command, the EAGLE creates a
solitary mated application in the mated application table using the point code
and subsystem values specified in the
chg-gtt command.
If the
xlat=dpcssn parameter is specified, the
ssn parameter must be specified.
Otherwise, the
ssn parameter cannot be specified.
If a point code is the STP’s True PC, then the value of
the
XLAT parameter must be set to
DPCSSN and the value of the
RI parameter must be set to
SSN. If the
SSN parameter is specified and a point
code is the STP’s True PC, then the subsystem number specified must exist in
the SS-APPL table. This can be verified with the
rtrv-ss-appl command. To execute the
rtrv-ss-appl command, one or more
features shown in
Table 3-9
must be enabled, and turned on if necessary. The
rtrv-ctrl-feat output shows the
required status of the features.
Table 3-9 Feature Status
| Feature | Feature's Status | Entry Displayed in the rtrv-ctrl-feat Output |
|---|---|---|
| LNP | Enabled | The entry LNP TNs with a quantity greater than zero (0) |
| EIR | Enabled and Turned On | EIR |
| INP | Enabled and Turned On | INP |
| ANSI-41 INP Query | Enabled and Turned On | ANSI-41 INP Query |
| V-Flex | Enabled and Turned On | VFLEX |
| ATINP | Enabled | ATINP |
| ANSI41 AIQ | Enabled | ANSI41 AIQ |
The point code specified in the
chg-gtt command (pc/pca,
pci,
pcn or
pcn24) must be defined in the routing
table. For ANSI point codes (pc/pca), the point code specified in the
chg-gtt command, must be a full point
code. That point code can be defined as a full point code in the destination
point code table, or can be a member of a cluster point code defined in the
destination point code table. Cluster point codes or a network routing point
codes cannot be specified with this command. The
rtrv-rte command can be used to verify
the point codes in the routing table. The point codes are shown in the
DPCA,
DPCI,
DPCN, or
DPCN24 fields of the
rtrv-rte command output. If the point
code is not defined as a route, perform one of the Adding a Route procedures in
Database Administration – SS7 User's Guide
to define the point code as a route.
If the EAGLE’s point code is specified with the
chg-gtt command, then the
xlat=dpcssn and
ri=ssn parameters must be specified.
The EAGLE’s point code is shown in the
PCA,
PCI,
PCN, or
PCN24 fields of the
rtrv-sid command output.
If the
xlat=dpcngt parameter is specified, the
ri=gt parameters must be specified.
A point code containing all zeros is not a valid point code.
An ANSI point code or ITU international point code containing all zeros is not a valid point code and cannot be entered into the database. An ITU national point code containing all zeros is a valid point code and can be entered into the database.
Either the
type parameter or the
ttn parameter must be specified.
If the
type parameter is specified, the
translation type must be in the database. This can be verified with the
rtrv-tt command.
If the
type parameter is not specified, the
translation type name must be assigned to a translation type in the database.
This can be verified with the
rtrv-tt command.
The end global title address (egta) must be greater than or equal to the start global
title address (gta) and its length must be
equal to the start global title address.
If the range as specified by the
gta and
egta parameters does not exactly match
the existing range, the existing range is split. All addresses in the existing
range that are outside the range specified by
gta and
egta, retain the original
xlat,
ri,
pc, and
ssn parameters. A new range is created
and bounded by the
gta and
egta containing new values of
xlat,
ri,
pc, and
ssn as present in the command, and
retaining parameter values from the previous range that do not have
corresponding new values in the command.
However, if the ranges overlap, splitting cannot occur
and the command is rejected. However, if the ranges overlap, splitting cannot
occur, and the
chg-gtt command is rejected with this
message.
E2401 Cmd Rej:GTA range overlaps a current
range
Along with error message 2401, a list of the overlapped global title addresses is displayed as shown in the following example.
rlghncxa03w 07-02-24 08:29:15 GMT EAGLE5 37.0.0
The following GTA ranges overlap the input GTA range
START GTA END GTA
8005550000 8005551999
8005552000 8005553999
8005554000 8005555999
CHG-GTT: MASP A - Command Aborted
If the translation type is ANSI (type or
typea), the
pc type must be ANSI (pc or
pca). If the translation type is one of
the ITU types (typei,
typen, or
typen24) the
pc type may be either of the ITU types
(pci,
pcn, or
pcn24). If the ANSI/ITU SCCP Conversion
feature is enabled, the domain (ANSI or ITU) of the translation type and point
code do not have to be the same.
The values specified for the
gta and
egta parameters can be decimal digits
(0-9) or hexadecimal digits (0-9, a-f, A-F). Hexadecimal digits can be
specified only if the Hex Digit Support for GTT feature is enabled. Verify the
status of the Hex Digit Support for GTT feature with the
rtrv-ctrl-feat command. Refer to the
Hex Digit Support for GTT
section for more information on this feature. If the Hex Digit Support for GTT
feature is not enabled, perform the
Activating the Hex Digit Support for GTT Feature
procedure to enable the Hex Digit Support for GTT feature.
Table 3-10
shows the valid combinations for the
xlat,
ri, and
ssn parameters. All other combinations
are rejected.
Table 3-10 Valid Parameter Combinations for the chg-gtt Routing Parameters
| New or Existing XLAT Value | New or Existing RI Value | Routing Action | SSN Value |
|---|---|---|---|
| DPC | GT | Translate DPC only and route on GT | Cannot be specified. The current database entry is removed. |
| DPC | SSN | Translate DPC only and route on SSN | Cannot be specified. The current database entry is removed. |
| DPCSSN | GT | Translate DPC and SSN and route on GT | Must be specified. |
| DPCSSN | SSN | Translate DPC and SSN and route on SSN | Must be specified. |
| DPCNGT | GT | Translate DPC, new translation type (TT), and route on GT | Cannot be specified. The current database entry is removed. |
Canceling the
RTRV-GTT Command
Because the
rtrv-gtt command used in this procedure
can output information for a long period of time, the
rtrv-gtt command can be canceled and
the output to the terminal stopped. There are three ways that the
rtrv-gtt command can be canceled.
- Press the
F9function key on the keyboard at the terminal where thertrv-gttcommand was entered. - Enter the
canc-cmdwithout thetrmparameter at the terminal where thertrv-gttcommand was entered. - Enter the
canc-cmd:trm=<xx>, where<xx>is the terminal where thertrv-gttcommand was entered, from another terminal other that the terminal where thertrv-gttcommand was entered. To enter thecanc-cmd:trm=<xx>command, the terminal must allow Security Administration commands to be entered from it and the user must be allowed to enter Security Administration commands. The terminal’s permissions can be verified with thertrv-secu-trmcommand. The user’s permissions can be verified with thertrv-userorrtrv-secu-usercommands.
For more information about the
canc-cmd command, go to
Commands User's Guide.
Figure 3-23 Change a Global Title Translation - Sheet 1 of 14

Figure 3-24 Change a Global Title Translation - Sheet 2 of 14

Figure 3-25 Change a Global Title Translation - Sheet 3 of 14

Figure 3-26 Change a Global Title Translation - Sheet 4 of 14

Figure 3-27 Change a Global Title Translation - Sheet 5 of 14

Figure 3-28 Change a Global Title Translation - Sheet 6 of 14

Figure 3-29 Change a Global Title Translation - Sheet 7 of 14

Figure 3-30 Change a Global Title Translation - Sheet 8 of 14

Figure 3-31 Change a Global Title Translation - Sheet 9 of 14

Figure 3-32 Change a Global Title Translation - Sheet 10 of 14

Figure 3-33 Change a Global Title Translation - Sheet 11 of 14

Figure 3-34 Change a Global Title Translation - Sheet 12 of 14

Figure 3-35 Change a Global Title Translation - Sheet 13 of 14

Figure 3-36 Change a Global Title Translation - Sheet 14 of 14
