Use Solaris Bandwidth Manager at any point in your network where the demand for bandwidth sometimes or always exceeds what is available, and at potential bottlenecks in your network such as the start of a transatlantic or other long-distance link or a LAN/WAN border. Solaris Bandwidth Manager regulates incoming and outgoing traffic. If a network link uses a shared medium, you must regulate traffic at all points that send traffic over the link.
Solaris Bandwidth Manager can be used on a host that is a source of IP traffic, on an IP router, or on a host that is between a LAN and a router (known as running in IP-transparent mode, as described in "IP-Transparent Mode ").
You cannot use Solaris Bandwidth Manager to regulate traffic flow on a logical interface, such as le0:1. However, by defining classes that correspond to the traffic that would use a logical interface, you can achieve the same result. See "Logical Interfaces" for an example of how to do this.
Solaris Bandwidth Manager regulates incoming and outgoing traffic at a given point in your network. Depending on your network topology, it might be useful to use bandwidth allocation at a point before any known bottleneck.

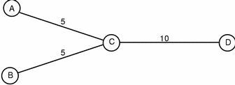
Assume you have the network shown in Figure 3-1, with the link capacities (in arbitrary units) shown.
If host C does not generate any traffic, it is not necessary to use Solaris Bandwidth Manager, since the capacity of link CD is sufficient for the total amount of traffic that both AC and BC can deliver at a given time. However, if host C is also a source of traffic, use Solaris Bandwidth Manager at C to regulate the flow of traffic on the link CD.
If the capacity of the link AC is increased to 10, host C becomes a potential bottleneck, whether or not it is a source of traffic itself, since the total amount of traffic that AC and BC together can deliver at a given time exceeds the capacity of CD. Using Solaris Bandwidth Manager at C does not prevent this. Instead, you need to run Solaris Bandwidth Manager at A, preventing, or reducing the probability of C being overloaded. If C is not a source of traffic, using Solaris Bandwidth Manager at A alone is probably sufficient. If C is a source of traffic, use Solaris Bandwidth Manager at A and C.
When planning the configuration of Solaris Bandwidth Manager at a point in your network, you must consider the configurations of other bandwidth managers upstream in the traffic flow. For example, if at A, the ftp-from-A class is configured to use no more than 2 units of capacity of AC, there is no point in giving the ftp-from-A class more than 2 units of capacity of CD.
You must also be careful not to set the traffic limits too low and under use a link. Configure Solaris Bandwidth Manager across your network so that all links are fully used and use the relative priorities of the classes to determine which packets are dropped or delayed if a link is busy.
In planning where to install Solaris Bandwidth Manager, you need to consider the characteristics of particular types of traffic. With HTTP traffic, for example, the heavier traffic flow is towards the user who instigates the transfer, so it is more useful to use bandwidth management on a web server than on the user's local machine.