| Oracle® Communications EAGLE Database Administration - GTT User's Guide Release 46.8 F11880-02 |
|
![]() Previous |
![]() Next |
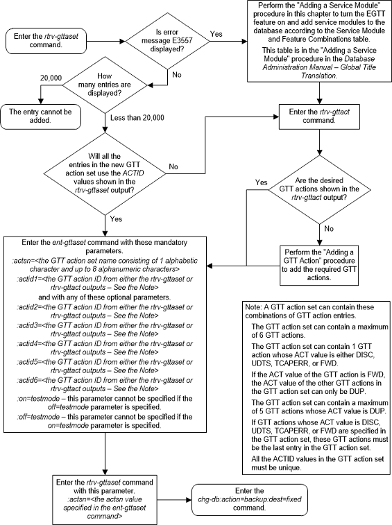
This procedure to add a GTT action set to the database
using the
ent-gttaset command. A GTT action set
is a group of GTT actions, provisioned by the
Adding a GTT Action
procedure. The GTT action set is assigned to a GTA entry using either the
ent-gta or
chg-gta commands.
The
ent-gttaset command uses these
parameters.
:actsn – The name of
the GTT action set consisting of one alphabetic character and up to eight
alphanumeric characters.
:actid1 – The
identifier of the GTT action that is being added to the GTT action set.
:actid2 – The
identifier of the GTT action that is being added to the GTT action set.
:actid3 – The
identifier of the GTT action that is being added to the GTT action set.
:actid4 – The
identifier of the GTT action that is being added to the GTT action set.
:actid5 – The
identifier of the GTT action that is being added to the GTT action set.
:actid6 – The
identifier of the GTT action that is being added to the GTT action set.
:on=testmode – The GTT
action set is used only by the test message tool.
:off=testmode – The GTT
action set is used for real-time message processing.
The values of the
actid parameters are shown in either
the
rtrv-gttact output or assigned to an
existing GTT action set and shown in the
rtrv-gttaset output.
Figure 4-62 Add a GTT Action Set
