| Oracle® Communications EAGLE Database Administration - GTT User's Guide Release 46.8 F11880-02 |
|
![]() Previous |
![]() Next |
This procedure is used to add a GTT action to the
database using the
ent-gttact command.
The
ent-gttact command uses these
parameters.
:act - the action that
is applied to the message. This parameter has these values.
disc — discard the
message with no return error.
dup — route a copy
of the message to the specified duplicate node.
tcaperr — discard
the message that has the specified TCAP error.
udts — discard the
message and send an UDTS/XUDTS.
fwd — route the
original message to the specified forward node instead of the destination
indicated by the global title translation data.
:actid - the name of
the GTT action entry.
:atcaperr - the ANSI
TCAP error cause - the reason for discarding the message containing the ANSI
TCAP portion that is associated with the TCAP error GTT action.
:cdgtmodid - the name
of the GT modification identifier that is associated with the called party of a
GTT action entry.
:cggtmodid - the name
of the GT modification identifier that is associated with the calling party of
a GTT action entry.
:cgpc/cgpca/cgpci/cgpcn/cgpcn24 - the calling party
point code.
Note:
See Chapter 2, "Configuring Destination Tables," in Database Administration - SS7 User's Guide for a definition of the point code types that are used on the EAGLE and for a definition of the different formats that can be used for ITU national point codes.:cgpcogmsg - the data
that is used as the calling party point code in the outgoing message.
:defactid - the default
GTT action ID that is associated with the forward GTT action.
:itcaperr - the ITU
TCAP error cause - the reason for discarding the message containing the ITU
TCAP portion that is associated with the TCAP error GTT action.
:loopset - the name of
the SCCP loopset name that is associated with the GTT action.
:mapset - the MAP set
ID.
:mrnset - the MRN set
ID.
:off - turns off the
specified feature options.
:off=uimreqd - a UIM
is not generated.
:off=useicmsg -
apply the GTT action data to the message as the message was received.
:on - turns on the
specified feature options.
:on=uimreqd - a UIM
is generated.
:on=useicmsg - apply
the GTT action data to the message after any EPAP or GTT
translation/modification data has been applied.
:pc/pca/pci/pcn/pcn24 -
the point code that the message will be routed to as a result of the duplicate
or forward GTT action.
Note:
See Chapter 2, "Configuring Destination Tables," in Database Administration - SS7 User's Guide for a definition of the point code types that are used on the EAGLE and for a definition of the different formats that can be used for ITU national point codes.:ri - the routing
indicator in the SCCP called party address of the duplicated copy of MSU.
:ssn - the subsystem
number (SSN) in the SCCP called party address of the MSU.
:udtserr - the reason
associated with the UDTS GTT action for discarding the message.
The values for the
actid,
atcaperr,
itcaperr,
udtserr,
pc/pca/pci/pcn/pcn24,
ri,
mrnset,
mapset,
ssn,
loopset,
cggtmodid,
cdgtmodid,
defactid, and
cgpc/cgpca/cgpci/cgpcn/cgpcn24
parameters are shown in
Table 4-51.
act parameter value that will be
specified with the GTT action.
act=disc,
act=udts,
act=tcaperr - GTT Action - DISCARD
feature - part number 893027501.
act=dup - GTT Action
- DUPLICATE feature - part number 893027601.
act=fwd - GTT Action
- FORWARD feature - part number 893037501.
The status of these features is shown in the
rtrv-ctrl-feat output. Perform the
Activating the GTT Actions Features
procedure to enable one or more of these features.
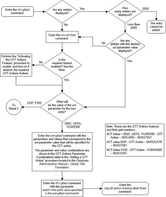
The EAGLE database can contain a maximum of 2000 GTT action entries.
rtrv-gttact command. This is an
example of the possible output.
rlghncxa03w 10-07-07 00:29:31 GMT EAGLE5 42.0.0
ACTID ACTION ATCAPERR ITCAPERR UDTSERR UIMREQD
---------------------------------------------------------
action2 disc --- --- --- off
ACTID ACTION PCA RI SSN MRNSET MAPSET
-----------------------------------------------------------------------
action1 dup 002-002-002 gt --- DFLT -----
CDGTMODID = --------- CGGTMODID = ---------
LOOPSET = None
USEICMSG = off CGPCOGMSG = dflt CGPCA = ---
ACTID ACTION PCI RI SSN MRNSET MAPSET
-----------------------------------------------------------------------
ACTID ACTION PCN RI SSN MRNSET MAPSET
-----------------------------------------------------------------------
ACTID ACTION PCN24 RI SSN MRNSET MAPSET
-----------------------------------------------------------------------
GTT-ACT table is (2 of 2000) 1% full.
If no entries are displayed, continue the procedure with 2.
If the number of entries that are displayed is 2000, this procedure cannot be performed. This is the maximum number of GTT action entries that can be in the database.
rtrv-gttact output, continue the
procedure by performing one of these steps.
rtrv-gttact output that contain
the
act parameter value of the new
entry, continue the procedure by performing one of these steps.
act parameter value of the new
entry is not shown in the
rtrv-gttact output, continue the
procedure with
2.
rtrv-ctrl-feat command.
The following is an example of the possible output.
rlghncxa03w 10-07-28 21:15:37 GMT EAGLE5 42.0.0 The following features have been permanently enabled: Feature Name Partnum Status Quantity Command Class Management 893005801 on ---- LNP Short Message Service 893006601 on ---- Intermed GTT Load Sharing 893006901 on ---- HC-MIM SLK Capacity 893012707 on 64 The following features have been temporarily enabled: Feature Name Partnum Status Quantity Trial Period Left Zero entries found. The following features have expired temporary keys: Feature Name Partnum Zero entries found.
act parameter value that will be
specified with the GTT action.
act=disc,
act=udts,
act=tcaperr - GTT Action -
DISCARD feature - part number 893027501.
act=dup - GTT
Action - DUPLICATE feature - part number 893027601.
act=fwd - GTT
Action - FORWARD feature - part number 893037501.
If the required feature is not enabled, perform the Activating the GTT Actions Features procedure to enabled the required feature.
If the
ri parameter value for the GTT
action entry will be
gt, the
pc/pca/pci/pcn/pcn24 parameter
must be specified for the GTT action entry. The point code must be the DPC of a
route and cannot contain a proxy point code.
If the
MRNSET column is shown in the
rtrv-gttact output, the Flexible
GTT Load Sharing feature is enabled. If the Flexible GTT Load Sharing feature
is enabled, the
mrnset parameter must be specified
for the GTT action entry. The point code that will be assigned to the GTT
action entry must be in an MRN set. MRN sets are shown in the
rtrv-mrn output.
If the
ri parameter value for the GTT
action entry will be
ssn, the
pc/pca/pci/pcn/pcn24 and
ssn parameters must be specified
for the GTT action entry. The point code and
ssn values must be in the
rtrv-map output.
If the
MAPSET column is shown in the
rtrv-gttact output, the Flexible
GTT Load Sharing feature is enabled. If the Flexible GTT Load Sharing feature
is enabled, the
mapset parameter must be specified
for the GTT action entry. The point code and
ssn values that will be assigned
to the GTT action entry must be in a MAP set. MAP sets are shown in the
rtrv-map output.
ri value for the GTT action entry
will be
gt, the
MRNSET column is not shown in the
rtrv-gttact output, the
mrnset parameter will not be
specified for the GTT action entry, and the point code value for the GTT action
entry is not shown in the
rtrv-gttact output, continue the
procedure with
5.
mrnset parameter for the GTT
action entry, perform these procedures to configure the MRNSET with the
required MRNSET with the point code value:
Activating the Flexible GTT Load Sharing Feature
and
Provisioning MRN Entries.
After these procedures have been performed, continue the procedure with
11.
If the
ri value for the GTT action entry
will be
gt, the
MRNSET column is shown in the
rtrv-gttact output, and the point
code and MRNSET values for the GTT action entry are not shown in the
rtrv-gttact output, continue the
procedure with
4.
ri value for the GTT action entry
will be
ssn, the
MAPSET column is not shown in the
rtrv-gttact output, the
mapset parameter will not be
specified for the GTT action entry, and the point code and SSN values for the
GTT action entry is not shown in the
rtrv-gttact output, continue the
procedure with
8.
mapset parameter for the GTT
action entry, perform the
Activating the Flexible GTT Load Sharing Feature
procedure to enable the Flexible GTT Load Sharing Feature. After this procedure
has been performed, continue the procedure with
8.
If the
ri value for the GTT action entry
will be
ssn, the
MAPSET column is shown in the
rtrv-gttact output, and the point
code, SSN, and MAPSET values for the GTT action entry are not shown in the
rtrv-gttact output, continue the
procedure with
8.
rtrv-mrn command.
This is an example of the possible output.
rlghncxa03w 10-07-28 21:15:37 GMT EAGLE5 42.0.0
MRNSET PC RC
DFLT 002-002-002 1
003-003-003 2
MRNSET PC RC
1 003-003-003 2
004-004-004 3
005-005-005 4
MRN table is (5 of 6000) 1% full.
If the required MRN set is shown in the
rtrv-mrn output, continue the
procedure with
11.
If the required MRN set is not shown in the
rtrv-mrn output, perform the
Provisioning MRN Entriesprocedure
to provision the required MRN set. After the
Provisioning MRN Entriesprocedure
has been performed, continue the procedure with
11.
rtrv-dstn command. This is an
example of the possible output.
rlghncxa03w 10-12-10 11:43:04 GMT EAGLE5 43.0.0 Extended Processing Time may be Required DPCA CLLI BEI ELEI ALIASI ALIASN/N24 DMN 001-207-000 ----------- no --- -------------- -------------- SS7 001-001-001 ----------- no --- -------------- -------------- SS7 001-001-002 ----------- no --- -------------- -------------- SS7 001-005-000 ----------- no --- -------------- -------------- SS7 001-007-000 ----------- no --- -------------- -------------- SS7 008-012-003 ----------- no --- -------------- -------------- SS7 003-002-004 ----------- no --- -------------- -------------- SS7 009-002-003 ----------- no --- -------------- -------------- SS7 010-020-005 ----------- no --- -------------- -------------- SS7 DPCI CLLI BEI ELEI ALIASA ALIASN/N24 DMN 1-207-0 ----------- no --- -------------- -------------- SS7 0-015-0 ----------- no --- -------------- -------------- SS7 0-017-0 ----------- no --- -------------- -------------- SS7 1-011-1 ----------- no --- -------------- -------------- SS7 1-011-2 ----------- no --- -------------- -------------- SS7 Destination table is (14 of 2000) 1% full Alias table is (0 of 12000) 0% full PPC table is (1 of 20) 5% full
If the required point code is not shown in the
rtrv-dstn output, perform the
"Adding a Destination Point Code" procedure in
Database Administration - SS7 User's
Guide to add the required point code. A proxy point code cannot be
assigned to the point code.
After the new point code has been added, perform one of the Adding a Route procedures in Database Administration - SS7 User's Guide and add the required route to the database. After the route has been added, continue the procedure with 6.
rtrv-dstn command and specifying the
point code. For this example, enter this command.
rtrv-dstn:dpca=010-020-005
This is an example of the possible output.
rlghncxa03w 10-12-10 11:43:04 GMT EAGLE5 43.0.0 DPCA CLLI BEI ELEI ALIASI ALIASN/N24 DMN 010-020-005 ----------- no --- -------------- -------------- SS7 PPCA NCAI PRX RCAUSE NPRST SPLITIAM HMSMSC HMSCP SCCPMSGCNV 009-002-003 ---- no 50 on 20 no no none Destination table is (14 of 2000) 1% full Alias table is (0 of 12000) 0% full PPC table is (1 of 20) 5% full
If the point code is not shown in the
rtrv-dstn command output, the
following output is displayed.
rlghncxa03w 10-07-10 11:43:04 GMT EAGLE5 42.0.0 No destinations meeting the requested criteria were found Destination table is (14 of 2000) 1% full Alias table is (0 of 12000) 0% full PPC table is (1 of 20) 5% full
A proxy point code (a point code value is shown in
the
PPC column) cannot be assigned to
the point code. If a proxy point code is shown in this step, choose another
point code from the
rtrv-dstn output in
5
and repeat this step.
If the point code is not shown in the
rtrv-dstn output, perform the
“Adding a Destination Point Code” procedure in
Database Administration - SS7 User's
Guide and add the point code to the destination point code table.
ent-gtt command must be the DPC of a
route, unless the point code is the EAGLE’s point code. Enter the
rtrv-rte command with the
dpc parameter specifying the point
code to be used with the
ent-gtt command to verify whether or
not the point code is the DPC of a route.
For this example, enter these commands.
rtrv-rte:dpca=007-007-007
This is an example of the possible output.
rlghncxa03w 10-07-07 11:43:04 GMT EAGLE5 42.0.0
DPCA ALIASI ALIASN/N24 LSN RC APCA
007-007-007 -------- ----------- ls03 10 007-007-007
ls02 30 150-150-150
lsa2 50 200-200-200
RTX:No CLLI=ls03clli
rtrv-rte:dpca=003-003-003
This is an example of the possible output.
rlghncxa03w 10-07-07 11:43:04 GMT EAGLE5 42.0.0
DPCA ALIASI ALIASN/N24 LSN RC APCA
003-003-003 -------- ---------- ls02 10 002-002-002
ls08 30 025-025-150
lsa5 50 066-030-100
RTX:No CLLI=ls07clli
If the point code is not shown in the
rtrv-rte output, perform one of
the Adding a Route procedures in
Database Administration - SS7 User's
Guide and add the required route to the database. After the route has
been added, continue the procedure with
11.
rtrv-map command with the point code
and SSN value that will be specified for the GTT action entry.
For this example enter this command.
rtrv-map:pca=005-005-005:ssn=75
If the Flexible GTT Load Sharing feature is not enabled, this is an example of the possible output.
rlghncxa03w 09-07-25 09:42:31 GMT EAGLE5 41.1.0 PCA Mate PCA SSN RC MULT SRM MRC GRP NAME SSO 005-005-005 250 10 SOL *Y *Y GRP01 ON MAP table is (37 of 1024) 4% full.
If the Flexible GTT Load Sharing feature is enabled, this is an example of the possible output.
rlghncxa03w 09-07-25 09:42:31 GMT EAGLE5 41.1.0
MAPSET ID=DFLT
PCA Mate PCA SSN RC MULT SRM MRC GRP NAME SSO
005-005-005 55 5 DOM YES YES -------- OFF
001-001-002 15 15 DOM YES YES -------- ON
001-001-003 25 20 DOM YES YES -------- ON
001-001-002 40 35 DOM YES YES -------- OFF
MAPSET ID=1
PCA Mate PCA SSN RC MULT SRM MRC GRP NAME SSO
005-005-005 50 5 DOM YES YES -------- OFF
001-001-002 10 15 DOM YES YES -------- ON
001-001-003 20 20 DOM YES YES -------- ON
001-001-002 40 35 DOM YES YES -------- OFF
MAPSET ID= 2
005-005-005 5 10 SOL *Y *Y -------- OFF
MAP table is (12 of 36000) 1% full.
If the required MAP entry is shown in the
rtrv-map output, continue the
procedure with
11.
If the required MAP entry is not shown in the
rtrv-map output, continue the
procedure with
9.
rtrv-sid command.
This is an example of the possible output.
rlghncxa03w 10-07-10 11:43:04 GMT EAGLE5 42.0.0
PCA PCI PCN CLLI PCTYPE
010-020-030 1-023-1 12-0-14-1 rlghncxa03w OTHER
s-1-023-1 s-12-0-14-1
CPCA
002-002-002 002-002-003 002-002-004 002-002-005
002-002-006 002-002-007 002-002-008 002-002-009
004-002-001 004-003-003 050-060-070
CPCI
1-001-1 1-001-2 1-001-3 1-001-4
1-002-1 1-002-2 1-002-3 1-002-4
2-001-1 7-222-7
CPCN
2-0-10-3 2-0-11-0 2-0-11-2 2-0-12-1
2-2-3-3 2-2-4-0 10-14-10-1
rtrv-ss-appl command to verify that
either the LNP, EIR, V-Flex, ATINPQ, INP, or AIQ subsystem number (depending on
which feature is on) is in the subsystem application table.
This is an example of the possible output.
rlghncxa03w 10-07-28 14:42:38 GMT EAGLE5 42.0.0 APPL SSN STAT LNP 254 ONLINE SS-APPL table is 20% FULL (1 of 5)
If the subsystem number is shown in the
rtrv-ss-appl output, continue the
procedure with
11.
rtrv-ss-appl output, or if the
rtrv-ss-appl command is rejected,
perform the procedures in one of these user's guides, depending on the type of
subsystem you wish to use, to enable and turn on the feature as necessary, and
add the subsystem to the subsystem application table.
If the
loopset parameter will be
specified for the GTT action entry, continue the procedure with
12.
If
LOOPSET values are shown in the
rtrv-gttact output and you wish to
use one of these values for the GTT action entry,
12
does not need to be performed.
If the
loopset parameter will not be
specified for the GTT action entry, but the
cdgtmodid or
cggtmodid parameters will be
specified for the GTT action entry, continue the procedure with
13.
If
CDGTMODID or
CGGTMODID values are shown in the
rtrv-gttact output and you wish to
use one of these values for the GTT action entry,
13
does not need to be performed.
Continue the procedure with 14 if the GTT action entry will not contain these parameter values.
loopset,
cdgtmodid, and
cggtmodid parameters will not be
specified for the GTT action entry and the
act value of the GTT action
entry will be
dup.
loopset,
cdgtmodid,
cggtmodid, and the
defactid parameters will not be
specified for the GTT action entry and the
act value of the GTT action
entry will be
fwd.
rtrv-loopset:num=1000:force=yes
LoopSet Mode Point Codes
====================================================================
cary2 notify 005-015-005 007-007-007 (ANSI)
033-004-003 033-007-003
005-027-005 007-004-007
cary4 notify 005-012-005 007-026-007 (ANSI)
003-049-003 033-002-003
005-008-055 007-014-007
apex3 discard 005-017-008 007-017-009 (ANSI)
033-005-043 005-014-005
005-017-005 007-014-007
033-002-043 005-038-005
007-009-027 033-003-043
005-012-005 007-002-027
apex4 discard 005-007-008 027-007-009 (ANSI)
033-005-003 005-004-055
027-001-007 033-008-003
033-007-003 005-003-055
027-008-007
ral5 notify 005-005-005 007-007-007 (ANSI)
003-004-003 003-001-003
005-007-005 007-004-007
003-002-003 005-008-005
007-009-007 003-003-003
005-002-005 007-002-007
ral6 notify 005-007-008 007-007-009 (ANSI)
003-005-003 003-007-003
005-007-005
dunn1 discard 005-002-055 007-051-007 (ANSI)
003-008-033
rtp9 discard 005-002-005 007-001-007 (ANSI)
003-008-003 003-007-003
005-003-005 007-008-007
005-004-005
rtp5 discard 005-007-008 007-007-009 (ANSI)
003-005-003
rtp1 discard 005-005-005 007-007-007 (ANSI)
003-004-003 003-007-003
005-007-005 007-004-007
005-004-005
rtp2 notify 005-007-008 007-007-009 (ANSI)
003-005-003
rlghncxa03w 09-05-28 21:15:37 GMT EAGLE5 41.0.0
LOOPSET table is (11 of 1000) 1% full
RTRV-LOOPSET: MASP A - COMPLTD
Note:
If thertrv-loopset command is entered with no other
parameters specified, a maximum of 50 entries are displayed. To display more
than 50 entries, theforce=yesparameter must be
specified with thertrv-loopset command and the
num parameter value must be greater than 50. Since there can be a maximum of
1000 loopsets in the database, to display all the loopsets in the database,
theforce=yes andnum =
1000parameters must be specified with thertrv-loopset command.
If the required loopset is not shown in the
rtrv-loopset output, perform the
Adding a Loopset
procedure to add the required loopset.
If the required loopset is shown in the
rtrv-loopset output, or if he
Adding a Loopset
procedure was performed and the
cdgtmodid or
cggtmodid parameters will be
specified for the GTT action entry, continue the procedure with
13.
If
CDGTMODID or
CGGTMODID values are shown in the
rtrv-gttact output and you wish to
use one of these values for the GTT action entry,
13
does not need to be performed. Continue the procedure with
14.
Note:
If an ANSI point code will be assigned to the GTT action entry, theNGTI value in the GT
modification entry must be 2.
rtrv-gtmod command.
This is an example of the possible output.
rlghncxa03w 10-07-07 00:29:31 GMT EAGLE5 42.0.0
GTMODID NTT NGTI GT0FILL NNP NNAI NPDD NSDD PRECD CGPASSN
modid2 -- 2 ON -- -- -- -- PFX --
NPDS= NSDS=
modid5 -- 2 OFF -- -- -- -- PFX --
NPDS= NSDS=
modid6 -- 4 ON 4 5 3 3 SFX --
NPDS=123 NSDS=456
modid10 -- -- OFF 5 5 -- -- PFX --
NPDS= NSDS=
modid11 -- -- OFF 5 5 -- -- PFX --
NPDS= NSDS=
GTMOD table is (5 of 100000) 1% full.
If the desired GT modification entry is not displayed, perform the Adding Global Title Modification Information procedure to add the desired GT modification entry to the database.
If the desired GT modification entry is displayed or the Adding Global Title Modification Information procedure was performed, continue the procedure with 14.
Note:
If an ANSI point code will be assigned to the GTT action entry, theNGTI value in the GT
modification entry must be 2.
ent-gttact command.
Table 4-51
shows the parameter combinations that can be used with the
ent-gttact command.
Table 4-51 GTT Actions Parameter Combinations
| ACT Value DISC | ACT Value UDTS | ACT Value TCAPERR | ACT Value DUP | ACT Value FWD |
|---|---|---|---|---|
| Mandatory Parameters | ||||
| actid | actid | actid | actid | actid |
|
pc/pca/pci/ pcn/pcn24 |
pc/pca/pci/ pcn/pcn24 |
|||
| ri=gt, ssn | ri=gt, ssn | |||
| Optional Parameters | ||||
| on=uimreqd (See Note 1) | on=uimreqd (See Note 1) | on=uimreqd (See Note 1) | ssn=2 - 255 (See Note 3) | ssn=2 - 255 (See Note 3) |
| off=uimreqd (See Note 1) | off=uimreqd (See Note 1) | off=uimreqd (See Note 1) | mrnset | mrnset |
| udtserr | atcaperr | mapset | mapset | |
| itcaperr |
cgpc/cgpca/cgpci/ cgpcn/cgpcn24 |
cgpc/cgpca/cgpci/ cgpcn/cgpcn24 |
||
| loopset | loopset | |||
| on=useicmsg (See Note 2) | on=useicmsg (See Note 2) | |||
| off=useicmsg (See Note 2) | off=useicmsg (See Note 2) | |||
| cgpogmsg | cgpogmsg | |||
| cdgtmodid | cdgtmodid | |||
| cggtmodid | cggtmodid | |||
| defactid | ||||
|
Parameter Values: actid = the name of the GTT action entry consisting of one
alphabetic character and up to eight alphanumeric characters. The
udtserr = 0 to 255. The default value is 7. atcaperr = 0 to 255. The default value is 0. itcaperr= 0 to 255. The default value is 0. pc/pca/pci/pcn/pcn24 - one of these types of point codes.
mrnset - the MRN set ID from the
mapset - the MAP set ID from the
cgpc/cgpca/cgpci/cgpcn/cgpcn24 - the calling party point
code. The network type of this parameter and the
pc/pca/pci/pcn/pcn24 parameter must be
the same.
loopset - the loopset name from the
cgopgmsg - one of these values.
cdgtmodid - The called party global title modification
identifier from the
cggtmodid - The calling party global title modification
identifier from the
defactid - one of these values.
Notes:
|
||||
For this example, enter these commands.
ent-gttact:actid=action11:act=disc:on=uimreqd
ent-gttact:actid=action15:act=udts
ent-gttact:actid=action17:act=tcaperr:atcaperr=10:itcaperr=20
ent-gttact:actid=action20:act=dup:pc=2-2-2:ri=gt:mrnset=dflt
ent-gttact:actid=action21:act=dup:pc=2-2-2:ri=ssn:mapset=dflt:ssn=50
ent-gttact:actid=action22:act=fwd:pc=2-2-2:ri=ssn:mapset=dflt:ssn=50
ent-gttact:actid=action23:act=fwd:pc=2-2-2:ri=gt:mrnset=dflt
When each of these commands have successfully completed, this message should appear.
rlghncxa03w 10-07-21 00:29:31 GMT EAGLE5 42.0.0 GTT-ACT table is (14 of 2000) 1% full. ENT-GTTACT: MASP A - COMPLTD
rtrv-gttact command with the
actid parameter and value specified
in
14.
For this example, enter these commands.
rtrv-gttact:actid=action11
rlghncxa03w 10-07-07 00:30:31 GMT EAGLE5 42.0.0 ACTID ACTION ATCAPERR ITCAPERR UDTSERR UIMREQD --------------------------------------------------------- action11 disc --- --- --- on GTT-ACT table is (14 of 2000) 1% full.
rtrv-gttact:actid=action15
rlghncxa03w 10-07-07 00:30:31 GMT EAGLE5 42.0.0 ACTID ACTION ATCAPERR ITCAPERR UDTSERR UIMREQD --------------------------------------------------------- action15 udts --- --- 7 off GTT-ACT table is (14 of 2000) 1% full.
rtrv-gttact:actid=action17
rlghncxa03w 10-07-07 00:30:31 GMT EAGLE5 42.0.0 ACTID ACTION ATCAPERR ITCAPERR UDTSERR UIMREQD --------------------------------------------------------- action17 tcaperr 10 20 --- off GTT-ACT table is (14 of 2000) 1% full.
rtrv-gttact:actid=action20
rlghncxa03w 10-07-07 00:30:31 GMT EAGLE5 42.0.0
ACTID ACTION ATCAPERR ITCAPERR UDTSERR UIMREQD
---------------------------------------------------------
ACTID ACTION PCA RI SSN MRNSET MAPSET
-----------------------------------------------------------------------
action20 dup 002-002-002 gt --- DFLT -----
CDGTMODID = --------- CGGTMODID = ---------
LOOPSET = None
USEICMSG = off CGPCOGMSG = dflt CGPCA = ---
ACTID ACTION PCI RI SSN MRNSET MAPSET
-----------------------------------------------------------------------
ACTID ACTION PCN RI SSN MRNSET MAPSET
-----------------------------------------------------------------------
ACTID ACTION PCN24 RI SSN MRNSET MAPSET
-----------------------------------------------------------------------
GTT-ACT table is (14 of 2000) 1% full.
rtrv-gttact:actid=action21
rlghncxa03w 10-07-07 00:30:31 GMT EAGLE5 42.0.0
ACTID ACTION ATCAPERR ITCAPERR UDTSERR UIMREQD
---------------------------------------------------------
ACTID ACTION PCA RI SSN MRNSET MAPSET
-----------------------------------------------------------------------
action21 dup 002-002-002 ssn 50 ---- DFLT
CDGTMODID = --------- CGGTMODID = ---------
LOOPSET = None
USEICMSG = off CGPCOGMSG = dflt CGPCA = ---
ACTID ACTION PCI RI SSN MRNSET MAPSET
-----------------------------------------------------------------------
ACTID ACTION PCN RI SSN MRNSET MAPSET
-----------------------------------------------------------------------
ACTID ACTION PCN24 RI SSN MRNSET MAPSET
-----------------------------------------------------------------------
GTT-ACT table is (15 of 2000) 1% full.
rtrv-gttact:actid=action22
rlghncxa03w 10-07-07 00:30:31 GMT EAGLE5 42.0.0
ACTID ACTION ATCAPERR ITCAPERR UDTSERR UIMREQD
---------------------------------------------------------
ACTID ACTION PCA RI SSN MRNSET MAPSET
-----------------------------------------------------------------------
action22 fwd 002-002-002 ssn 50 ---- DFLT
CDGTMODID = --------- CGGTMODID = ---------
LOOPSET = None DEFACTID = Fallback
USEICMSG = off CGPCOGMSG = dflt CGPCA = ---
ACTID ACTION PCI RI SSN MRNSET MAPSET
-----------------------------------------------------------------------
ACTID ACTION PCN RI SSN MRNSET MAPSET
-----------------------------------------------------------------------
ACTID ACTION PCN24 RI SSN MRNSET MAPSET
-----------------------------------------------------------------------
GTT-ACT table is (15 of 2000) 1% full.
rtrv-gttact:actid=action23
rlghncxa03w 10-07-07 00:30:31 GMT EAGLE5 42.0.0
ACTID ACTION ATCAPERR ITCAPERR UDTSERR UIMREQD
---------------------------------------------------------
ACTID ACTION PCA RI SSN MRNSET MAPSET
-----------------------------------------------------------------------
action23 fwd 002-002-002 gt --- DFLT -----
CDGTMODID = --------- CGGTMODID = ---------
LOOPSET = None DEFACTID = Fallback
USEICMSG = off CGPCOGMSG = dflt CGPCA = ---
ACTID ACTION PCI RI SSN MRNSET MAPSET
-----------------------------------------------------------------------
ACTID ACTION PCN RI SSN MRNSET MAPSET
-----------------------------------------------------------------------
ACTID ACTION PCN24 RI SSN MRNSET MAPSET
-----------------------------------------------------------------------
GTT-ACT table is (15 of 2000) 1% full.
chg-db:action=backup:dest=fixed
command. These messages should appear, the active Maintenance and
Administration Subsystem Processor (MASP) appears first.
BACKUP (FIXED) : MASP A - Backup starts on active MASP. BACKUP (FIXED) : MASP A - Backup on active MASP to fixed disk complete. BACKUP (FIXED) : MASP A - Backup starts on standby MASP. BACKUP (FIXED) : MASP A - Backup on standby MASP to fixed disk complete.
Figure 4-41 Add a GTT Action - Sheet 1 of 8

Figure 4-42 Add a GTT Action - Sheet 2 of 8

Figure 4-43 Add a GTT Action - Sheet 3 of 8

Figure 4-44 Add a GTT Action - Sheet 4 of 8

Figure 4-45 Add a GTT Action - Sheet 5 of 8

Figure 4-46 Add a GTT Action - Sheet 6 of 8

Figure 4-47 Add a GTT Action - Sheet 7 of 8

Figure 4-48 Add a GTT Action - Sheet 8 of 8



