SELECT
目的
1つ以上の表、オブジェクト表、ビュー、オブジェクト・ビュー、マテリアライズド・ビュー、分析ビューまたは階層からデータを取得するには、SELECT文または副問合せを使用します。
SELECT文の結果(またはその一部)が既存のマテリアライズド・ビューと同じ場合、そのマテリアライズド・ビューをSELECT文で指定した1つ以上の表のかわりに使用できます。この置き換えを、クエリー・リライトといいます。これが行われるのは、コスト最適化が有効であり、かつQUERY_REWRITE_ENABLEDパラメータがTRUEに設定されている場合のみです。クエリー・リライトが行われたかどうかを特定するには、EXPLAIN PLAN文を使用します。
関連項目:
-
問合せと副問合せの概要は、「SQL問合せおよび副問合せ」を参照してください。
-
マテリアライズド・ビュー、クエリー・リライト、分析ビューおよび階層の詳細は、『Oracle Databaseデータ・ウェアハウス・ガイド』を参照してください。
-
JSONデータを問い合せる場合は、「JSONデータの問合せ」を参照してください。
-
XMLデータを問い合せる場合は、「Oracle XML DBに格納されたXMLコンテンツの問合せ」を参照してください。
前提条件
表、マテリアライズド・ビュー、分析ビューまたは階層からデータを選択する場合、オブジェクトは自分のスキーマ内にある必要があります。自分のスキーマ内にない場合は、その表、マテリアライズド・ビュー、分析ビューまたは階層に対するREADまたはSELECT権限が必要です。
ビューの実表から行を選択する場合、次の条件を2つとも満たしている必要があります。
-
オブジェクトが自分のスキーマ内に設定されている必要がある。設定されていない場合は、オブジェクトに対する
READまたはSELECT権限が必要である。 -
オブジェクトを含むスキーマの所有者が、実表に対する
READまたはSELECT権限を持っている必要がある。
READ ANY TABLEシステム権限またはSELECT ANY TABLEシステム権限が付与されている場合、任意の表、マテリアライズド・ビュー、分析ビューまたは階層、あるいはマテリアライズド・ビュー、分析ビューまたは階層の実表からデータを選択できます。
FOR UPDATE句を指定するには、前述の前提条件が次の例外とともに適用されます。READおよびREAD ANY TABLE権限が示されている場合、FOR UPDATE句を指定できません。
flashback_query_clauseを使用してOracleフラッシュバック問合せを発行する場合は、SELECT構文のリスト内のオブジェクトに対するREADまたはSELECT権限が必要です。さらに、SELECT構文のリスト内のオブジェクトに対するFLASHBACKオブジェクト権限またはFLASHBACK ANY TABLEシステム権限のいずれかが必要です。
構文
query_block::=
(with_clause::=、select_list::=、table_reference::=、join_clause::=、inline_analytic_view、where_clause::=、hierarchical_query_clause::=、group_by_clause::=、model_clause::=、window_clause::=、qualify_clause::=)
with_clause::=
ノート:
WITHキーワードは、単独では指定できません。最低限、plsql_declarations、subquery_factoring_clause、subav_factoring_clauseのいずれかの句を指定する必要があります。
plsql_declarations::=
subquery_factoring_clause::=
search_clause::=
cycle_clause::=
subav_factoring_clause::=
sub_av_clause::=
hierarchies_clause::=
filter_clauses::=
filter_clause::=
hier_ids::=
hier_id::=
add_meas_clause::=
cube_meas::=
base_meas_clause::=
calc_meas_clause::=
select_list::=
table_reference::=
(query_table_expression::=, flashback_query_clause::=, pivot_clause::=, unpivot_clause::=, row_pattern_clause::=, containers_clause::=, shards_clause::=, values_clause::=)
flashback_query_clause::=
query_table_expression::=
(analytic_view, hierarchy, subquery_restriction_clause::=, table_collection_expression::=)
inline_external_table::=
inline_external_table_properties::=
modified_external_table::=
modify_external_table_properties::=
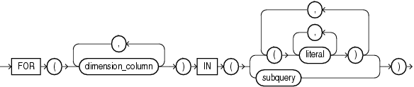
pivot_for_clause::=
pivot_in_clause::=
unpivot_in_clause::=
partition_extension_clause::=
table_collection_expression::=
containers_clause::=
shards_clause::=
values_clause::=
join_clause::=
(inner_cross_join_clause::=、outer_join_clause::=、cross_outer_apply_clause::=)
outer_join_clause::=
(query_partition_clause::=、outer_join_type::=、table_reference::=)
query_partition_clause::=
outer_join_type::=
cross_outer_apply_clause::=
where_clause::=
grouping_sets_clause::=
grouping_expression_list::=
expression_list::=
cell_reference_options::=
return_rows_clause::=
main_model::=
(model_column_clauses::=、cell_reference_options::=、model_rules_clause::=)
model_column_clauses::=
model_rules_clause::=
(model_iterate_clause::=、cell_assignment::=、order_by_clause::=)
model_iterate_clause::=
single_column_for_loop::=
multi_column_for_loop::=
qualify_clause::=
row_limiting_clause::=
(fetch_clause::=, row_limiting_partition_clause::=, row_specification::=, accuracy_clause::=)
fetch_clause::=
row_limiting_partition_clause::=
row_specification::=
accuracy_clause::=
row_pattern_clause::=
(row_pattern_partition_by::=、row_pattern_order_by::=、row_pattern_measures::=、row_pattern_rows_per_match::=、row_pattern_skip_to::=、row_pattern::=、row_pattern_subset_clause::=、row_pattern_definition_list::=)
row_pattern_partition_by::=
row_pattern_order_by::=
row_pattern_measures::=
row_pattern_measure_column::=
row_pattern_rows_per_match::=
row_pattern_skip_to::=
row_pattern::=
row_pattern_term::=
row_pattern_factor::=
row_pattern_primary::=
row_pattern_permute::=
row_pattern_quantifier::=
row_pattern_subset_clause::=
row_pattern_subset_item::=
row_pattern_definition_list::=
row_pattern_definition::=
row_pattern_rec_func::=
(row_pattern_classifier_func::=、row_pattern_match_num_func::=、row_pattern_navigation_func::=、row_pattern_aggregate_func::=)
row_pattern_classifier_func::=
row_pattern_match_num_func::=
row_pattern_navigation_func::=
(row_pattern_nav_logical::=、row_pattern_nav_physical::=、row_pattern_nav_compound::=)
row_pattern_nav_logical::=
row_pattern_nav_physical::=
row_pattern_nav_compound::=
row_pattern_aggregate_func::=
セマンティクス
with_clause
with_clauseを使用すると、次の項目を定義できます。
-
PL/SQLプロシージャおよびファンクション(
plsql_declarations句を使用) -
副問合せブロック(
subquery_factoring_clauseまたはsubav_factoring_clauseのいずれかまたは両方を使用)
plsql_declarations
plsql_declarations句を使用すると、PL/SQLファンクションとプロシージャの宣言と定義ができます。その後、この句で指定したPL/SQLファンクションは、問合せ内で参照できます。この問合せに副問合せがある場合は、その副問合せでも参照できます。これらのファンクションの名前が名前解決されるときには、スキーマ・レベルのストアド・ファンクションよりも優先されます。
この句で指定した問合せがトップレベルのSELECT文ではない場合、その問合せを含むトップレベルのSQL文には、次のルールが適用されます。
-
トップレベルの文が
SELECT文の場合は、WITHplsql_declarations句またはWITH_PLSQLヒントが含まれている必要があります。 -
トップレベルの文が
DELETE文、MERGE文、INSERT文、またはUPDATE文の場合は、WITH_PLSQLヒントが含まれている必要があります。
WITH_PLSQLヒントを使用して実行できる操作は、文へのWITH plsql_declarations句の指定のみです。これは、オプティマイザ・ヒントではありません。
関連項目:
-
function_declarationとprocedure_declarationの構文と制限事項については、『Oracle Database PL/SQL言語リファレンス』を参照してください。 -
「WITH句でのPL/SQLファンクションの使用例:」を参照してください。
subquery_factoring_clause
subquery_factoring_clauseを使用すると、副問合せブロックに名前(query_name)を割り当てることができます。query_nameを指定することによって、問合せに複数存在する副問合せブロックを参照することができます。query_nameをインライン・ビューまたは一時表として扱うことによって、問合せが最適化されます。query_nameには、データベース・スキーマ・オブジェクトと同じネーミング規則および制限が適用されます。データベース・オブジェクト名の詳細は、「データベース・オブジェクトのネーミング規則」を参照してください。
query_nameの後に続く列別名およびAS句内にある複数の副問合せを区切る集合演算子は有効ですが、再帰的副問合せのファクタリングを必要とします。search_clauseおよびcycle_clauseは、再帰的副問合せのファクタリングに対してのみ有効ですが、必須ではありません。「再帰的副問合せのファクタリング」を参照してください。
最上位のSELECT文およびほとんどの副問合せでこの句を指定できます。問合せの名前は、主問合せおよび後続のすべての副問合せから参照できます。再帰的副問合せのファクタリングの場合、問合せの名前は、自身の問合せ名を定義する副問合せからも参照できます。
自身の問合せ名を定義する副問合せからsubquery_factoring_clauseが自身のquery_nameを参照する場合、そのsubquery_factoring_clauseは再帰的であるといいます。再帰的subquery_factoring_clauseには、2つの問合せブロック(1つ目のアンカー・メンバーおよび2つ目の再帰的メンバー)が含まれている必要があります。アンカー・メンバーは、再帰的メンバーの前に指定する必要があり、このメンバーはquery_nameを参照できません。アンカー・メンバーは、集合演算子UNION ALL、UNION、INTERSECTまたはMINUSによって結合された1つ以上の問合せブロックで構成できます。再帰的メンバーは、アンカー・メンバーの後に指定し、query_nameの参照は1回のみにする必要があります。UNION ALL集合演算子を使用して、再帰的メンバーをアンカー・メンバーに結合する必要があります。
WITH query_nameの後に続く列別名の数、およびアンカーのSELECT構文のリストと再帰的問合せブロックの数は同じである必要があります。
再帰的メンバーには、次の要素を含めることができません。
-
DISTINCTキーワードまたはGROUPBY句 -
model_clause -
集計ファンクション。ただし、SELECT構文のリスト内には分析ファンクションを含めることができます。
-
query_nameを参照する副問合せ。 -
query_nameを右側の表として参照する外部結合。
Oracle Databaseの前のリリースでは、再帰的WITH句の再帰的メンバーは、問合せ全体の並列度に関係なくシリアルで実行されます(トップレベルのSELECT文とも呼ばれます)。Oracle Database 12cリリース2 (12.2)以降、オプティマイザによってトップレベルのSELECT文をパラレルで実行できることが検出された場合、再帰的メンバーはパラレルで実行されます。
search_clause
行の順序付けを指定するには、SEARCH句を使用します。
-
子の行が戻される前に兄弟の行を戻す必要がある場合は、
BREADTHFIRSTBYを指定します。 -
兄弟の行が戻される前に子の行を戻す必要がある場合は、
DEPTHFIRSTBYを指定します。 -
兄弟の行は、
BYキーワードの後にリストされる列によって順序付けされます。 -
SEARCHキーワードの後に続くc_aliasリストには、query_nameに対する列別名のリストからの列名を含める必要があります。 -
ordering_columnは、問合せ名の列リストに自動的に追加されます。query_nameから選択する問合せは、ordering_columnにORDERBYを含めて、SEARCH句によって指定された順序で行を戻すことができます。
cycle_clause
CYCLE句は、再帰型での繰返しをマーク付けするために使用します。
-
CYCLEキーワードの後に続くc_aliasリストには、query_nameに対する列別名のリストからの列名を含める必要があります。Oracle Databaseは、これらの列を使用して繰返しを検出します。 -
cycle_valueおよびno_cycle_valueは、長さが1の文字列です。 -
繰返しが検出されると、繰返しを引き起こしている行に対して
cycle_mark_c_aliasによって指定されている繰返しマーク列に、cycle_valueとして指定されている値が設定されます。その後、この行への再帰は停止します。つまり、問題の行については、その子の行の検索は行われませんが、繰返しが発生していない行については、検索が継続されます。 -
繰返しが検出されない場合、
no_cycle_valueとして指定されているデフォルト値が繰返しマーク列に設定されます。 -
この繰返しマーク列は、
query_nameの列リストに自動的に追加されます。 -
祖先の行のいずれかの繰返し列に同じ値がある行は、繰返しを形成するとみなされます。
CYCLE句を指定しない場合に、繰返しが検出されると、再帰的WITH句はエラーを戻します。この場合、再帰的メンバーのWHERE句で参照されるquery_nameの列別名リストのすべての列について、祖先の行のいずれかに同じ値がある行は繰返しを形成します。
副問合せのファクタリングの制限事項
この句には、次の制限事項があります。
-
subquery_factoring_clauseは、1つのSQL文内に1つのみ指定できます。subquery_factoring_clauseで定義したquery_nameは、そのsubquery_factoring_clause内の後続の任意の名前付き問合せブロックで使用できます。 -
集合演算子を指定した複合問合せの場合、その問合せを構成する各問合せでは
query_nameを使用できませんが、各問合せのFROM句ではquery_nameを使用できます。 -
query_nameに対する列別名のリストには重複した名前を指定できません。 -
ordering_columnの名前は、cycle_mark_c_aliasとは異なる名前を使用する必要があります。 -
ordering_columnおよび繰返しマーク列には、query_nameに対する列別名のリストに存在する名前を使用することはできません。
関連項目:
-
インライン・ビューの詳細は、『Oracle Database概要』を参照してください。
-
「再帰的副問合せのファクタリング: 例」を参照してください。
subav_factoring_clause
subav_factoring_clauseを使用して、一時分析ビュー(集計前にファクト・データをフィルタするか、分析ビューの問合せに対して計算済メジャーを追加する)を定義できます。subav_name引数により、一時分析ビューに名前が割り当てられます。その後、問合せ内の複数の位置で一時分析ビューを参照するために、subav_nameを指定できます。subav_nameには、データベース・スキーマ・オブジェクトと同じネーミング規則および制限事項が適用されます。データベース・オブジェクト名の詳細は、「データベース・オブジェクトのネーミング規則」を参照してください。
最上位のSELECT文およびほとんどの副問合せでこの句を指定できます。問合せの名前は、主問合せおよび後続のすべての副問合せから参照できます。
sub_av_clause引数は、一時分析ビューを定義します。
sub_av_clause
USINGキーワードを使用して、分析ビュー(WITH句で事前に定義された一時分析ビュー、または永続分析ビューのいずれか)の名前を指定します。永続分析ビューは、CREATE ANALYTIC VIEW文で定義されます。永続分析ビューの場合、現行ユーザーはこのビューに対するSELECTアクセス権限を持っている必要があります。
関連項目:
分析ビュー: 例hierarchies_clause
hierarchies_clauseは、ベース分析ビューの階層を指定します。この階層に基づいて一時分析ビューの結果がディメンション化されます。HIERARCHIESキーワードを使用して、ベース分析ビューの1つ以上の階層の別名を指定します。
HIERARCHIES句を指定しない場合、ベース分析ビューのデフォルトの階層が使用されます。
filter_clauses
特定のhier_aliasを最大で1つのfilter_clauseに指定できます。
filter_clause
filter句は指定された述語条件をファクト表に適用します。これにより、メジャー値の集計前に表から戻される行が減少します。述語には、任意のSQL行ファンクションまたは操作を指定できます。述語では、指定された階層の任意の属性を参照したり、MEASURESキーワードを指定した場合は分析ビューのメジャーを参照したりできます。
たとえば次の句は、メジャー値の集計を、時間階層の各年度の第1四半期および第2四半期の値に限定します。
FILTER FACT (time_hier TO quarter_of_year IN (1,2))その後、一時分析ビューから2000年度および2001年度のsalesを選択すると、第1四半期と第2四半期の集計値のみが戻されます。
filter句でメジャーの述語を指定する例を次に示します。
FILTER FACT (MEASURES TO sales BETWEEN 100 AND 200)attr_dim_alias
ベース分析ビューの属性ディメンションの別名。USER_ANALYTIC_VIEW_DIMENSIONSビューには、分析ビューの属性ディメンションの別名が含まれています。
hier_alias
ベース分析ビューの階層の別名。USER_ANALYTIC_VIEW_HIERSビューには、分析ビューの階層の別名が含まれています。
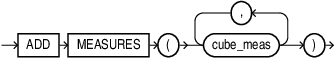
add_meas_clause
ADD MEASURESキーワードを使用して、一時分析ビューに計算済メジャーを追加できます。
calc_meas_clause
計算済メジャーの名前と、計算済メジャーの値を指定する分析ビュー式を指定します。分析ビュー式には、「分析ビュー式」で説明する任意の有効なcalc_meas_expressionを指定できます。たとえば、次の例ではshare_salesという計算済メジャーを追加します。
ADD MEASURES (share_sales AS (SHARE_OF(sales HIERARCHY time_hier PARENT)))DISTINCT | UNIQUE
DISTINCTまたはUNIQUEを指定すると、選択された重複行の1行のみを戻すことができます。これらの2つのキーワードは同義です。重複行とは、SELECT構文のリスト中のそれぞれの式で一致する値を持つ行のことです。
DISTINCT問合せおよびUNIQUE問合せの制限事項
これらのタイプの問合せには、次の制限事項があります。
-
DISTINCTまたはUNIQUEを指定する場合、SELECT構文のリスト中の式すべての総バイト数は、データ・ブロックのサイズからオーバーヘッド分を引いたサイズに制限されます。このサイズは、初期化パラメータDB_BLOCK_SIZEによって指定されます。 -
select_listにLOB列が含まれている場合、DISTINCTは指定できません。
select_list
select_listでは、データベースから取り出す列を指定できます。
*(全列ワイルド・カード)
全列ワイルド・カード(アスタリスク)を指定すると、疑似列とINVISIBLE列を除いて、FROM句に指定されているすべての表、ビューまたはマテリアライズド・ビューのすべての列を選択できます。列は、表、ビューまたはマテリアライズド・ビューの*_TAB_COLUMNSデータ・ディクショナリ・ビューのCOLUMN_IDによって指定されている順序で戻されます。
ビューやマテリアライズド・ビューではなく表から選択する場合、ALTER TABLE SET UNUSED文によってUNUSEDのマークが付けられた列は選択されません。
関連項目:
「ALTER TABLE」、「単純な問合せの例」および「DUAL表からの選択: 例」を参照してください。
query_name.*
query_nameの後にピリオドおよびアスタリスクを指定すると、指定した副問合せブロックのすべての列を選択できます。query_nameには、subquery_factoring_clauseですでに指定されている副問合せブロック名を指定します。select_listでquery_nameを指定するには、subquery_factoring_clauseを指定する必要があります。select_listでquery_nameを指定するには、query_table_expression(FROM句)でもquery_nameを指定する必要があります。
table.* | view.* | materialized view.*
オブジェクト名の後にピリオドおよびアスタリスクを指定すると、指定した表、ビューまたはマテリアライズド・ビューのすべての列を選択できます。オブジェクトの作成時に指定された順序で列の集合が戻されます。2つ以上の表、ビューまたはマテリアライズド・ビューの行を選択する問合せを結合といいます。
他のユーザーのスキーマの表、ビューまたはマテリアライズド・ビューから選択する場合には、スキーマ修飾子を使用します。schemaを指定しない場合、この表、ビューおよびマテリアライズド・ビューは自分のスキーマ内にあるとみなされます。
関連項目:
「結合」
t_alias .*
相関名(別名)の後にピリオドとアスタリスクを指定すると、同じ副問合せのFROM句にその相関名が指定されているオブジェクトからのすべての列を選択できます。オブジェクトは、表、ビュー、マテリアライズド・ビューまたは副問合せのいずれかです。オブジェクトの作成時に指定された順序で列の集合が戻されます。2つ以上のオブジェクトの行を選択する問合せを結合といいます。
expr
選択する情報を表す式を指定します。リスト中の列が含まれている表、ビューまたはマテリアライズド・ビューがFROM句でschema名で指定されている場合のみ、その列名をschema名で指定できます。オブジェクト型のメンバー・メソッドを指定するときは、メソッドが引数を取らない場合でも、カッコを使用するメソッド名に従う必要があります。
式には、PL/SQLファンクションの値を返すスカラー値、行ごとに1つの値を返す副問合せおよびSQLマクロも含めることができます。
c_alias
列式に別名を指定します。この別名は、結果セットの列のヘッダーで使用されます。ASキーワードはオプションです。別名によって、問合せ中にSELECT構文のリストの項目名を効果的に変更できます。問合せにおいて、別名はorder_by_clauseで使用できますが、他の句では使用できません。
リリース23以降では、group_by_clauseでc_aliasを使用できます。
関連項目:
-
複数のマテリアライズド・ビューの問合せで、
UNIONALL演算子とともにexprASc_alias構文を使用する場合の詳細は、『Oracle Databaseデータ・ウェアハウス・ガイド』を参照してください -
exprの構文は、「SQL式」を参照してください。
選択リストの制限事項
選択リストには、次の制限事項があります。
-
この文にgroup_by_clauseも指定している場合、このSELECT構文のリストには次の式のみ指定できます。
-
定数
-
集計ファンクション、
USERファンクション、UIDファンクションおよびSYSDATEファンクション -
group_by_clauseに指定されているものと同じ式。group_by_clauseが副問合せの中にある場合、その副問合せのSELECT構文のリストにあるすべての列が副問合せのGROUPBY列と対応する必要があります。選択リストおよびトップレベル問合せまたは副問合せのGROUPBY列が一致しない場合、その文ではORA-00979が発生します。リリース23以降では、
position別およびalias別のグループ化が可能です。 -
グループ内のすべての行が同じ値に評価される前述の式を伴っている式
-
-
結合内のキー保存表が1つのみの場合、結合ビューからROWIDを選択することができます。表のROWIDがビューのROWIDになります。
関連項目:
キー保存表の詳細は、『Oracle Database管理者ガイド』を参照してください。
-
複数の表に同じ名前の列があり、
FROM句で結合を指定した場合、表の名前または表の別名でその列名を修飾する必要があります。
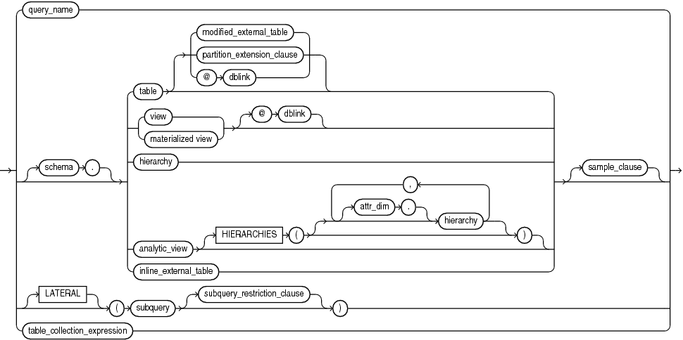
FROM句
オプションのFROM句は、データの選択元オブジェクトを指定する場合に使用します。
多相表ファンクション(PTF)は、他の既存の表ファンクションと同様に、FROM句の問合せブロックで呼び出すことができます。PTFは、オペランドに複数の型を使用できる表ファンクションです。
Oracle Database 21cでは、SQL表マクロを記述してFROM句内で使用できます。この場合、PL/SQLファンクションをコールできます。SQL表マクロは、通常FROM句で使用される式で、多相(パラメータ化)ビューのように機能します。これらのマクロ・ファンクションをPL/SQLで定義し、SQLからコールしてマクロとして機能させる必要があります。
Oracle Databaseリリース23では、FROM句で表式としてGRAPH_TABLE演算子を使用できます。
ONLY
ONLY句は、ビューのみに適用されます。FROM句のビューが階層に属し、サブビューの行を含めない場合は、ONLY句を使用します。
query_table_expression
query_table_expression句を使用すると、副問合せブロック、表、ビュー、マテリアライズド・ビュー、分析ビュー、階層、パーティションまたはサブパーティションを識別したり、オブジェクトを識別する副問合せを指定できます。副問合せブロックを指定するには、副問合せブロック名(subquery_factoring_clauseのquery_nameまたはsubav_factoring_clauseのsubav_name)を指定する必要があります。
この式の分析ビューには、with_clauseで定義されている一時分析ビュー、あるいは永続分析ビューを指定できます。
関連項目:
LATERALを指定すると、LATERALインライン・ビューとしてsubqueryを指定できます。LATERALインライン・ビュー内では、そのLATERALインライン・ビューの左側に現れる表を、問合せのFROM句で指定できます。この左相関はsubquery (SELECT句、FROM句、WHERE句など)内のどこにでも、任意のネスト・レベルで指定できます。
LATERALの制限事項
LATERALインライン・ビューには、次の制限事項があります。
-
LATERALを指定すると、pivot_clause句、またはunpivot_clause句が指定できなくなります。また、table_reference句にパターンを指定できなくなります。 -
LATERALインライン・ビューに
query_partition_clauseが含まれていて、このビューが結合句の右側になる場合、その結合句には左側の表への左相関を含めることができません。ただし、表への左相関は、左側の表でない場合はFROM句の左側に含めることができます。 -
LATERALインライン・ビューには、右外部結合または完全外部結合の最初の表への左相関を含めることができません。
関連項目:
inline_external_table
問合せで外部表をインライン化するには、この句を指定します。問合せでインライン化する外部表の表列およびプロパティを指定する必要があります。
inline_external_table_properties
この句は、REJECT LIMITオプションおよびaccess_driver_typeオプションを使用してexternal_table_data_propsを拡張します。この句を使用して外部表のプロパティを指定します。
オペレーティング・ファイル・システムやビッグ・データ・ソースに存在する外部データ、およびHDFSやHiveなどの形式をサポートする以外に、Oracleでは、オブジェクトに存在する外部データをサポートします。
modified_external_table
この句を使用して、問合せ内からCREATE TABLE文またはALTER TABLE文で指定されている外部表プロパティの一部をオーバーライドできます。
外部表のパラメータは実行時にオーバーライドできます。
制限事項
-
問合せでキーワード
EXTERNAL MODIFYを指定する必要があります。このキーワードを指定しない場合、Missing or invalid optionエラーが表示されます。 -
問合せで外部表を参照する必要があります。このようにしないと、エラーが表示されます。
-
問合せでは少なくとも1つのプロパティを指定する必要があります。
DEFAULT DIRECTORY、LOCATION、ACCESS PARAMETERS、REJECT LIMITのいずれかです。 -
複数の外部表プロパティを指定する場合は、順にリストする必要があります。
DEFAULT DIRECTORYを最初に指定し、続いてACCESS PARAMETERS、LOCATION、REJECT LIMITの順に指定する必要があります。このようにしないと、エラーが発生します。 -
DEFAULT DIRECTORY句では、適切なデフォルト・ディレクトリを1つのみ指定する必要があります。このようにしないと、Missing DEFAULT keywordエラーが発生します。 -
LOCATION句のファイル名は、引用符で囲む必要があります。このようにしないと、Missing keywordエラーが発生します。問合せでLOCATION句を許可するかどうかはアクセス・ドライバによって決定されることに注意してください。特定のアクセス・ドライバでこの句が許可されていない場合は、エラーが発生します。 -
ORACLE_LOADERアクセス・ドライバおよびORACLE_DATAPUMPアクセス・ドライバの場合、LOCATION句の外部ファイルの場所は、directory: locationの形式で指定する必要があります (ディレクトリとロケーションをコロンで区切ります)。この句で複数の値を指定する場合は、カンマで区切る必要があります。このようにしないと、Missing keywordエラーが発生します。 -
LOCATIONはCREATE TABLEではオプションになり、外部表を作成または問い合せる場合には指定する必要がある点に注意してください。このようにしないと、アクセス・ドライバでエラーが発生します。 -
CTASからORACLE DATAPUMPを使用して外部データを移入する場合は、外部ファイルの場所を指定する必要があります。これが該当するのは、CREATE TABLEでLOCATION句が必須である場合のみです。 -
アクセス・パラメータをオーバーライドするときには、
ACCESS PARAMETERS句に、適切なアクセス・パラメータのリストをカッコで囲んで指定する必要があります。modified_external_table句でのアクセス・パラメータの構文と許容値は、各アクセス・ドライバの外部表DDLの場合と同じであることに注意してください。構文と許容値の詳細は、『Oracle Databaseユーティリティ』 を参照してください。 -
REJECT LIMITを指定する場合、これはUNLIMITEDまたは範囲内の有効な値である必要があります。それ以外の場合、Reject limit out of rangeエラーが発生します。
modify_external_table_properties
この句を使用して、実行時に変更する外部表プロパティを指定できます。変更可能なパラメータは、DEFAULT DIRECTORY、LOCATION、ACCESS PARAMETERS (BADFILE, LOGFILE, DISCARDFILE)およびREJECT LIMITです。
例: 問合せによる外部表パラメータのオーバーライド
SELECT * FROM sales_external EXTERNAL MODIFY (LOCATION 'sales_9.csv’ REJECT LIMIT UNLIMITED);
flashback_query_clause
flashback_query_clauseを使用すると、データに関連付けられた時間ディメンションに基づいて、表、ビューまたはマテリアライズド・ビューからデータを取得できます。
この句によってSQL駆動のフラッシュバックが実装されるため、次の項目を指定できます。
-
句
VERSIONSBETWEEN{SCN|TIMESTAMP}またはVERSIONSASOF{SCN|TIMESTAMP}を使用して、SELECT構文のリストに含まれるオブジェクトごとに、異なるシステム変更番号またはタイムスタンプを指定できます。また、セッション・レベルのフラッシュバックをDBMS_FLASHBACKパッケージを使用して実装できます。 -
句
VERSIONSPERIODFORまたはASOFPERIODFORを使用して、SELECT構文のリストに含まれるオブジェクトごとに有効期間を指定できます。また、セッション・レベルの有効期間フラッシュバックをDBMS_FLASHBACK_ARCHIVEパッケージを使用して実装できます。
フラッシュバック問合せを使用すると、行に対して行った変更の履歴を取り出すことができます。VERSIONS_XID疑似列を使用して、変更を行ったトランザクションの対応する識別子を取り出すことができます。また、Oracle Flashback Transaction Queryを発行して、特定の行バージョンを生成したトランザクションの情報を取り出すこともできます。これを行うには、特定のトランザクションIDをFLASHBACK_TRANSACTION_QUERYデータ・ディクショナリ・ビューで問い合せます。
VERSIONS BETWEEN { SCN | TIMESTAMP }
VERSIONS BETWEENを指定すると、問合せによって戻された行の複数のバージョンを取り出すことができます。2つのSCNまたは2つのタイムスタンプ値の間に存在する、行のすべてのコミット済バージョンが戻されます。最初に指定されたSCNまたはタイムスタンプは、2番目に指定されたSCNまたはタイムスタンプよりも前でなければなりません。戻された行には、削除後に再度挿入された行のバージョンが含まれます。
-
VERSIONSBETWEENSCN...を指定すると、2つのSCNの間に存在する行のバージョンを取り出すことができます。どちらの式も、評価結果は数値でなければならず、評価結果がNULLであってはなりません。MINVALUEおよびMAXVALUEは、それぞれ使用可能な一番古いデータおよび最新のデータのSCNに解決されます。 -
VERSIONSBETWEENTIMESTAMP...を指定すると、2つのタイムスタンプの間に存在する行のバージョンを取り出すことができます。どちらの式も、評価結果はタイムスタンプ値でなければならず、評価結果がNULLであってはなりません。MINVALUEおよびMAXVALUEは、それぞれ使用可能な一番古いデータおよび最新のデータのタイムスタンプに解決されます。
AS OF { SCN | TIMESTAMP }
AS OFを指定すると、特定のシステム変更番号(SCN)またはタイムスタンプでの問合せによって戻された行の単一のバージョンを取り出すことができます。SCNを指定する場合、exprは数値に評価される必要があります。TIMESTAMPを指定する場合、exprはタイムスタンプ値に評価される必要があります。いずれの場合も、exprの評価結果がNULLであってはなりません。指定されたシステム変更番号または時刻に存在した行が戻されます。
Oracle Databaseでは、バージョン問合せ疑似列のグループを使用して、様々な行のバージョンに関する追加情報を取り出すことができます。詳細は、「バージョン問合せ疑似列」を参照してください。
両方の句を同時に使用する場合、AS OF句によって、SCNまたはデータベースが問合せを発行した時点が判断されます。VERSIONS句によって、AS OFで指定した時点を基準とした行のバージョンが判断されます。トランザクションが、BETWEENの最初の値より前に開始したり、AS OFで指定した時点より後に終了した場合は、行のバージョンとしてNULLが戻されます。
VERSIONS PERIOD FOR
VERSIONS PERIOD FORを指定すると、特定の期間中に有効とみなされるかどうかに基づいて、tableから行を取り出すことができます。この句を使用するには、tableで時制有効性がサポートされている必要があります。
-
valid_time_columnには、tableの有効期間ディメンション列の名前を指定します。 -
行が有効と見なされる期間を指定するには、
BETWEEN句を使用します。どちらの式も、評価結果はタイムスタンプ値でなければならず、評価結果がNULLであってはなりません。MINVALUEは、tableの開始時間列に含まれる最も早い日付またはタイムスタンプに解決されます。MAXVALUEは、tableの終了時間列に含まれる最も遅い日付またはタイムスタンプに解決されます。
AS OF PERIOD FOR
AS OF PERIOD FORを指定すると、特定の時点で有効とみなされるかどうかに基づいて、tableから行を取り出すことができます。この句を使用するには、tableで時制有効性がサポートされている必要があります。
-
valid_time_columnには、tableの有効期間ディメンション列の名前を指定します。 -
行が有効と見なされる時点を指定するには、
exprを使用します。この式の評価結果はタイムスタンプ値でなければならず、評価結果がNULLであってはなりません。
関連項目:
-
時制有効性の詳細は、『Oracle Database開発ガイド』を参照してください。
-
時制有効性をサポートするために表を構成する方法を学習するには、および
valid_time_column、開始時間列および終了時間列に関する情報は、CREATETABLEperiod_definitionを参照してください。
フラッシュバック問合せのノート
フラッシュバック問合せの実行時、他のタイプの問合せとは異なり、問合せ最適化が使用されない場合があります。ここで問合せ最適化を使用すると、パフォーマンスが低下する可能性があります。これは特に、階層問合せに複数のフラッシュバック問合せを指定した場合に発生します。
フラッシュバック問合せの制限事項
これらの問合せには、次の制限事項があります。
-
列式や副問合せを
ASOF句の式で指定することはできません。 -
ASOF句を指定する場合、for_update_clause句は指定できません。 -
ASOF句は、マテリアライズド・ビューを定義する問合せの中では使用できません。 -
一時表、外部表またはクラスタの一部である表に対するフラッシュバック問合せでは、
VERSIONS句を使用できません。 -
ビューに対するフラッシュバック問合せでは
VERSIONS句を使用できません。ただし、ビューを定義する問合せには、VERSIONS構文を使用できます。 -
すでに
query_nameがquery_table_expressionの中で指定されている場合は、flashback_query_clauseは指定できません。
関連項目:
-
Oracleフラッシュ・バック問合せの詳細は、『Oracle Database開発ガイド』を参照してください。
-
「フラッシュバック問合せの使用方法: 例」を参照してください。
-
DBMS_FLASHBACKパッケージを使用するセッション・レベルのフラッシュバックの詳細は、『Oracle Database開発ガイド』および『Oracle Database PL/SQLパッケージおよびタイプ・リファレンス』を参照してください。 -
トランザクション履歴の詳細は、『Oracle Database管理者ガイド』、および『Oracle Databaseリファレンス』 の
FLASHBACK_TRANSACTION_QUERYに関する説明を参照してください。
partition_extension_clause
PARTITIONまたはSUBPARTITIONには、データを取得するtable内のパーティションやサブパーティションの名前またはキー値を指定します。
レンジ・パーティション・データおよびリスト・パーティション・データでは、この句のかわりに、データの取出しをtableの1つ以上のパーティションに制限する条件をWHERE句に指定できます。Oracle Databaseは、この条件を解析して、そのパーティションからのデータのみをフェッチします。そのようなWHERE条件を、ハッシュ・パーティション・データに対して形成することは不可能です。
関連項目:
「パーティション表と索引の参照」および「パーティションからの選択: 例」を参照してください。
dblink
表、ビューまたはマテリアライズド・ビューが存在するリモート・データベースのデータベース・リンクの完全名または部分名を指定します。このデータベースは、Oracle Databaseである必要はありません。
関連項目:
-
データベース・リンクの参照方法の詳細は、「リモート・データベース内のオブジェクトの参照」を参照してください。
-
分散問合せの詳細は、「分散問合せ」を参照してください。また、「分散問合せの使用方法: 例」を参照してください。
dblinkを指定しない場合、その表、ビューまたはマテリアライズド・ビューは、ローカル・データベース内にあるものとみなされます。
データベース・リンクの制限事項
データベース・リンクには、次の制限事項があります。
-
リモート表のユーザー定義型またはオブジェクト
REFを問い合せることはできません。 -
リモート表の
ANYTYPE型、ANYDATA型またはANYDATASET型の列を問い合せることはできません。
table | view | materialized_view | analytic_view | hierarchy
データの選択元となる表、ビュー、マテリアライズド・ビュー、分析ビューまたは階層の名前を指定します。
hierarchy
CREATE HIERARCHY文で定義された階層。
sample_clause
sample_clauseを指定すると、表全体からではなく、表のランダムなサンプル・データから選択が行われます。
関連項目:
BLOCK
BLOCKを指定すると、ランダムな行サンプリングのかわりに、ランダムなブロック・サンプリングを実行できます。
ブロック・サンプリングは、全表スキャン中または高速全索引スキャン中にのみ使用可能です。より効率的な実行パスが存在する場合、ブロック・サンプリングは実行されません。特定の表または索引に対するブロック・サンプリングを確実に実行する場合は、FULLまたはINDEX_FFSのヒントを使用します。
Oracle Database 12cリリース2 (12.2)以降は、外部表にブロック・サンプリングを指定できます。以前のリリースでは、外部表にブロック・サンプリングを指定しても効果はなく、行サンプリングが実行されていました。
sample_percent
sample_percentには、全体の行またはブロック数のうち、サンプルに入れる割合(%)を指定します。0.000001以上100未満の範囲の値を指定します。この割合は、各行(ブロック・サンプリングの場合は行の各クラスタ)が、サンプルの一部として選択される可能性を示します。sample_percentに指定した割合の行がtableから正確に取り出されるわけではありません。
警告:
統計的に適切でない想定値でこの機能を使用した場合、不正確な、または望ましくない結果になります。
SEED seed_value
この句を指定すると、実行ごとに同じサンプルを戻すことを試行するようにデータベースに指示できます。seed_valueには、0(ゼロ)から4294967295の整数を指定します。この句を省略した場合、戻されるサンプルは実行ごとに異なります。
sample_clauseの制限事項
SAMPLE句には、次の制限事項が適用されます。
-
SAMPLE句は、DML文の副問合せの中では指定できません。 -
SAMPLE句を問合せで指定できるのは、問合せの対象が実表、マテリアライズド・ビューのコンテナ表、またはキー保存であるビューである場合です。この句は、キー保存ではないビューに対しては指定できません。
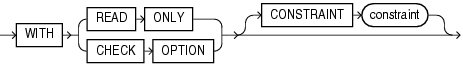
subquery_restriction_clause
subquery_restriction_clauseを使用すると、次のいずれかの方法で副問合せを制限できます。
WITH READ ONLY
WITH READ ONLYを指定すると、表またはビューを更新禁止にできます。
WITH CHECK OPTION
WITH CHECK OPTIONを指定すると、副問合せに含まれない行を生成する表またはビューの変更を禁止できます。この句をDML文の副問合せ内で使用する場合、FROM句内の副問合せには指定できますが、WHERE句内の副問合せには指定できません。
CONSTRAINT constraint
CHECK OPTION制約の名前を指定します。この識別子を省略した場合は、Oracleによって自動的にSYS_Cnという形式の制約名が割り当てられます(nはデータベース内で制約名を一意にするための整数)。
table_collection_expression
table_collection_expressionを使用すると、問合せおよびDML操作で、collection_expression値を表として扱うことができます。collection_expressionには、副問合せ、列、ファンクションまたはコレクション・コンストラクタのいずれかを指定できます。その形式にかかわらず、集合値(ネストした表型またはVARRAY型の値)を戻す必要があります。このようなコレクションの要素抽出プロセスをコレクション・ネスト解除といいます。
TABLEコレクション式を親表と結合する場合は、オプションのプラス(+)には大きな意味があります。+を指定すると、その2つの外部結合が作成され、コレクション式がNULLの場合でも、外部表の行が問合せで戻されるようになります。
ノート:
以前のリリースのOracleでは、collection_expressionが副問合せの場合、table_collection_expressionをTHE subqueryと表現していました。現在、このような表現方法は非推奨になっています。
collection_expressionは、FROM句で左側に定義された表の列を参照できます。これを左相関といいます。左相関はtable_collection_expressionのみで行われます。その他の副問合せは、その副問合せ以外で定義された列を参照することはできません。
オプションの(+)を使用すると、コレクションがNULLまたは空である場合、すべてのフィールドにNULLが設定された行をtable_collection_expressionが戻すように指定できます。この(+)はcollection_expressionが左相関を使用する場合にのみ有効です。結果は、外部結合の結果と似ています。
UPDATEまたはDELETE操作で副問合せのWHERE句に(+)構文を使用する場合は、副問合せのFROM句に2つの表を指定する必要があります。副問合せに結合が存在しないかぎり、外部結合構文は無視されます。
関連項目:
-
「外部結合」
-
「表のコレクション: 例」および「コレクション・ネスト解除: 例」を参照してください。
t_alias
相関名(表、ビュー、マテリアライズド・ビューまたは問合せを評価するための副問合せの別名)を指定します。SELECT構文のリストがオブジェクト型属性またはオブジェクト型メソッドを参照する場合、この別名が必要になります。相関名は、相関問合せ内で最も頻繁に使用されます。表、ビューまたはマテリアライズド・ビューを参照する問合せでは、この別名を参照する必要があります。
関連項目:
pivot_clause
pivot_clauseを使用すると、行を列に変換し、変換処理中にデータを集計するクロス集計問合せを記述できます。ピボット演算の出力には、最初のデータセットよりも多くの列と少ない行が含まれています。pivot_clauseでは、次のステップが実行されます。
-
pivot_clauseの先頭で指定されている集計ファンクションが計算されます。集計ファンクションは、複数の値を戻すようにGROUPBY句を指定する必要がありますが、pivot_clauseには、明示的なGROUPBY句が含まれていません。かわりに、暗黙的なGROUPBYが実行されます。暗黙的なグループ化は、pivot_clauseで参照されていないすべての列、およびpivot_in_clauseで指定されている値セットに基づいています。複数の集計ファンクションを指定する場合、集計ファンクションの1つを除くすべてに別名を指定する必要があります。 -
列のグループ化およびステップ1で計算された集計値は、次のクロス集計出力を生成するように構成されています。
-
最初に、
pivot_clauseで参照されていないすべての暗黙的なグループ化列が出力されます。 -
pivot_in_clauseの値に対応する新しい列。各集計値がクロス集計の適切な新しい列に移動します。XMLキーワードを指定した場合は、結果は新しい列1つだけとなり、データは1つのXML文字列として表現されます。データベースは、新しい列ごとに名前を生成します。集計ファンクションの別名を指定しない場合、データベースは、集計値を移動する新しい列ごとの名前としてピボット列値を使用します。集計ファンクションの別名を指定する場合、データベースは、ピボット列名、アンダースコア(_)、集計ファンクション別名を連結して集計値を移動する新しい列ごとの名前を生成します。生成された列名が列名の最大長を超える場合、ORA-00918エラーが戻されます。この問題を回避するには、ピボット列見出しまたは集計ファンクションあるいはその両方に短い別名を指定します。
-
pivot_clauseの副次句のセマンティクスは、次のとおりです。
XML
オプションのXMLキーワードは、問合せのXML出力を生成します。XMLキーワードを指定すると、pivot_in_clauseには、副問合せまたはワイルド・カード・キーワードANYを含めることができます。副問合せおよびANYワイルド・カードは、pivot_in_clause値が事前にわかっていない場合に有効です。XML出力では、ピボット列の値が実行時に評価されます。pivot_in_clauseで式を使用して明示的なピボット値を指定する場合は、XMLを指定することができません。
XML出力が生成される際、集計ファンクションが各ピボット値に適用され、データベースによって、値とメジャーのすべてのペアのXML文字列を含むXMLTypeの列が戻されます。
expr
ピボット列の定数値への評価を行う式を指定します。オプションで、各ピボット列値の別名を指定できます。別名がない場合は、列ヘッダーが引用識別子となります。
subquery
subqueryは、XMLキーワードとともにのみ使用されます。subqueryを指定すると、subqueryによって検出されたすべての値がピボットに使用されます。出力は、XML以外のピボット問合せによって戻されるクロス集計書式とは異なります。pivot_in_clauseで指定されている複数の列のかわりに、subqueryでは、XML文字列の列が1つ生成されます。各行のXML文字列は、その行の暗黙的なGROUP BY値に対応する集計データを保持します。入力データに対応する行がない場合でも、各出力行のXML文字列には、subqueryによって検出されたすべてのピボット値が含まれています。
subqueryは、ピボット問合せの実行時に、一意の値リストを戻します。subqueryが一意の値を戻さない場合、Oracle Databaseによってランタイム・エラーが生成されます。問合せが一意の値を戻すかどうかがわからない場合は、subqueryにDISTINCTキーワードを使用します。
ANY
ANYキーワードは、XMLキーワードとともにのみ使用されます。ANYキーワードは、ワイルド・カードとして機能し、subqueryと同様に動作します。出力は、XML以外のピボット問合せによって戻されるクロス集計書式とは異なります。pivot_in_clauseで指定されている複数の列のかわりに、ANYキーワードでは、XML文字列の列が1つ生成されます。各行のXML文字列は、その行の暗黙的なGROUP BY値に対応する集計データを保持します。ただし、subqueryを指定した場合と比較すると、ANYワイルド・カードでは、各出力行について、行に対応する入力データで検出されたピボット値のみを含むXML文字列が生成されます。
関連項目:
PIVOTおよびUNPIVOTの詳細は、『Oracle Databaseデータ・ウェアハウス・ガイド』を参照してください。また、「PIVOTおよびUNPIVOTの使用方法: 例」を参照してください
unpivot_clause
-
INCLUDE|EXCLUDENULLS句を使用すると、NULL値の行を含めるか除外するかを選択できます。INCLUDENULLSを指定すると、NULL値の行もアンピボット操作の対象となり、EXCLUDENULLSを指定するとNULL値の行は戻り値のセットから除外されます。この句を省略した場合は、アンピボット操作からNULLが除外されます。 -
columnには、sales_quantityなどのメジャー値を保持する各出力列の名前を指定します。 -
pivot_for_clauseには、四半期または製品などの記述子値を保持する各出力列の名前を指定します。 -
unpivot_in_clauseには、名前がpivot_for_clauseの出力列の値となる入力データ列を指定します。これらの入力データ列には、Q1、Q2、Q3、Q4など、カテゴリ値を指定する名前が含まれています。任意指定のAS句を使用すると、入力データ列名を、出力列内の指定したliteral値にマッピングできます。
アンピボット操作は、複数の値列を単一の列に変更します。このため、値列のすべてのデータ型は、数値、文字などの同じデータ型グループに属している必要があります。
-
すべての値列が
CHARの場合、アンピボットされる列はCHARになります。値列がVARCHAR2の場合、アンピボットされる列はVARCHAR2になります。 -
すべての値列が
NUMBERの場合、アンピボットされる列はNUMBERになります。値列がBINARY_DOUBLEの場合、アンピボットされる列はBINARY_DOUBLEになります。BINARY_DOUBLEの値列はないが、いずれかの値列がBINARY_FLOATの場合、アンピボットされる列はBINARY_FLOATになります。
containers_clause
CONTAINERS句は、マルチテナント・コンテナ・データベース(CDB)で有益です。この句を使用すると、CDBのすべてのコンテナ間で指定された表またはビューのデータを問い合せることができます。
-
CDBのデータを問い合せるには、CDBルートに接続された共通ユーザーであり、表またはビューがルートおよびすべてのPDBに存在している必要があります。問合せは、CDBルートおよびすべてのオープン状態になっているPDBの表またはビューのすべての行を戻します。
-
アプリケーション・コンテナのデータを問い合せるには、アプリケーション・ルートに接続された共通ユーザーであり、表またはビューがアプリケーション・ルートおよびアプリケーション・コンテナ内のすべてのPDBに存在している必要があります。この問合せは、アプリケーション・ルートおよびアプリケーション・コンテナ内のオープン状態になっているすべてのPDBに存在する表またはビューのすべての行を戻します。
表またはビューは、自分のスキーマ内に存在している必要があります。schemaを指定する必要はありませんが、指定した場合は自分のスキーマを指定する必要があります。
問合せは、ルートおよびすべてのオープン状態になっているPDB (RESTRICTEDモードでオープン状態になっているPDBは除きます)の表またはビューのすべての行を戻します。問合せ対象の表またはビューにCON_ID列が含まれていない場合、問合せはCON_ID列を問合せ結果に追加し、与えられた行が表すデータがあるコンテナを識別します。
関連項目:
-
CONTAINERS句の詳細は、『Oracle Database管理者ガイド』を参照してください。
shards_clause
シャード間のV$、DBA/USER/ALLビュー、ディクショナリ表などのOracle提供オブジェクトを問い合せるには、shards_clauseを使用します。shards_clauseを使用した問合せは、シャード・カタログ・データベースに対してのみ実行できます。
この機能を使用すると、中央のシャード・カタログからすべてのシャードにわたって問合せを実行できるようになり、集中管理が容易になります。
values_clause
表値コンストラクタ(TVC)として、FROMのvalues_clauseおよびSELECTのwith_clauseを使用できます。
それぞれの表値コンストラクタには、行値式(RVE)のセットが含まれます。それぞれの行の式に含まれる要素の数は均一である必要があり、その型は互換性がある必要があります。
c_alias (列の別名)は、RVE内のそれぞれの式に対応する列の名前です。
select文のFROM句のTVCは、表の式として使用できます。
例: SELECTのFROM句での値コンストラクタの使用
SELECT *
FROM ( VALUES (1,'SCOTT'),
(2,'SMITH'),
(3,'JOHN' )
) t1 (employee_id, first_name);上の例では、2つの列employee_idおよびfirst_nameと3つの行を持つインライン表t1が作成されます。
with_clause::=でvalues_clauseを使用する場合は、列の別名を指定する必要があります。それぞれの列の別名は、TVCによって生成される列に対応している必要があります。この場合、TVCによって副問合せが置換されます。
例: SELECTのwith_clauseでの値コンストラクタの使用:
WITH X(foo, bar, baz) AS (
VALUES (0, 1, 2), (3, 4, 5), (6, 7, 8) ) SELECT * FROM X;表および列の別名(t_aliasおよびc_alias)は、SELECTでvalues_clauseをwith_clauseとともに使用しないかぎり必要です。
制限事項
-
複数のRVEを指定する場合は、それぞれのRVEのカーディナリティが同じである必要があります。つまり、それぞれのRVEに含まれる要素の数が同じである必要があります。
-
RVEのそれぞれの要素には、列名、スカラー値の副問合せまたはバインド変数を含む有効なSQL式、あるいは単一値に評価される他の式を使用できます。
-
TVC内のRVEの対応する位置にある式または定数の型は、通常のSQL型変換ルールに従って最も一般的な型に暗黙的に変換可能である必要があります。推論される式のタイプは、TVCを構成するすべてのRVEにおいて同じ位置にある最も一般的な式のタイプになります。
-
スカラー値の副問合せを使用してRVEの要素の値を計算する場合、スカラー値の副問合せの選択リストに含めることができる式は1つのみです。
-
UPDATEまたはMERGE文でRVEを使用する場合は、それぞれの位置についてRVEでキーワードDEFAULTを指定して、この列にデフォルトの列値を使用する必要があることをSQLエンジンに知らせることができます。 -
実行計画には、定数値で構成されるRVEがTVCにある場合にのみ出現する新しいセクションがあります。
-
TVC内のRVEの対応する要素の型に異なる制約がある場合、列の型は、すべての制約の論理和または最も緩和された制約になります。
-
スカラー値の副問合せが予想される場所で、複数のRVEで構成されるTVCが使用されている場合は、エラーがスローされます。
-
パラレル動作は、
DUALに対するUNION ALL問合せと同様になります。TVCはパラレル動作には影響しません。 -
RVEをネストすることはできません。つまり、RVEに別のRVEを含めることはできません。
-
with_clauseによって生成される列の最大数は、データベース表の列の最大数と同じになります。 -
オプティマイザによって計算されるNDVおよびその他の統計は、
DUALに対するすべての問合せの論理和に似ています。 -
TVC句には、使用可能なメモリーによる制限以外にRVEの数に関する制限はありません。
-
述語の
UNION ALLブランチを削除すると、DUALを使用したUNION ALL問合せと同様になります。
join_clause
適切なjoin_clause構文を使用すると、データが選択され、結合の一部となる表を識別できます。inner_cross_join_clauseを使用すると、内部結合またはクロス結合を指定できます。outer_join_clauseを使用すると、外部結合を指定できます。cross_outer_apply_clauseを使用すると、ANSI CROSS JOINまたは左相関のサポートを利用したANSI LEFT OUTER JOINを指定できます。
結合する行ソースが3つ以上ある場合は、カッコを使用してデフォルトの優先順位を無効にすることができます。たとえば、次のような構文があるとします。
SELECT ... FROM a JOIN (b JOIN c) ...
この場合、bとcが結合され、次にその結果とaが結合されます。
関連項目:
結合の詳細は、「結合」を参照してください。また、「結合問合せの使用方法: 例」、「自己結合の使用方法: 例」および「外部結合の使用方法: 例」を参照してください。
inner_cross_join_clause
内部結合は、結合条件を満たす行のみを戻します。
INNER
INNERを指定すると、内部結合を明示的に指定できます。
JOIN
JOINキーワードを使用すると、結合の実行を明示的に示すことができます。この構文を使用すると、WHERE句の結合で使用されている、カンマで区切られた表の式を、FROM句の結合構文に置き換えることができます。
ON条件
ON句を使用して結合条件を指定します。これにより、WHERE句の検索条件またはフィルタ条件とは別個に結合条件を指定できます。
USING (列)
両方の表で同じ名前の列同士を等価結合する場合、USING column句に使用する列を指定します。両方の表で同じ名前の列同士を結合する場合のみ、この句を使用できます。この句の中では、列名を表の名前および別名で修飾しないでください。
CROSSキーワードは、クロス結合を実行することを示します。クロス結合とは、2つの関係(リレーション)のクロス積を生成するものであり、実質的にはカンマ区切りのOracle Database表記法と同じです。
NATURAL
NATURALキーワードは、自然結合を実行することを示します。この句のセマンティクスの詳細は、「NATURAL」を参照してください。
outer_join_clause
外部結合は、結合条件を満たすすべての行と、結合条件を満たす他方の表の行を除いた、一方の表のすべての行を戻します。指定可能な外部結合は、結合の両側にtable_reference構文を使用した従来の外部結合と、いずれかの側にquery_partition_clauseを使用したパーティション化された外部結合の2種類です。パーティション化された外部結合は、内部表の各パーティションと外部表の間で結合が行われるという点を除いて、従来の外部結合と同じです。この形式の結合では、対象のディメンションに沿って、選択的に疎データをより密にできます。このプロセスはデータの稠密化といいます。
query_partition_clause
query_partition_clauseを使用すると、パーティション化された外部結合を定義できます。このような結合は、問合せによって戻されたパーティションに外部結合を適用し、従来の外部結合構文を拡張します。PARTITION BY句で指定した各式に対する行のパーティションが作成されます。問合せの各パーティションの行は、PARTITION BY式に対して同じ値を持ちます。
query_partition_clauseは、外部結合のいずれかの側で使用できます。パーティション化された外部結合の結果は、パーティション化された結果セットの各パーティションと結合の反対側の表との外部結合のUNIONになります。この形式の結果は、疎データの欠損の補完に役立つため、分析計算が簡単になります。
この句を省略した場合、表の式全体(table_referenceに指定したすべてのもの)が単一のパーティションとして扱われるため、従来型の外部結合となります。
分析ファンクションでquery_partition_clauseを使用するには、構文の上位ブランチ(カッコなし)を使用します。この句をモデルの問合せ(model_column_clauses内)またはパーティション化された外部結合(outer_join_clause内)で使用するには、構文の下位ブランチ(カッコ付き)を使用します。
パーティション化された外部結合の制限事項
パーティション化された外部結合には、次の制限事項があります。
-
query_partition_clauseは、結合の右側または左側に指定できますが、両方に指定することはできません。 -
パーティション化された完全外部結合(
FULL)は指定できません。 -
ON句を使用して外部結合にquery_partition_clauseを指定した場合、ON条件内には副問合せを指定できません。
関連項目:
NATURALキーワードは、自然結合を実行することを示します。自然結合は、2つの表の間で同じ名前のすべての列に基づきます。2つの表から関連する列の値が等しい行が選択されます。同じ名前の2つの列のデータ型の間に互換性がない場合は、エラーが発生します。自然結合で使用する列を指定する場合は、表の名前または別名で列名を修飾しないでください。
自然結合またはクロス結合の表の組合せが不明瞭な場合があります。たとえば、次のような結合構文があるとします。
a NATURAL LEFT JOIN b LEFT JOIN c ON b.c1 = c.c1
この例は、次のどちらにも解釈できます。
a NATURAL LEFT JOIN (b LEFT JOIN c ON b.c1 = c.c1) (a NATURAL LEFT JOIN b) LEFT JOIN c ON b.c1 = c.c1
このような不明瞭さをなくすため、カッコを使用して結合する表の組合せを明確にしてください。このようなカッコがないと、左から右へ表が組み合せられ、左の結合が使用されます。
自然結合の制限事項
LOB列、ANYTYPE列、ANYDATA列、ANYDATASET列またはコレクション列は、自然結合の一部として指定できません。
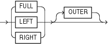
outer_join_type
outer_join_typeは、実行する外部結合の種類を示します。
-
RIGHTを指定すると、右側外部結合が実行されます。 -
LEFTを指定すると、左側外部結合が実行されます。 -
FULLを指定すると、完全な外部結合または両側外部結合が実行されます。内部結合に加え、内部結合の結果に戻されない両方の表からの行は、保持され、NULLで拡張されます。 -
RIGHT、LEFTまたはFULLの後にオプションのOUTERキーワードを指定し、外部結合の実行を明示的に示すことができます。
ON条件
ON句を使用して結合条件を指定します。これにより、WHERE句の検索条件またはフィルタ条件とは別個に結合条件を指定できます。
ON条件句の制限事項
NATURAL外部結合を使用してこの句を指定することはできません。
USING列
USING句による外部結合の場合、問合せによって単一列が戻されます。この単一列は、結合内の一致する2つの列が結合したものです。結合ファンクションは次のとおりです。
COALESCE (a, b) = a if a NOT NULL, else b.
そのため、次のようになります。
-
左側外部結合では、
FROM句内の左側の表から共通するすべての列値が戻されます。 -
右側外部結合では、
FROM句内の右側の表から共通するすべての列値が戻されます。 -
完全な外部結合では、結合された両方の表から共通するすべての列値が戻されます。
USING column 句の制限事項
USING column句には、次の制限事項があります。
-
この句の中では、列名を表の名前および別名で修飾しないでください。
-
LOB列またはコレクション列は、
USINGcolumn句で指定できません。 -
NATURAL外部結合を使用してこの句を指定することはできません。
関連項目:
-
外部結合に関するその他の規則および制限事項は、「外部結合」を参照してください。
-
パーティション化された外部結合およびデータの稠密化の詳細は、『Oracle Databaseデータ・ウェアハウス・ガイド』を参照してください。
-
「外部結合の使用方法: 例」を参照してください。
cross_outer_apply_clause
この句を使用すると、ANSI CROSS JOINまたは左相関のサポートを利用したANSI LEFT OUTER JOINを実行できます。APPLYキーワードの右側には、table_referenceまたはcollection_expressionを指定できます。table_referenceには、表、インライン・ビューまたはTABLEコレクション式を指定できます。collection_expressionには、副問合せ、列、ファンクションまたはコレクション・コンストラクタのいずれかを指定できます。その形式にかかわらず、集合値(ネストした表型またはVARRAY型の値)を戻す必要があります。table_referenceまたはcollection_expressionは、FROM句でAPPLYキーワードの左側に定義された表の列を参照できます。これを左相関といいます。
-
CROSSAPPLYを指定すると、ANSICROSSJOINを実行できます。結合の左側にある表の行のうち、table_referenceまたはcollection_expressionから結果セットを生成する行のみが返されます。 -
OUTERAPPLYを指定すると、ANSILEFTOUTERJOINを実行できます。結合の左側にある表の行がすべて返されます。table_referenceまたはcollection_expressionから結果を生成しない行は、対応する列内でNULL値を保持します。
cross_outer_apply_clauseの制限事項
table_referenceに、LATERALインライン・ビューを指定することはできません。
inline_analytic_view
インライン分析ビューは、FROM句で指定される一時分析ビューです。インライン分析ビューを作成するには、ANALYTIC VIEWキーワードを使用し、分析ビューを定義するsub_av_clauseを指定します。必要に応じて、inline_av_alias (インライン分析ビューの別名)を指定できます。inline_av_aliasのルールは、インライン・ビュー別名のルールと同じです。
関連項目:
where_clause
WHERE条件を指定すると、選択する行を1つ以上の条件を満たす行のみに制限できます。conditionには、有効なSQL条件を指定します。
この句を省略した場合、FROM句に指定されている表、ビューまたはマテリアライズド・ビューのすべての行が戻されます。
ノート:
この句がパーティション表またはパーティション索引のDATE列を参照している場合、データベースは、次の条件でのみパーティション・プルーニングを実行します。
-
TO_DATEファンクションで4桁書式マスクを使用して年を完全に指定した表または索引パーティションを作成した場合 -
TO_DATEファンクションで2または4桁書式マスクを使用して問合せのwhere_clauseに日付を指定した場合。
Oracle Database 21cでは、スカラー式用のマクロを作成し、where_clause内で使用できます。これは、PLSQLファンクションのコールが有効な場合です。
これらのマクロ・ファンクションをPL/SQLで定義し、SQLからコールしてマクロとして機能させる必要があります。
関連項目:
-
conditionの構文の詳細は、「条件」を参照してください。 -
「パーティションからの選択: 例」を参照してください。
hierarchical_query_clause
hierarchical_query_clauseを使用すると、階層順序で行を選択できます。
階層問合せを含むSELECT文では、SELECT構文のリスト内のLEVEL疑似列を使用できます。LEVELは、ルート・ノードには1を、ルート・ノードの子であるノードには2を、孫であるノードには3を戻します(以下同様)。階層問合せによって戻されるレベルの数値は、使用可能なユーザー・メモリーによって制限されます。
Oracleは次のように階層問合せを処理します。
-
最初に、結合(指定されている場合)が、
FROM句で指定されているか、またはWHERE句述語で指定されているかが評価されます。 -
CONNECTBY条件が評価されます。 -
残りの
WHERE句述語が評価されます。
この句を指定する場合、ORDER BYおよびGROUP BYを指定すると、CONNECT BY結果の階層順序が破棄されるため、これらの句のどちらも指定しないでください。同じ親の兄弟である行を順序付ける場合は、ORDER SIBLINGS BY句を使用します。
関連項目:
階層問合せの詳細は、「階層問合せ」を参照してください。また、「LEVEL疑似列の使用方法: 例」を参照してください。
START WITH句
階層問合せのルートとして使用される行を識別する場合の条件を指定します。conditionには、「条件」で説明されているいずれかの条件を指定できます。Oracle Databaseでは、この条件を満たすすべての行がルートとして使用されます。この句を省略した場合、表内のすべての行がルート行として使用されます。
CONNECT BY句
階層の親/子の行の関連を識別する条件を指定します。conditionには、「条件」で説明されているいずれかの条件を指定できます。ただし、親である行を参照するためのPRIOR演算子を使用する必要があります。
group_by_clause
GROUP BY句を指定すると、選択した行を各行のexprの値に基づいてグループ化し、各グループのサマリー情報を1行戻すことができます。この句にCUBEまたはROLLUP拡張要素を指定した場合、標準グループ化の他に超集合グループ化が生成されます。
GROUP BY句の式には、SELECT構文のリストに指定されている列であるかどうかにかかわらず、FROM句の表、ビューおよびマテリアライズド・ビューの列を指定できます。
GROUP BY句は行をグループ化しますが、結果セットの順序は保証しません。グループの並べ替えを行うには、ORDER BY句を使用します。
ソース表の列名とSELECTリストの列の別名が同じ場合、GROUP BYは識別子を別名ではなく列名として解釈します。
関連項目:
-
データを集計するSQLグループ化構文の詳細および例については、『Oracle Databaseデータ・ウェアハウス・ガイド』を参照してください。
-
この句の例については、「GROUP_ID」、「GROUPING」および「GROUPING_ID」を参照してください。
-
「GROUP BY句の使用方法: 例」を参照してください。
-
GROUPBY文字値を言語的に比較する方法の影響の詳細は、「言語照合の制限事項」を参照してください。 -
GROUPBY句の式の照合決定ルールは、『Oracle Databaseグローバリゼーション・サポート・ガイド』の付録Cを参照してください。
simple_grouping_clauseのROLLUP操作を使用すると、選択した行をGROUP BYで指定した式n、n-1、n-2、... 0の最初の値に基づいてグループ化し、各グループのサマリー情報を1行戻すことができます。ROLLUP操作をSUMファンクションとともに使用すると、小計値を出力できます。ROLLUPをSUMとともに使用すると、最も詳細なレベルの小計から総計までが生成されます。COUNTなどの集計ファンクションは、他の種類の超集合の出力に使用できます。
たとえば、simple_grouping_clauseのROLLUP句に式を3つ指定した場合(n=3)、操作の結果はn+1=3+1=4グループになります。
最初のn式の値でグループ化した行を標準行、その他を超集合行といいます。
関連項目:
マテリアライズド・ビューでROLLUPを使用する場合の詳細は、『Oracle Databaseデータ・ウェアハウス・ガイド』を参照してください。
CUBE操作をsimple_grouping_clauseの中で指定すると、選択された行は、指定された式のすべての可能な組合せの値に基づいてグループ化されます。グループごとに1つのサマリー情報行が戻されます。CUBE操作を使用すると、クロス集計値を出力できます。
たとえば、simple_grouping_clauseのCUBE句に式を3つ指定した場合(n=3)、操作の結果は2n = 23 = 8グループになります。n式の値でグループ化した行を標準行、その他を超集合行といいます。
関連項目:
-
マテリアライズド・ビューで
CUBEを使用する場合の詳細は、『Oracle Databaseデータ・ウェアハウス・ガイド』を参照してください。 -
「GROUP BY CUBE句の使用方法: 例」を参照してください。
GROUPING SETSは、データを複数にグループ化するGROUP BY句をさらに拡張したものです。これによって、不要な集計が排除され、効率的に集計できるようになります。必要なグループを指定すると、データベースがCUBEまたはROLLUPによって生成された集計のすべてを実行する必要がなくなります。GROUPING SETS句で指定したすべてのグループ化が計算され、UNION ALL操作で個々のグループ化の結果が組み合されます。UNION ALLは、結果セットが重複行を含むことを許可します。
GROUP BY句では、様々な方法で式を組み合せることができます。
-
複合列を指定するには、カッコで列をグループ化します。データベースは、
ROLLUP操作またはCUBE操作の計算でこれらを1つの単位として処理します。 -
グルーピング・セットの連結を指定するには、複数のグルーピング・セット、
ROLLUP操作およびCUBE操作をカンマで区切って指定すると、データベースによってこれらが結合されて1つのGROUPBY句になります。結果は、各グルーピング・セットからのグループ化のクロス積です。
関連項目:
ALL
-
ALLは予約語であるため、列名にはできず、列の別名として使用できません。 -
ALLを他のGROUP BY構文オプションとともに使用することはできません。ALLを指定する場合は、GROUP BY ALLのみが、許可されるgroup_by_clause構文となります。具体的に述べると、ROLLUP、CUBEまたはGROUPING SETSはGROUP BY ALLとともに指定できません。 -
GROUP BY ALLには、GROUP BY句内の有効なGROUP BY式ではない次のものを除き、すべての選択リスト式が含まれます。-
グループ関数を含むグループ関数または式
-
スカラー副問合せ
-
ウィンドウ関数
-
-
GROUP BY ALLでは、NULLやバインドを含め、定数である選択リスト式も除外されます。定数をスキップする主な理由は、位置別のグループ化が有効になっている場合にあいまいさを回避することです。 -
GROUP BY ALLでは、GROUP BYの選択リスト式の一部が抽出されません(式全体がGROUP BYに含まれている場合かまったく含まれていない場合)。 -
GROUP BY ALLは、ビューおよびマテリアライズド・ビューで使用できます。両方のディクショナリに格納されている定義問合せには、変換されたGROUP BY句ではなく、GROUP BY ALLが含まれます。 -
GROUP BY ALLを使用したマテリアライズド・ビューのテキスト完全一致リライトはサポートされていますが、テキスト部分一致リライトはサポートされていません。 -
GROUP BY ALLは、WITH句の問合せで使用できます。これは、GROUP BY句が許可されているどの場所でもサポートされています。 -
HAVING条件は、GROUP BY ALLとともに指定できます。 -
GROUP BY ALLは、MODEL句ではサポートされていません。これを指定すると、GROUP BY ALLはMODEL句ではサポートされていませんというエラーが発生します。 -
GROUP BY式の制限(1000または4000)は、GROUP BY ALLに適用されます。この制限を超えると、エラーが発生します。 -
GROUP BY ALLは、副問合せを定義するCREATE MATERIALIZED ZONE MAPDDLではサポートされていません。これを指定すると、ゾーンマップには、構成またはオブジェクトGROUP BY ALL句を使用できませんというエラーが発生します。
HAVING句を使用すると、指定したconditionがTRUEであるグループの行のみを戻すように制限できます。この句を省略した場合、すべてのグループのサマリー行が戻されます。
where_clauseおよびhierarchical_query_clauseの後に、GROUP BYおよびHAVINGを指定します。GROUP BYとHAVINGの両方を指定する場合は、どちらの順序でも指定できます。
Oracle Database 21cでは、スカラー式用のマクロを作成し、それをHAVING句の中で使用できます。これは、PL/SQLファンクションのコールが有効な場合です。
これらのマクロ・ファンクションをPL/SQLで定義し、SQLからコールしてマクロとして機能させる必要があります。
関連項目:
GROUP BY句の制限事項
この句には、次の制限事項があります。
-
LOB列、ネストした表またはVARRAYを
exprの一部として指定できません。 -
式には、スカラー副問合せ式を除くすべての形式が可能です。
-
group_by_clauseがオブジェクト型列を参照する場合、問合せはパラレル化されません。 -
位置別にグループ化するには、パラメータ
group_by_position_enabledをtrueに設定する必要があります。これは、デフォルトではfalseです
model_clause
model_clauseを使用すると、選択した行を多次元配列として表示して、その配列内のセルにランダムにアクセスできます。model_clauseを使用すると、一連のセル割当て(ルールと呼ばれます)を指定しておき、このルールによって個々のセルやセル範囲に対する計算を実行できます。このルールの操作の対象は問合せの結果であり、データベース表が更新されることはありません。
問合せでmodel_clauseを使用する場合、SELECT句およびORDER BY句は、model_column_clausesで定義された列のみを参照する必要があります。
関連項目:
-
詳細および例は、『Oracle Databaseデータ・ウェアハウス・ガイド』を参照してください。
-
「MODEL句: 例」を参照してください。
main_model
main_model句を使用すると、選択した行を多次元配列内で表示する方法および配列内の各セルに適用するルールを定義できます。
model_column_clauses
model_column_clausesを使用すると、問合せの列を、パーティション列、ディメンション列およびメジャー列の3つのグループに定義して分類できます。exprには、列、定数、ホスト変数、単一行ファンクション、集計ファンクションまたはこれらを含む任意の式を指定できます。exprが列の場合、列の別名(c_alias)はオプションです。exprが列でない場合、列の別名は必須です。列の別名を指定する場合、別名を使用してmodel_rules_clause、SELECTリストおよび問合せORDER BY句の列を参照する必要があります。
PARTITION BY
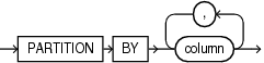
PARTITION BY句を使用すると、選択した行を列の値に基づいてパーティションに分割するために使用する列を指定できます。
DIMENSION BY
DIMENSION BY句を使用すると、パーティション内で行を識別する列を指定できます。ディメンション列およびパーティション列の値は、行のメジャー列に対する配列の索引として使用されます。
MEASURES
MEASURES句を使用すると、計算が実行可能な列を識別できます。個々の行のメジャー列は、パーティション列およびディメンション列の値を指定することによる参照および更新が可能なセルと同様に扱われます。
cell_reference_options
cell_reference_options句を使用すると、ルールでNULLまたは値なしを処理する方法および列の一意性を制約する方法を指定できます。
IGNORE NAV
IGNORE NAVを指定すると、指定したデータ型のNULLまたは値なしに対して、次の値が戻されます。
-
数値データ型: 0(ゼロ)
-
01-JAN-2000 日時データ型
-
文字データ型: 空の文字列
-
その他のデータ型: NULL
KEEP NAV
KEEP NAVを指定すると、NULLまたは値なしのセル値に対してNULLが戻されます。KEEP NAVはデフォルトです。
UNIQUE SINGLE REFERENCE
UNIQUE SINGLE REFERENCEを指定すると、問合せの結果セット全体ではなく、ルールの右側の単一セルの参照のみが一意性をチェックされます。
UNIQUE DIMENSION
UNIQUE DIMENSIONを指定すると、PARTITION BYおよびDIMENSION BYで指定した列が、問合せに対する一意キーであるかどうかが確認されます。UNIQUE DIMENSIONはデフォルトです。
model_rules_clause
model_rules_clauseを使用すると、更新するセルおよびこれらのセルを更新するルールを指定できます。オプションで、ルールを適用および処理する方法も指定できます。
各ルールは割当てを表し、左側と右側にわかれています。ルールの左側は、ルールの右側によって更新されるセルを識別します。ルールの右側は、ルールの左側で指定されたセルに割り当てられる値を評価します。
UPSERT ALL
UPSERT ALLを使用すると、ルールの左側に位置参照と記号参照の両方があるルールに対してUPSERT動作が可能になります。UPSERT ALLルールが評価されると、次のステップが実行され、アップサートするセル参照のリストが作成されます。
-
セル参照のすべてのシンボリック述語を満たす既存のセルを検索します。
-
記号参照があるディメンションのみを使用して、これらのセルの異なるディメンション値の組合せを検索します。
-
位置参照によって指定されたディメンション値を持つ、これらの値の組合せのクロス積が実行されます。
UPSERT ALLのセマンティクスの詳細は、『Oracle Databaseデータ・ウェアハウス・ガイド』を参照してください。
UPSERT
UPSERTを指定すると、ルールの左側で参照されるセルが多次元配列内に存在している場合、セルにルールが適用され、多次元配列内に存在しないセルに対しては新しい行が挿入されます。UPSERT動作は、ルールの左側で位置参照が使用され、単一セルが参照されている場合にのみ適用されます。UPSERTはデフォルトです。位置参照および単一セル参照の詳細は、「cell_assignment」を参照してください。
UPDATEおよびUPSERTは、個々のルールに同様に指定できます。特定のルールにUPDATEまたはUPSERTのいずれかを指定した場合、その指定はRULES句に指定したその他のオプションより優先されます。
ノート:
UPSERT ALL、UPSERTまたはUPDATEルールに適切な条件が含まれていない場合は、別のタイプのルールに暗黙的に変換される場合があります。
-
UPSERTルールに存在述語が含まれている場合、そのルールはUPDATEルールとして処理されます。 -
UPSERTALLルールには、その左側に少なくとも1つの存在述語と1つの修飾述語が必要です。存在述語がない場合は、UPSERTルールとして処理されます。修飾述語がない場合は、UPDATEルールとして処理されます。
UPDATE
UPDATEを指定するとルールの左側で参照されるセルが多次元配列内に存在している場合、そのセルにルールが適用されます。セルが存在しない場合、割当ては無視されます。
AUTOMATIC ORDER
AUTOMATIC ORDERを指定すると、依存順序に基づいてルールが評価されます。この場合、セルには値が1回のみ割り当てられます。
SEQUENTIAL ORDER
SEQUENTIAL ORDERを指定すると、表示されている順序でルールが評価されます。この場合、セルには値が複数回割り当てられます。SEQUENTIAL ORDERはデフォルトです。
ITERATE ... [UNTIL]
ITERATE ... [UNTIL]を使用すると、ルールを繰り返す回数を指定でき、さらに早期終了条件を指定することもできます。UNTILを囲むカッコの使用は任意です。
ITERATE ... [UNTIL]を指定した場合、ルールは表示されている順序で評価されます。model_rules_clauseでAUTOMATIC ORDERおよびITERATE ... [UNTIL]の両方が指定されている場合、エラーが戻されます。
cell_assignment
cell_assignment句は、ルールの左側に使用し、更新する1つ以上のセルを指定します。単一セルを参照するcell_assignmentは、単一セル参照といいます。複数のセルが参照される場合は、複数セル参照といいます。
model_clauseで定義したすべてのディメンション列は、cell_assignment句で修飾する必要があります。ディメンションは、記号参照または位置参照を使用して修飾できます。
記号参照は、dimension_column=constantなどのブール条件を使用して、単一のディメンション列を修飾します。位置参照では、DIMENSION BY句でディメンション列の位置が示されます。記号参照と位置参照の唯一の相違点は、NULLの処理です。
a[x=null,y=2000]のような単一セルの記号参照を使用すると、x=nullがFALSEと評価されるため、該当するセルは存在しません。ただし、a[null,2000]のような単一セルの位置参照を使用すると、null = nullがTRUEと評価されるため、xがNULL、yが2000のセルが該当します。単一セルの位置参照を使用すると、ディメンション列がNULLのセルを参照、更新および挿入できます。
ディメンション列の値を表す条件または式を指定するときは、記号参照と位置参照のどちらも使用できます。conditionに集計ファンクションやCVファンクションを含めることはできず、conditionが参照するのは単一のディメンション列でなければなりません。exprに副問合せを含めることはできません。モデル式の詳細は、「モデル式」を参照してください。
single_column_for_loop
single_column_for_loop句を使用すると、更新するセルの範囲を単一のディメンション列内で指定できます。
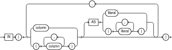
IN句を使用すると、ディメンション列の値を値のリストまたは副問合せとして指定できます。subqueryを使用するときは、次の制限事項があります。
-
相関問合せは使用できません。
-
10,000を超える行を戻すことはできません。
-
WITH句で定義された問合せを使用できません。
FROM句を使用すると、ディメンション列の値の範囲を指定できます(範囲内の増分は不連続でもかまいません)。FROM句を使用できるのは、列のデータ型が、加算および減算をサポートするものである場合のみです。INCREMENTおよびDECREMENTの値は、正の値である必要があります。
オプションで、FROM句内でLIKE句を指定することができます。LIKE句のpatternは、単一のパターン一致文字%を含む文字列です。この文字は、実行時にFROM句の現在の増分値または減分値で置き換えられます。
FORループで使用されるディメンション以外のすべてのディメンションが単一セル参照に関係する場合は、式で新しい行を挿入できます。FORループによって生成されたディメンション値の組合せの数は、MODEL句の行制限(10,000)の計算に含まれます。
multi_column_for_loop
multi_column_for_loop句を使用すると、更新するセルの範囲を複数のディメンション列にまたがって指定できます。IN句を使用すると、ディメンション列の値を複数の値のリストまたは副問合せとして指定できます。subqueryを使用するときは、次の制限事項があります。
-
相関問合せは使用できません。
-
10,000を超える行を戻すことはできません。
-
WITH句で定義された問合せを使用できません。
FORループで使用されるディメンション以外のすべてのディメンションが単一セル参照に関係する場合は、式で新しい行を挿入できます。FORループによって生成されたディメンション値の組合せの数は、MODEL句の行制限(10,000)の計算に含まれます。
関連項目:
MODEL句でFORループを使用する方法の詳細は、『Oracle Databaseデータ・ウェアハウス・ガイド』を参照してください。
order_by_clause
ORDER BY句を使用すると、ルールの左側のセルを評価する順序を指定できます。exprは、ディメンションまたはメジャー列に変換される必要があります。ORDER BY句を指定しない場合、DIMENSION BY句で指定した列の順序がデフォルトで使用されます。詳細は、「order_by_clause」を参照してください。
order_by_clauseの制限事項
モデル・ルールでのORDER BY句の使用には、次の制限事項があります。
-
model_clauseのorder_by_clauseに、SIBLINGS、positionまたはc_aliasを指定することはできません。 -
モデル・ルールの左側にこの句を指定し、右側に
FORループも指定することはできません。
expr
ルールの右側で指定されているセルの値を表す式を指定します。exprに副問合せを含めることはできません。モデル式の詳細は、「モデル式」を参照してください。
return_rows_clause
return_rows_clauseを使用すると、選択されたすべての行を戻すか、モデル・ルールによって更新された行のみを戻すかどうかを指定できます。ALLはデフォルトです。
reference_model
reference_modelは、model_clause内から複数の配列にアクセスする必要がある場合に使用します。この句は、問合せの結果に基づいて、読取り専用の多次元配列を定義します。
reference_model句の副次句は、main_model句と同じセマンティクスを持ちます。model_column_clausesおよびcell_reference_optionsを参照してください。
reference_model句の制限事項
この句には、次の制限事項があります。
-
PARTITIONBY列を参照モデルに指定することはできません。 -
参照モデルの副問合せから外部副問合せの列を参照することはできません。
集合演算子: (UNION、INTERSECT、MINUS、EXCEPT) ALL
集合演算子は、2つのSELECT文によって戻された行を1つの結果に結合します。それぞれのコンポーネント問合せで選択される列の数とデータ型は同じである必要がありますが、列の長さは異なってもかまいません。結果セット内の列の名前は、集合演算子の前にあるSELECT構文のリスト内の式の名前です。
集合演算子で3つ以上の問合せを結合する場合、隣接する問合せが左から右へ評価されます。副問合せを囲むカッコは任意指定です。この評価順序を変更する場合、カッコを使用します。
これらの演算子の詳細は、演算子の使用に関する制限も含めて「集合演算子」を参照してください。
order_by_clause
ORDER BY句を使用すると、文によって戻された行を順序付けることができます。order_by_clauseを指定しない場合、同じ問合せで取り出される行の順序が異なることがあります。
SIBLINGSキーワードは、hierarchical_query_clause(CONNECT BY)を指定する場合のみに有効です。ORDER SIBLINGS BYは階層問合せ句で指定した任意の順序を保持し、兄弟関係にある階層にorder_by_clauseを適用します。
expr
exprを使用すると、exprの値を基準にして行を順序付けることができます。式は、SELECT構文のリストの列、あるいはFROM句の表、ビューまたはマテリアライズド・ビューの列に基づきます。
position
positionを使用すると、SELECT構文のリストの指定した位置にある式の値に基づいて行を順序付けることができます。positionには整数を指定する必要があります。
order_by_clauseには複数の式を指定できます。この場合、まず、最初の式の値に基づいて行がソートされます。次に、最初の式と同じ値を持つ行が2番目の式の値に基づいてソートされる、というように処理が行われます。NULL値は昇順では最後に、降順では先頭にソートされます。問合せ結果の順序付けの詳細は、「問合せ結果のソート」を参照してください。
ASC | DESC
昇順か降順かを指定します。デフォルトはASCです。
NULLS FIRST | NULLS LAST
NULL値を含む戻された行が順序の最初にくるか、最後にくるかを指定します。
NULLS LASTは昇順のデフォルトで、NULLS FIRSTは降順のデフォルトです。
ORDER BY句の制限事項
ORDER BY句には、次の制限事項が適用されます。
-
この文中で
DISTINCT演算子を指定した場合、SELECT構文のリストに指定された列でないかぎり、この句は列を参照することはできません。 -
order_by_clauseには最大255個の式を指定できます。 -
LOB列、
LONG列、LONGRAW列、ネストした表またはVARRAYを使用して順位付けすることはできません。 -
同じ文中でgroup_by_clauseを指定する場合、この
order_by_clauseは次の式に制限されます。-
定数
-
集計ファンクション
-
分析ファンクション
-
USERファンクション、UIDファンクションおよびSYSDATEファンクション -
group_by_clauseに指定されているものと同じ式 -
グループ内のすべての行が同じ値に評価されるこれらの式を導出する式
-
関連項目:
-
「ORDER BY句の使用方法: 例」を参照してください。
-
ORDERBY文字値を言語的に比較する方法の影響の詳細は、「言語照合の制限事項」を参照してください。 -
ORDERBY句の式の照合決定ルールは、『Oracle Databaseグローバリゼーション・サポート・ガイド』の付録Cを参照してください。
window_clause
Oracle Databaseリリース21cは、query_block句でのwindow_clauseをサポートしています。
ルール
-
新しい
window_specificationを使用してexisting_window_nameを指定する場合は、次のようにします。-
existing_window_nameは、window_nameリストの以前のエントリを参照している必要があります。 -
existing_window_nameは、windowing_clauseとともに使用できません -
query_partition_clauseでは新しいウィンドウを定義できません。existing_window_nameにorder_by_clauseがある場合、新しいウィンドウ定義にorder_by_clauseは使用できません。
-
-
OVERwindow_nameは、OVER(window_name…)と同等ではないことに注意してください。OVER(window_name…)は、ウィンドウ仕様のコピーと修正を意味し、参照されたウィンドウ仕様にwindowing_clauseが含まれる場合は、拒否されます。
例
次の問合せは、window句で定義したウィンドウ名を使用して指定された表式およびウィンドウ・ファンクションの一部として指定されたwindow_clauseの使用方法を示します。
SELECT
ename, mgr,
FIRST_VALUE(sal) OVER w AS "first",
LAST_VALUE(sal) OVER w AS "last",
NTH_VALUE(sal, 2) OVER w AS "second",
NTH_VALUE(sal, 4) OVER w AS "fourth"
FROM emp
WINDOW w AS (PARTITION BY deptno ORDER BY sal ROWS UNBOUNDED PRECEDING);qualify_clause
QUALIFY句を使用すると、SELECT式リストまたはQUALIFY句で指定された条件に適切に表示できるすべてのものをフィルタできます。式リストには、集計ファンクション、列および分析ファンクションが含まれています。
QUALIFYを使用して、単一の問合せブロック内の分析ファンクションの出力をフィルタできます。
QUALIFY句と分析ファンクションの関係は、HAVING句とGROUP BY句の関係に似ています。
-
QUALIFY句は、ORDER BY句およびFETCH FIRST句の前に、SELECT文のWINDOW句の後に指定する必要があります。 -
すべての
WHERE、GROUB BY、HAVING句および分析ファンクションは、QUALIFY句が処理される前に完了します。操作の順序は次のとおりです。FROM->WHERE->GROUP BY->HAVING->WINDOW->QUALIFY->DISTINCT->ORDER BY->FETCH FIRST。
制限
qualify_clauseをMODEL句とともに使用することはできません。
row_limiting_clause
row_limiting_clauseを使用すると、問合せから返される行数を制限できます。オフセットおよび戻される行の数または割合を指定できます。この句は、上位N番のレポートを実装するために使用できます。結果の一貫性を保つには、order_by_clauseを指定して、ソート順序を決定的にします。
OFFSET
この句を使用して、行制限が開始する前にスキップする行数を指定します。offsetは、数値または数値に評価される式にする必要があります。負の数値を指定すると、offsetは、0(ゼロ)とみなされます。NULLを指定した場合や、問合せから返される行数以上の数値を指定すると、返される行数は0(ゼロ)行になります。offsetに小数部が含まれているときには、小数部分が切り捨てられます。この句を省略すると、offsetは0(ゼロ)になり、行制限の開始が最初の行になります。
制限事項
この句には、次の制限事項があります。
-
この句は、
for_update_clauseと同時には指定できません。 -
この句を指定すると、順序疑似列の
CURRVALまたはNEXTVALを、選択リストに含めることができなくなります。 -
マテリアライズド・ビューは、それを定義する問合せに
row_limiting_clauseが含まれているときには、増分リフレッシュの対象にはなりません。 -
選択リストに同一の名前の列が含まれる場合に
row_limiting_clauseを指定すると、ORA-00918エラーが発生します。このエラーは、同一の名前の列が同じ表または別の表内のいずれにあっても発生します。この問題は、一意の列の別名を同一の名前の列に指定することで解決できます。
fetch_clause
この句を使用すると、返される行数または行の割合を指定できます。この句を指定しないと、offset + 1行目から始まるすべての行が返されます。
APPROX | APPROXIMATE | EXACT
EXACTは、指定したとおりに結果を制限する場合に指定します。
近似ベクトル検索を実行するには、APPROXまたはAPPROXIMATEを指定します。
2つのキーワードAPPROXとAPPROXIMATEはシノニムです。どちらも指定しない場合、デフォルトはAPPROXIMATEです。ただし、近似ベクトル検索は、すべての構文およびセマンティック・ルールが満たされ、対応するベクトル索引が使用可能であり、問合せオプティマイザがその実行を決定した場合にのみ実行できます。これらの条件のいずれかが満たされていない場合、近似検索は実行されません。その場合、問合せは厳密な結果を返します。
近似ベクトル検索の構文およびセマンティック・ルール
-
row_limiting_partition_clauseは、指定しないでください。 -
OFFSETは、指定しないでください。 -
row_specificationのpercentPERCENT(accuracy_clauseのaccuracyPERCENTではない)は、指定しないでください。 -
WITH TIESは、指定しないでください。 -
近似行制限句は、
ORDER BY句に関連付ける必要があります。 -
ORDER BYの最初のキーは距離ファンクション(VECTOR_DISTANCEまたはバリアント)で、ベクトル列オペランドは1つのみである必要があります。 -
距離ファンクションの後に
ORDER BY式が追加される場合がありますが、その前にはありません。
FIRST | NEXT
これらのキーワードは、区別なしに使用できますが、セマンティクスを明確にするために用意されています。
row_limiting_partition_clause
partition_countで1つ以上のレベルのパーティションを指定して、各パーティションまたはすべてのレベルのパーティションの各組合せ内で行制限を適用できます。
この句は、OFFSET、percent PERCENTまたはWITH TIESとともに使用することはできません。
パーティションのレベルは無制限に指定できます。パーティション・レベルごとに、次のルールが適用されます。
-
partition_countXは、数値または数値に評価される式である必要があります。定数リテラル、バインド、非スカラー副問合せまたは相関変数として指定できます。そうでない場合は、エラーが発生します。 -
負の数を指定すると、0として処理されます。
-
partition_countXがこのレベルで使用可能なパーティションの数より大きい場合、このレベルで使用可能なすべてのパーティションから特定の行が返されます。 -
partition_countXに小数部が含まれていると、小数部分が切り捨てられます。 -
いずれかのレベルの
partition_countXがNULLの場合、0行が返されます。 -
partition_by_exprXは、定数、列、非分析ファンクション、ファンクション式、またはこれらのいずれかを含む式である必要があります。
問合せ結果が特定の順序でソートされる場合があるため、パーティション化された行制限句によってレコードが除外され、次の条件を満たすレコードのみが返されます。
-
レコードの
partition_by_expr1は、partition_by_expr1の上位partition_count1値の1つです。 -
同じ
partition_by_expr1内で、レコードのpartition_by_expr2は、partition_by_expr2の上位partition_count2値の1つです。 -
同じ
partition_by_expr1およびpartition_by_expr2内で、レコードのpartition_by_expr3は、partition_by_expr3の上位partition_count3値の1つです。 -
同じロジックがすべてのレベルのパーティションに適用されます。
-
partition_by_expr1, ...,partition_by_exprNのネストされたパーティション内では、レコードが上位のrowcount行になります。
キーワードPARTITION BYまたはPARTITIONS BYは、欠落している場合、意味のあいまいさがないかぎりオプションです。
row_specification
rowcount | percent PERCENT
rowcountを使用すると、戻す行数を指定できます。rowcountは、数値または数値に評価される式である必要があります。負の数値を指定すると、rowcountは、0(ゼロ)とみなされます。rowcountが、offset + 1行目から始まる使用可能な行数よりも大きいときには、すべての使用可能な行が返されます。rowcountに小数部が含まれているときには、小数部分が切り捨てられます。rowcountがNULLの場合、返される行数は0(ゼロ)行になります。
percent PERCENTを使用すると、選択された行の合計行数から、返される行数の割合を指定できます。percentは、数値または数値に評価される式にする必要があります。負の数値を指定すると、percentは、0(ゼロ)とみなされます。percentがNULLの場合、返される行数は0(ゼロ)行になります。
rowcountまたはpercent PERCENTを指定しないと、返される行数は1行になります。
ROW | ROWS
ROWまたはROWSのいずれかを指定します。これらのキーワードは、区別なしに使用できますが、セマンティクスを明確にするために用意されています。
これらの条件のいずれかが満たされない場合、APPROXIMATE構文が使用されていても、正確な検索が実行されます。さらに、すべての条件が満たされた場合でも、オプティマイザは他のコストベースの決定を採用し、索引を使用しないことと正確な検索を実行することを選択できます。
例: ベクトル検索問合せ
SELECT docID FROM vec_table ORDER BY VECTOR_DISTANCE(data, :query_vec) FETCH APPROX FIRST 20 ROWS ONLY;
この句は、ベクトル・コンテキストおよび非ベクトル・コンテキストで使用できます。非ベクトル・コンテキストでのパーティション行制限の例: 例および複数ベクトル検索でのパーティション行制限の例: 例を参照してください。
ONLY | WITH TIES
ONLYを指定すると、指定したとおりの行数または行数の割合が戻されます。
WITH TIESを指定すると、最後にフェッチされた行と同じソート・キーを持つ追加の行が返されます。WITH TIESは、order_by_clauseで指定する必要があります。order_by_clauseを指定しないと、追加の行は返されなくなります。
ベクトル検索およびパーティション行制限の概算には、WITH TIESを使用できません。これを指定すると、近似検索は実行されず、パーティションがある場合、文は失敗します。
関連項目:
「行制限: 例」
accuracy_clause
近似ベクトル検索の精度を調整するには、値または特定のパラメータを指定します。なんらかの理由で近似ベクトル検索が実行されない場合、この句は無視されます。
ルール
-
キーワード
WITH、TARGETおよびPERCENTはオプションであり、意味の明確化に使用されます。これらのキーワードを指定しないことを選択した場合、問合せのセマンティックに影響はありません。 -
accuracyは、数値または1から100までの数値に評価される式である必要があります。 -
ベクトル索引が使用される場合、精度(指定されている場合)は索引指定を上書きし、指定されていない場合は索引指定を継承します。ベクトル索引を使用しない場合、正確な結果が返され、精度は意味がありません。
-
PARAMETERSefsおよびnprobesは、数値または数値に評価される式である必要があります。
for_update_clause
FOR UPDATE句を使用すると、選択した行がロックされ、トランザクションが終了するまでは他のユーザーがその行をロックまたは更新することはできなくなります。この句を指定できるのは、最上位のSELECT文の中のみであり、副問合せでは指定できません。
ノート:
LOB値を更新する場合、そのLOBを含む行をロックしておく必要があります。行をロックする方法の1つに、埋込みSELECT ... FOR UPDATE文があります。この場合、プログラム言語の1つまたはDBMS_LOBパッケージを使用します。LOBの書込み前に行う行のロックの詳細は、『Oracle Database SecureFilesおよびラージ・オブジェクト開発者ガイド』を参照してください。
親表の行がロックされても、ネストした表の行はロックされません。ネストした表の行をロックする場合、ネストした表を明示的にロックする必要があります。
FOR UPDATE句の制限事項
この句には、次の制限事項があります。
-
この句を
DISTINCT演算子またはCURSOR式、集合演算子、group_by_clause、または集計ファンクションの構造体とともに指定することはできません。 -
この句がロックした表は、同じ文で参照された
LONG列および順序と同じデータベース内にある必要があります。
関連項目:
ビューでのFOR UPDATE句の使用方法
一般的に、この句はビューではサポートされません。ただし、ビューでSELECT ... FOR UPDATE問合せを実行してもエラーが発生しない場合もあります。これは、問合せオプティマイザによってビューが問合せブロックに内部的にマージされ、内部で変換された問合せに対してSELECT ... FOR UPDATEが行われる場合です。この項では、ビューに対してFOR UPDATE句を使用できる場合とできない場合の例を示します。
-
マージされたビューでの
FORUPDATE句の使用次の条件が両方とも満たされている場合、マージされたビューに対して
FORUPDATE句を使用するとエラーが発生する可能性があります。-
ビューの基礎となる列が式である
-
FORUPDATE句が列リストに適用される
次の文は、ビューの基礎となる列が式ではないため、正常に実行されます。
SELECT employee_id FROM (SELECT * FROM employees) FOR UPDATE OF employee_id;
次の文は、ビューの基礎となる列は式ですが、
FORUPDATE句が列リストに適用されないため、正常に実行されます。SELECT employee_id FROM (SELECT employee_id+1 AS employee_id FROM employees) FOR UPDATE;
次の文は、ビューの基礎となる列が式であり、
FORUPDATE句が列リストに適用されるため、失敗します。SELECT employee_id FROM (SELECT employee_id+1 AS employee_id FROM employees) FOR UPDATE OF employee_id; * Error at line 2: ORA-01733: virtual column not allowed here -
-
マージされていないビューでの
FORUPDATE句の使用ビューでは
FORUPDATE句がサポートされていないため、ビューのマージを回避する句(NO_MERGEヒントなど)、ビューのマージを禁止するパラメータ、またはビューのマージを回避する問合せ構造を使用すると、ORA-02014エラーが発生します。次の例では、
GROUPBY文によってビューのマージが回避されるため、エラーが発生します。SELECT avgsal FROM (SELECT AVG(salary) AS avgsal FROM employees GROUP BY job_id) FOR UPDATE; FROM (SELECT AVG(salary) AS avgsal FROM employees GROUP BY job_id) * ERROR at line 2: ORA-02014: cannot select FOR UPDATE from view with DISTINCT, GROUP BY, etc.
ノート:
ビューのマージのメカニズムは複雑であるため、ビューではFOR UPDATE句を使用しないことをお薦めします。
OF ... column
OF ... column句を使用すると、結合内の特定の表またはビューで選択された行のみをロックできます。OF句の列は、どの表またはビューの行をロックするかを識別する場合にのみ使用します。指定する列は重要ではありません。ただし、列の別名ではなく、実際の列名を指定する必要があります。この句を省略した場合、問合せ内のすべての表の選択された行がロックされます。
NOWAIT | WAIT
NOWAITおよびWAIT句を使用すると、他のユーザーによってロックされている行をSELECT文がロックしようとする場合に処理する方法をデータベースに指示できます。
-
NOWAITを指定すると、ロックされている場合に制御がすぐに戻ります。 -
WAITを指定すると、行が使用可能になるまでinteger秒待機した後で制御が戻されます。
WAITおよびNOWAITのどちらも指定しない場合、行が使用可能になるまで待機した後でSELECT文の結果が戻されます。
SKIP LOCKED
SKIP LOCKEDは、競合するトランザクションを処理するもう1つの方法であり、対象の行のうち一部をロックするというものです。SKIP LOCKEDを指定すると、WHERE句で指定した行のロックが試行され、他のトランザクションによってすでにロックされている行はスキップされます。この機能は、マルチコンシューマ・キュー環境で使用する目的で設計されています。キュー・コンシューマは、他のコンシューマによってロックされた行はスキップして未ロックの行を取得できるので、他のコンシューマの操作が終了するまで待つ必要はなくなります。詳細は、Oracle Databaseアドバンスド・キューイング・ユーザーズ・ガイドを参照してください。
WAIT句およびSKIP LOCKED句のノート
WAITまたはSKIP LOCKEDを指定したときに排他モードで表がロックされていると、表のロックが解除されるまではSELECT文の結果が戻りません。WAITでは、指定されている待機時間にかかわらず、SELECT FOR UPDATE句がブロックされます。
row_pattern_clause
MATCH_RECOGNIZE句を使用すると、パターン一致を実行できます。この句は、table(行パターン入力表といいます)に含まれる一連の行のパターンを認識するために使用します。MATCH_RECOGNIZE句を使用する問合せの結果を行パターン出力表といいます。
MATCH_RECOGNIZEにより、次のタスクが実行可能になります。
-
PARTITIONBY句およびORDERBY句が含まれるデータを、論理的にパーティション化し、順序付けます。 -
MEASURES句で、SQL問合せの他のパートで使用可能な式であるメジャーを定義します。 -
PATTERN句を使用して、シークする行のパターンを定義します。これらのパターンでは、正規表現構文が使用されます。これは、強力かつ表現力の豊かな機能であり、ユーザーが定義するパターン変数に適用されます。 -
行を
DEFINE句にある行パターン変数にマップするために必要な論理条件を指定します。
関連項目:
-
パターン一致の詳細は、『Oracle Databaseデータ・ウェアハウス・ガイド』を参照してください。
-
「行パターン一致: 例」を参照してください。
row_pattern_partition_by
PARTITION BYを指定すると、行パターン入力表に含まれる行を、行パターン・パーティションという論理グループに分割できます。columnを使用して、1つ以上のパーティション化列を指定します。各パーティションは、パーティション化列の値と同じ値が設定された、行パターン入力表に含まれる行のセットで構成されています。
この句を指定した場合、一致はパーティション内から検出され、他のパーティションからは検出されません。この句を指定しなかった場合、行入力表のすべての行から1つの行パターン・パーティションが構成されます。
row_pattern_order_by
ORDER BYを指定すると、各行パターン・パーティション内の行を順序付けできます。columnを使用して、順序付けする1つ以上の列を指定します。複数の列を指定した場合、Oracle Databaseはまず、最初のcolumnにおける行の値に基づいて、それらの行をソートします。次に、最初の列と同じ値を持つ行が2番目のcolumnの値に基づいてソートされる、というように処理が行われます。Oracle Databaseは、昇順でソートされた他のすべての値の後にNULLを配置します。
この句を指定しなかった場合、row_pattern_clauseの結果は非決定的になるため、問合せを実行するたびに異なる結果が返される場合があります。
row_pattern_measures
MEASURES句を使用すると、1つ以上の行パターンのメジャー列を定義できます。行パターン出力表に含まれるこれらの列には、データ分析に役立つ値が含まれています。
row_pattern_measure_column句を使用して行パターンのメジャー列を定義する場合、そのパターン・メジャー式を指定します。列内の値は、一致が見つかるたびにパターン・メジャー式を評価することによって計算されます。
row_pattern_measure_column
この句を使用すると、行パターンのメジャー列を定義できます。
-
exprにはパターン・メジャー式を指定します。「式」で説明されているように、パターン・メジャー式には次の要素のみを含めることができます。-
定数: テキスト・リテラルおよび数値リテラル
-
行パターン入力表に含まれる任意の列の参照
-
CLASSIFIER関数。行のマップ先であるプライマリ行パターン変数の名前を返します。詳細は、「row_pattern_classifier_func」を参照してください。 -
MATCH_NUMBER関数。行パターン・パーティション内の行パターン一致の連番を返します。詳細は、「row_pattern_match_num_func」を参照してください。 -
行パターンのナビゲーション関数:
PREV、NEXT、FIRSTおよびLAST。詳細は、「row_pattern_navigation_func」を参照してください。 -
行パターン集計関数: AVG、COUNT、MAX、MINまたはSUM。詳細は、「row_pattern_aggregate_func」を参照してください。
-
-
c_aliasには、パターン・メジャー式の別名を指定します。Oracle Databaseは、行パターン出力表の列ヘッダーでこの別名を使用します。ASキーワードはオプションです。別名は、SELECT...ORDERBY句など、問合せのその他の部分で使用できます。
row_pattern_rows_per_match
この句を使用すると、行パターン出力表に、各一致のサマリー・データまたは詳細データを含めるかどうかを指定できます。
-
ONEROWPERMATCHを指定すると、一致ごとに1つのサマリー行が生成されます。これはデフォルトです。 -
ALLROWSPERMATCHを指定すると、一致に複数の行が含まれる場合、その一致に含まれる行ごとに1つの出力行が生成されます。
row_pattern_skip_to
この句を使用すると、空以外の一致が見つかった後の行パターン一致を再開する場所を指定できます。
-
AFTERMATCHSKIPTONEXTROWを指定すると、現在の一致の先頭行の次の行からパターン一致が再開されます。 -
AFTERMATCHSKIPPASTLASTROWを指定すると、現在の一致の最終行の次の行からパターン一致が再開されます。これはデフォルトです。 -
AFTERMATCHSKIPTOFIRSTvariable_nameを指定すると、パターン変数variable_nameにマップされた先頭行からパターン一致が再開されます。variable_nameはDEFINE句で定義する必要があります。 -
AFTERMATCHSKIPTOLASTvariable_nameを指定すると、パターン変数variable_nameにマップされた最終行からパターン一致が再開されます。variable_nameはDEFINE句で定義する必要があります。 -
AFTERMATCHSKIPTOvariable_nameの動作は、AFTERMATCHSKIPTOLASTvariable_nameと同じです。
関連項目:
AFTER MATCH SKIP句の詳細は、『Oracle Databaseデータ・ウェアハウス・ガイド』を参照してください。
PATTERN
PATTERN句を使用すると、一致する必要のあるパターン変数、そのパターン変数の一致順序、および各パターン変数に一致する必要のある行数を定義できます。
行パターン一致は、1つの行パターン・パーティション内で連続する行のセットで構成されます。一致の各行はそれぞれ1つのパターン変数にマップされます。行とパターン変数とのマッピングは、row_pattern句に指定された正規表現に準拠している必要があり、DEFINE句のすべての条件を満たす必要があります。
ノート:
正規表現の概念と詳細についての説明は、このマニュアルでは対象外です。正規表現について十分に理解していない場合は、その他の資料を参照して理解しておくことをお薦めします。
PATTERNS句の正規表現で指定した要素の優先順位は、降順で次のとおりです。
-
行パターン要素(
row_pattern_primary句で指定されます) -
行パターン数量子(
row_pattern_quantifier句で指定されます) -
連結(
row_pattern_term句で指定されます) -
代替(
row_pattern句で指定されます)
関連項目:
PATTERN句の詳細は、『Oracle Databaseデータ・ウェアハウス・ガイド』を参照してください。
row_pattern
この句を使用すると、行パターンを指定できます。行パターンは、次のいずれかの形式の正規表現です。
-
単一の行パターン用語
たとえば:
PATTERN(A) -
行パターン、縦線および行パターン用語
たとえば:
PATTERN(A|B) -
再帰的に構成された行パターン、縦線および行パターン用語
たとえば:
PATTERN(A|B|C)
この句内の縦線は、代替を表します。代替では、複数の使用可能な正規表現のリスト内の1つの正規表現に一致させます。代替項目は、指定された順序で優先されます。たとえば、PATTERN(A|B|C)を指定した場合、Oracle DatabaseはまずAとの一致を試みます。Aが一致しない場合は、Bとの一致を試みます。Bが一致しない場合は、Cとの一致を試みます。
row_pattern_term
この句を使用すると、行パターン用語を指定できます。行パターン用語の形式は、次のいずれかです。
-
単一の行パターン・ファクタ
たとえば:
PATTERN(A) -
行パターン用語の後に行パターン・ファクタが続く形式。
たとえば:
PATTERN(A B) -
再帰的に構成された行パターン用語の後に行パターン・ファクタが続く形式
たとえば:
PATTERN(A B C)
2番目と3番目の例で使用されている構文は、連結を表します。連結は、一致の対象であるパターン内の2つ以上の項目と、それらの一致順序をリストするために使用します。たとえば、PATTERN(A B C)を指定した場合、Oracle DatabaseはまずAとの一致を試みた後、一致した行を使用してBとの一致を試み、さらに一致した行を使用してCとの一致を試みます。A、BおよびCに一致した行のみが、行パターン一致に含まれます。
row_pattern_factor
この句を使用すると、行パターン・ファクタを指定できます。行パターン・ファクタは、row_pattern_primary句を使用して指定された行パターン要素と、row_pattern_quantifier句を使用して指定されたオプションの行パターン数量子で構成されます。
row_pattern_primary
この句を使用すると、行パターン要素を指定できます。表19-1に、有効な行パターン要素とその説明を示します。
表19-1 行パターン要素
| 行パターン要素 | 説明 |
|---|---|
|
|
|
|
|
|
|
|
|
|
|
|
|
|
除外構文。 |
|
|
|
row_pattern_permute
PERMUTE句を使用すると、指定された行パターン要素の順列であるパターンを表記できます。たとえば、PATTERN (PERMUTE (A, B, C))は、次のように、3つの行パターン要素A、BおよびCのすべての順列の代替と同じです。
PATTERN (A B C | A C B | B A C | B C A | C A B | C B A)
行パターン要素は辞書編集上で展開され、並べ替える各要素は他の要素からカンマで区切る必要があります。
関連項目:
順列の詳細は、『Oracle Databaseデータ・ウェアハウス・ガイド』を参照してください。
row_pattern_quantifier
この句を使用すると、行パターン数量子を指定できます。行パターン数量子は、一致で受け入れられる反復数を定義する後置演算子です。
行パターン数量子を強欲な数量子といい、適用されている正規表現で最大限のインスタンスの一致を試みます。例外は、接尾辞として疑問符(?)を持つ行パターン数量子であり、これらを最短一致数量子といいます。これらは、適用されている正規表現で最小限のインスタンスの一致を試みます。
表19-2は、有効な行パターン数量子と、それらが一致で受け入れる反復数を示しています。この表のnおよびmは、符号なし整数を表します。
表19-2 行パターン数量子
| 行パターン数量子 | 一致で受け入れられる反復数 |
|---|---|
|
|
0以上の反復(強欲) |
|
|
0以上の反復(最短一致) |
|
|
1以上の反復(強欲) |
|
|
1以上の反復(最短一致) |
|
|
0または1個の反復(強欲) |
|
|
0または1個の反復(最短一致) |
|
|
|
|
|
|
|
|
|
|
|
|
|
|
0から |
|
|
0から |
|
|
|
関連項目:
行パターン数量子の詳細は、『Oracle Databaseデータ・ウェアハウス・ガイド』を参照してください。
row_pattern_subset_clause
SUBSET句を使用すると、1つ以上の共用体行パターン変数を指定できます。row_pattern_subset_item句を使用して、各共用体行パターン変数を宣言します。
次の句で、共用体行パターン変数を指定できます。
-
MEASURES句: 行パターンのメジャー列の式内。つまり、row_pattern_measure_column句の式expr内です。 -
DEFINE句: プライマリ・パターン変数を定義する条件内。つまり、row_pattern_definition句のcondition内です。
row_pattern_subset_item
この句を使用すると、それ自身の変数名を使って参照可能な複数のパターン変数のグループ化を作成できます。このグループ化を参照する変数名を、共用体行パターン変数といいます。
-
等号の左側にある
variable_nameには、共用体行パターン変数の名前を指定します。 -
等号の右側には、カッコで括られた個別のプライマリ行パターン変数のカンマ区切りリストを指定します。このリストに共用体行パターン変数を含めることはできません。
関連項目:
共用体行パターン変数の詳細は、『Oracle Databaseデータ・ウェアハウス・ガイド』を参照してください。
DEFINE
DEFINE句を使用すると、1つ以上の行パターン定義を指定できます。行パターン定義は、行を特定のパターン変数にマップするために満たしている必要のある条件を指定します。
DEFINE句は実行中のセマンティクスのみをサポートします。
関連項目:
-
DEFINE句の詳細は、『Oracle Databaseデータ・ウェアハウス・ガイド』を参照してください。 -
実行中のセマンティクスおよび最終セマンティクスの詳細は、『Oracle Databaseデータ・ウェアハウス・ガイド』を参照してください。
row_pattern_definition_list
この句を使用すると、1つ以上の行パターン定義を指定できます。
row_pattern_definition
この句を使用すると、行パターン定義を指定できます。行パターン定義には、行を特定のパターン変数にマップするために満たしている必要のある条件が含まれます。
-
variable_nameには、パターン変数の名前を指定します。 -
conditionには、「Conditions」の説明に従って条件を指定しますが、次の追加事項があります。conditionには、row_pattern_navigation_func::=およびrow_pattern_aggregate_func::=によって記述された任意のファンクションを含めることができます。
row_pattern_rec_func
この句は、行パターン認識関数を指定できる、次の句で構成されます。
-
row_pattern_classifier_func: この句を使用すると、CLASSIFIER関数を指定できます。この関数は、行のマップ先であるパターン変数の名前を値として持つ文字列を返します。 -
row_pattern_match_num_func: この句を使用すると、MATCH_NUMBER関数を指定できます。この関数は、行パターン・パーティション内の一致の連番を表すスケール0(ゼロ)の数値を返します。 -
row_pattern_navigation_func: この句を使用すると、行パターンのナビゲーション操作を実行する関数を指定できます。 -
row_pattern_aggregate_func: この句を使用すると、行パターンのメジャー列の式、またはプライマリ・パターン変数を定義する条件で、集計関数を指定できます。
次の句で、行パターン認識関数を指定できます。
-
MEASURES句: 行パターンのメジャー列の式内。つまり、row_pattern_measure_column句の式expr内です。 -
DEFINE句: プライマリ・パターン変数を定義する条件内。つまり、row_pattern_definition句のcondition内です。
行パターン認識関数の動作は、この関数がMEASURES句とDEFINE句のどちらに指定されたかによって異なる場合があります。これらの詳細は、各句のセマンティクス内で説明されています。
row_pattern_classifier_func
CLASSIFIER関数は、行のマップ先である変数の名前を値として持つ文字列を返します。
-
MEASURES句の場合:-
ONEROWPERMATCHが指定された場合、問合せはMEASURES句の処理時に一致の最後の行を使用するため、CLASSIFIER関数は一致の最後の行のマップ先であるパターン変数の名前を返します。 -
ALLROWSPERMATCHが指定された場合、CLASSIFIER関数は、見つかった一致の行ごとに、行のマップ先であるパターン変数の名前を返します。
一致が空である場合、つまり一致に行が含まれない場合、
CLASSIFER関数はNULLを返します。 -
-
DEFINE句では、CLASSIFIER関数は現在行のマップ先であるプライマリ・パターン変数の名前を返します。
row_pattern_match_num_func
MATCH_NUMBER関数は、行パターン・パーティション内の一致の連番を表すスケール0(ゼロ)の数値を返します。
1つの行パターン・パーティション内の一致には、見つかった順に1から順次番号が付けられます。複数の行が一致した場合は、それらすべてに同じ一致番号が割り当てられます。行パターン・パーティション間では順序付けが継承されないため、一致の番号付は行パターン・パーティションごとに1から繰り返し開始されます。
-
MEASURES句内の場合:MATCH_NUMBERを使用して、行パターン内の一致の連番を取得できます。 -
DEFINE句内の場合:MATCH_NUMBERを使用して、一致番号に依存する条件を定義できます。
row_pattern_navigation_func
この句を使用すると、次の行パターンのナビゲーション操作を実行できます。
-
row_pattern_nav_logical句のFIRSTおよびLAST関数を使用して、パターン変数にマップされる行のグループ内をナビゲートします。 -
row_pattern_nav_physical句のPREVおよびNEXT関数を使用して、行パターン・パーティションに含まれるすべての行間をナビゲートします。 -
row_pattern_nav_compound句を使用して、FIRSTまたはLAST関数をPREVまたはNEXT関数内にネストします。
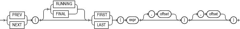
row_pattern_nav_logical
この句を使用すると、FIRSTおよびLAST関数でオプションの論理オフセットを使用することによって、パターン変数にマップされた行のグループ内をナビゲートできます。
-
FIRST関数は、式exprに指定されているパターン変数にマップされた行のグループの先頭行で評価されたときに、exprの値を返します。パターン変数に行がマップされていない場合、FIRST関数はNULLを返します。 -
LAST関数は、式exprに指定されているパターン変数にマップされた行のグループの最終行で評価されたときに、exprの値を返します。パターン変数に行がマップされていない場合、LAST関数はNULLを返します。 -
exprは、評価の対象となる式を指定するために使用します。1つ以上の行パターンの列参照が含まれている必要があります。複数の行パターンの列参照が含まれている場合、それらはすべて、同じパターン変数を参照している必要があります。 -
オプションの
offsetは、パターン変数にマップされた行のセット内で論理オフセットを指定するために使用します。FIRST関数とともに指定した場合、先頭行から昇順で数えた行数がオフセットになります。LAST関数とともに指定した場合、最終行から降順で数えた行数がオフセットになります。デフォルトのオフセットは0です。offsetには、負以外の整数を指定します。列や副問合せではなく、ランタイム定数(リテラル、バインド変数またはそれらを含む式)である必要があります。パターン変数にマップされた行の数から1を引いた値以上の値を
offsetに指定した場合、この関数はNULLを返します。
FIRSTおよびLAST関数には、次のように実行中のセマンティクスまたは最終セマンティクスを指定できます。
-
MEASURES句は、実行中のセマンティクスと最終セマンティクスをサポートします。実行中のセマンティクスは、RUNNINGによって指定できます。最終セマンティクスは、FINALによって指定できます。デフォルトはRUNNINGです。 -
DEFINE句は、実行中のセマンティクスのみをサポートします。そのため、RUNNINGを指定したか省略したかにかかわらず、実行中のセマンティクスが使用されます。FINALは指定できません。関連項目:
-
FIRSTおよびLAST関数の詳細は、『Oracle Databaseデータ・ウェアハウス・ガイド』を参照してください。 -
実行中のセマンティクスおよび最終セマンティクスの詳細は、『Oracle Databaseデータ・ウェアハウス・ガイド』を参照してください。
-
row_pattern_nav_physical
この句を使用すると、PREVおよびNEXT関数でオプションの物理オフセットを使用することによって、行パターン・パーティション内のすべての行間をナビゲートできます。
-
PREV関数は、パーティション内の前の行で評価されたときに、式exprの値を返します。パーティション内に前の行がない場合、PREV関数はNULLを返します。 -
NEXT関数は、パーティション内の次の行で評価されたときに、式exprの値を返します。パーティション内に次の行がない場合、NEXT関数はNULLを返します。 -
exprは、評価の対象となる式を指定するために使用します。1つ以上の行パターンの列参照が含まれている必要があります。複数の行パターンの列参照が含まれている場合、それらはすべて、同じパターン変数を参照している必要があります。 -
オプションの
offsetは、パーティション内の物理オフセットを指定するために使用します。PREV関数とともに指定した場合、現在の行の前にある行数を表します。NEXT関数とともに指定した場合、現在の行の後にある行数を表します。デフォルトは1です。オフセットを0に指定した場合、現在の行が評価されます。offsetには、負以外の整数を指定します。列や副問合せではなく、ランタイム定数(リテラル、バインド変数またはそれらを含む式)である必要があります。
PREVおよびNEXT関数は、常に実行中のセマンティクスを使用します。したがって、この句にはRUNNINGまたはFINALキーワードを指定できません。
関連項目:
-
PREVおよびNEXT関数の詳細は、『Oracle Databaseデータ・ウェアハウス・ガイド』を参照してください。 -
実行中のセマンティクスおよび最終セマンティクスの詳細は、『Oracle Databaseデータ・ウェアハウス・ガイド』を参照してください。
row_pattern_nav_compound
この句を使用すると、row_pattern_nav_logical句をrow_pattern_nav_physical句内にネストできます。つまり、FIRSTまたはLAST関数をPREVまたはNEXT関数内にネストできます。まずrow_pattern_nav_logicalが評価された後、その結果がrow_pattern_nav_physical句に渡されます。
これらの句のセマンティクスの詳細は、「row_pattern_nav_logical」および「row_pattern_nav_physical」を参照してください。
関連項目:
FIRSTおよびLAST関数のPREVおよびNEXT関数内へのネストの詳細は、『Oracle Databaseデータ・ウェアハウス・ガイド』を参照してください。
row_pattern_aggregate_func
この句を使用すると、行パターンのメジャー列の式、またはプライマリ・パターン変数を定義する条件で、集計関数を使用できます。
aggregate_functionには、関数AVG、COUNT、MAX、MIN、SUMのいずれかを指定します。DISTINCTキーワードはサポートされていません。
集計関数には、次のように実行中のセマンティクスまたは最終セマンティクスを指定できます。
-
MEASURES句は、実行中のセマンティクスと最終セマンティクスをサポートします。実行中のセマンティクスは、RUNNINGによって指定できます。最終セマンティクスは、FINALによって指定できます。デフォルトはRUNNINGです。 -
DEFINE句は、実行中のセマンティクスのみをサポートします。そのため、RUNNINGを指定したか省略したかにかかわらず、実行中のセマンティクスが使用されます。FINALは指定できません。
関連項目:
-
集計関数の詳細は、『Oracle Databaseデータ・ウェアハウス・ガイド』を参照してください。
-
実行中のセマンティクスおよび最終セマンティクスの詳細は、『Oracle Databaseデータ・ウェアハウス・ガイド』を参照してください。
例
SQLマクロ - スカラー値のマクロ: 例
Hello <name>の出力
PL/SQLファンクションgreetが、SQL SELECT文からコールされた場合に文字列'Hello, <name>!'を返すスカラーSQLマクロとして定義されています。
create or replace function greet(name varchar2 default 'World')
return varchar2 SQL_MACRO(Scalar) is
begin
return q'{ 'Hello, ' || name || '!' }';
end;
/greetは、次の2つの方法でコールできます。
オプション1: 明示的な引数を渡さない場合。この例では、デフォルトの引数が使用され、'Hello World'が返されます。
SELECT greet ('World') from dual;
–---------------
Hello, World! オプション2: 明示的な引数を渡す場合。この場合、渡された引数が使用され、'Hello Bob'が返されます。
SELECT greet ('Bob') from dual;
–---------------
Hello, Bob! デリミタに基づいた分割文字列
PL/SQLファンクションsplit_partは、指定されたデリミタで文字列を分割し、指定された位置の部分を返します。
create or replace function split_part(string varchar2,
delimiter varchar2,
position pls_integer)
return varchar2 SQL_MACRO(Scalar) is
begin
return q'{
regexp_substr(replace(string, delimiter||delimiter, delimiter||' '||delimiter),
'[^'||delimiter||']+', 1, position, 'imx')
}';
end;
/
SELECT split_part( sysdate, '-', 2) month from dual;
–-------------
MONTH
–----
OCT
SQLマクロ - 表値のマクロ: 例
マクロ・ファンクションbudgetは、特定のジョブに対する各部門の予算額を計算します。指定された役職を持つ各部門の従業員数を返します。
create or replace function budget(job varchar2) return varchar2 SQL_MACRO is
begin
return q'{
select deptno, sum(sal) budget
from emp
where job = budget.job
group by deptno
}';
end;
/
SELECT * FROM budget ('MANAGER');
DEPTNO BUDGET
–---------- –-------
20 2975
30 2850
10 2450
「WITH句でのPL/SQLファンクションの使用例:」
次の例では、PL/SQLファンクションget_domainをWITH句で宣言および定義します。get_domainファンクションは、URL文字列に含まれるドメイン名を返します。このファンクションでは、URL文字列はドメイン名の直前に"www"という接頭辞があり、ドメイン名は左右にあるドットで区切られていると仮定しています。SELECT文ではget_domainを使用して、oeスキーマのorders表から固有カタログのドメイン名を検出します。
WITH FUNCTION get_domain(url VARCHAR2) RETURN VARCHAR2 IS pos BINARY_INTEGER; len BINARY_INTEGER; BEGIN pos := INSTR(url, 'www.'); len := INSTR(SUBSTR(url, pos + 4), '.') - 1; RETURN SUBSTR(url, pos + 4, len); END; SELECT DISTINCT get_domain(catalog_url) FROM product_information; /
副問合せのファクタリング: 例
次の文は、結合を含む初期問合せブロックに対する問合せの名前dept_costsおよびavg_costを作成し、主問合せの本体でその問合せの名前を使用します。
WITH
dept_costs AS (
SELECT department_name, SUM(salary) dept_total
FROM employees e, departments d
WHERE e.department_id = d.department_id
GROUP BY department_name),
avg_cost AS (
SELECT SUM(dept_total)/COUNT(*) avg
FROM dept_costs)
SELECT * FROM dept_costs
WHERE dept_total >
(SELECT avg FROM avg_cost)
ORDER BY department_name;
DEPARTMENT_NAME DEPT_TOTAL
------------------------------ ----------
Sales 304500
Shipping 156400再帰的副問合せのファクタリング: 例
次の文は、従業員101の直接的または間接的な部下である従業員とそのレポート・レベルを表示します。
WITH
reports_to_101 (eid, emp_last, mgr_id, reportLevel) AS
(
SELECT employee_id, last_name, manager_id, 0 reportLevel
FROM employees
WHERE employee_id = 101
UNION ALL
SELECT e.employee_id, e.last_name, e.manager_id, reportLevel+1
FROM reports_to_101 r, employees e
WHERE r.eid = e.manager_id
)
SELECT eid, emp_last, mgr_id, reportLevel
FROM reports_to_101
ORDER BY reportLevel, eid;
EID EMP_LAST MGR_ID REPORTLEVEL
---------- ------------------------- ---------- -----------
101 Kochhar 100 0
108 Greenberg 101 1
200 Whalen 101 1
203 Mavris 101 1
204 Baer 101 1
205 Higgins 101 1
109 Faviet 108 2
110 Chen 108 2
111 Sciarra 108 2
112 Urman 108 2
113 Popp 108 2
206 Gietz 205 2
次の文は、従業員101に直接的または間接的に報告する従業員、レポート・レベル、および管理チェーンを表示します。
WITH
reports_to_101 (eid, emp_last, mgr_id, reportLevel, mgr_list) AS
(
SELECT employee_id, last_name, manager_id, 0 reportLevel,
CAST(manager_id AS VARCHAR2(2000))
FROM employees
WHERE employee_id = 101
UNION ALL
SELECT e.employee_id, e.last_name, e.manager_id, reportLevel+1,
CAST(mgr_list || ',' || manager_id AS VARCHAR2(2000))
FROM reports_to_101 r, employees e
WHERE r.eid = e.manager_id
)
SELECT eid, emp_last, mgr_id, reportLevel, mgr_list
FROM reports_to_101
ORDER BY reportLevel, eid;
EID EMP_LAST MGR_ID REPORTLEVEL MGR_LIST
---------- ------------------------- ---------- ----------- --------
101 Kochhar 100 0 100
108 Greenberg 101 1 100,101
200 Whalen 101 1 100,101
203 Mavris 101 1 100,101
204 Baer 101 1 100,101
205 Higgins 101 1 100,101
109 Faviet 108 2 100,101,108
110 Chen 108 2 100,101,108
111 Sciarra 108 2 100,101,108
112 Urman 108 2 100,101,108
113 Popp 108 2 100,101,108
206 Gietz 205 2 100,101,205
次の文は、従業員101の直接的または間接的な部下である従業員とそのレポート・レベルを表示します。これは、レポート・レベル1で停止します。
WITH
reports_to_101 (eid, emp_last, mgr_id, reportLevel) AS
(
SELECT employee_id, last_name, manager_id, 0 reportLevel
FROM employees
WHERE employee_id = 101
UNION ALL
SELECT e.employee_id, e.last_name, e.manager_id, reportLevel+1
FROM reports_to_101 r, employees e
WHERE r.eid = e.manager_id
)
SELECT eid, emp_last, mgr_id, reportLevel
FROM reports_to_101
WHERE reportLevel <= 1
ORDER BY reportLevel, eid;
EID EMP_LAST MGR_ID REPORTLEVEL
---------- ------------------------- ---------- -----------
101 Kochhar 100 0
108 Greenberg 101 1
200 Whalen 101 1
203 Mavris 101 1
204 Baer 101 1
205 Higgins 101 1
次の文は、管理レベルごとにインデントを挿入して、組織全体を表示します。
WITH
org_chart (eid, emp_last, mgr_id, reportLevel, salary, job_id) AS
(
SELECT employee_id, last_name, manager_id, 0 reportLevel, salary, job_id
FROM employees
WHERE manager_id is null
UNION ALL
SELECT e.employee_id, e.last_name, e.manager_id,
r.reportLevel+1 reportLevel, e.salary, e.job_id
FROM org_chart r, employees e
WHERE r.eid = e.manager_id
)
SEARCH DEPTH FIRST BY emp_last SET order1
SELECT lpad(' ',2*reportLevel)||emp_last emp_name, eid, mgr_id, salary, job_id
FROM org_chart
ORDER BY order1;
EMP_NAME EID MGR_ID SALARY JOB_ID
-------------------- ---------- ---------- ---------- ----------
King 100 24000 AD_PRES
Cambrault 148 100 11000 SA_MAN
Bates 172 148 7300 SA_REP
Bloom 169 148 10000 SA_REP
Fox 170 148 9600 SA_REP
Kumar 173 148 6100 SA_REP
Ozer 168 148 11500 SA_REP
Smith 171 148 7400 SA_REP
De Haan 102 100 17000 AD_VP
Hunold 103 102 9000 IT_PROG
Austin 105 103 4800 IT_PROG
Ernst 104 103 6000 IT_PROG
Lorentz 107 103 4200 IT_PROG
Pataballa 106 103 4800 IT_PROG
Errazuriz 147 100 12000 SA_MAN
Ande 166 147 6400 SA_REP
. . .
次の文は組織全体を表示し、管理レベルごとにインデントを挿入します(各レベルの順序はhire_dateによって決定します)。is_cycleの値がYに設定されるのは、その従業員のhire_dateと同じ値を持つマネージャが管理チェーン内の上位にいる場合です。
WITH
dup_hiredate (eid, emp_last, mgr_id, reportLevel, hire_date, job_id) AS
(
SELECT employee_id, last_name, manager_id, 0 reportLevel, hire_date, job_id
FROM employees
WHERE manager_id is null
UNION ALL
SELECT e.employee_id, e.last_name, e.manager_id,
r.reportLevel+1 reportLevel, e.hire_date, e.job_id
FROM dup_hiredate r, employees e
WHERE r.eid = e.manager_id
)
SEARCH DEPTH FIRST BY hire_date SET order1
CYCLE hire_date SET is_cycle TO 'Y' DEFAULT 'N'
SELECT lpad(' ',2*reportLevel)||emp_last emp_name, eid, mgr_id,
hire_date, job_id, is_cycle
FROM dup_hiredate
ORDER BY order1;
EMP_NAME EID MGR_ID HIRE_DATE JOB_ID IS_CYCLE
-------------------- ---------- ---------- --------- ---------- --------
King 100 17-JUN-03 AD_PRES N
De Haan 102 100 13-JAN-01 AD_VP N
Hunold 103 102 03-JAN-06 IT_PROG N
Austin 105 103 25-JUN-05 IT_PROG N
. . .
Kochhar 101 100 21-SEP-05 AD_VP N
Mavris 203 101 07-JUN-02 HR_REP N
Baer 204 101 07-JUN-02 PR_REP N
Higgins 205 101 07-JUN-02 AC_MGR N
Gietz 206 205 07-JUN-02 AC_ACCOUNT Y
Greenberg 108 101 17-AUG-02 FI_MGR N
Faviet 109 108 16-AUG-02 FI_ACCOUNT N
Chen 110 108 28-SEP-05 FI_ACCOUNT N
. . .
次の文は、各マネージャの配下の従業員の人数をカウントします。
WITH
emp_count (eid, emp_last, mgr_id, mgrLevel, salary, cnt_employees) AS
(
SELECT employee_id, last_name, manager_id, 0 mgrLevel, salary, 0 cnt_employees
FROM employees
UNION ALL
SELECT e.employee_id, e.last_name, e.manager_id,
r.mgrLevel+1 mgrLevel, e.salary, 1 cnt_employees
FROM emp_count r, employees e
WHERE e.employee_id = r.mgr_id
)
SEARCH DEPTH FIRST BY emp_last SET order1
SELECT emp_last, eid, mgr_id, salary, sum(cnt_employees), max(mgrLevel) mgrLevel
FROM emp_count
GROUP BY emp_last, eid, mgr_id, salary
HAVING max(mgrLevel) > 0
ORDER BY mgr_id NULLS FIRST, emp_last;
EMP_LAST EID MGR_ID SALARY SUM(CNT_EMPLOYEES) MGRLEVEL
------------------ ---------- ---------- ---------- ------------------ ----------
King 100 24000 106 3
Cambrault 148 100 11000 7 2
De Haan 102 100 17000 5 2
Errazuriz 147 100 12000 6 1
Fripp 121 100 8200 8 1
Hartstein 201 100 13000 1 1
Kaufling 122 100 7900 8 1
. . .分析ビュー: 例
次の文は、永続分析ビューsales_avを使用します。この問合せでは、time_hierのmember_name階層属性(同名の階層の別名)、およびtime_hier階層で使用される時間属性ディメンションによりディメンション化される分析ビューのsalesメジャーおよびunitsメジャーの値を選択します。選択結果がフィルタ処理され、階層のYEARレベルの結果に絞り込まれます。結果が階層順に戻されます。
SELECT time_hier.member_name as TIME,
sales,
units
FROM
sales_av HIERARCHIES(time_hier)
WHERE time_hier.level_name = 'YEAR'
ORDER BY time_hier.hier_order;
問合せの結果は次のとおりです。
TIME SALES UNITS
------ ------------- ---------
CY2011 6755115980.73 24462444
CY2012 6901682398.95 24400619
CY2013 7240938717.57 24407259
CY2014 7579746352.89 24402666
CY2015 7941102885.15 24475206一時分析ビューの例
次の文は、WITH句で一時分析ビューmy_avを定義します。この一時分析ビューは、永続分析ビューsales_avに基づいています。lag_sales計算済メジャーは、問合せ時に使用されるLAG計算です。
WITH
my_av ANALYTIC VIEW AS (
USING sales_av HIERARCHIES (time_hier)
ADD MEASURES (
lag_sales AS (LAG(sales) OVER (HIERARCHY time_hier OFFSET 1))
)
)
SELECT time_hier.member_name time, sales, lag_sales
FROM my_av HIERARCHIES (time_hier)
WHERE time_hier.level_name = 'YEAR'
ORDER BY time_hier.hier_order;問合せの結果は次のとおりです。
TIME SALES LAG_SALES
------ ---------- ----------
CY2011 6755115981 (null)
CY2012 6901682399 6755115981
CY2013 7240938718 6901682399
CY2014 7579746353 7240938718
CY2015 7941102885 7579746353次の文は、filter句を使用する一時分析ビューを定義します。
WITH
my_av ANALYTIC VIEW AS (
USING sales_av HIERARCHIES (time_hier)
FILTER FACT (
time_hier TO quarter_of_year IN (1, 2)
AND year_name IN ('CY2011', 'CY2012')
)
)
SELECT time_hier.member_name time, sales
FROM my_av HIERARCHIES (time_hier)
WHERE time_hier.level_name IN ('YEAR', 'QUARTER')
ORDER BY time_hier.hier_order;問合せの結果は次のとおりです。
TIME SALES
-------- ----------
CY2011 3340459835
Q1CY2011 1625299627
Q2CY2011 1715160208
CY2012 3397271965
Q1CY2012 1644857783
Q2CY2012 1752414182インライン分析ビューの例
次の文は、FROM句でインライン分析ビューを定義します。この一時分析ビューは、永続分析ビューsales_avに基づいています。lag_sales計算済メジャーは、問合せ時に使用されるLAG計算です。
SELECT time_hier.member_name time, sales, lag_sales
FROM
ANALYTIC VIEW (
USING sales_av HIERARCHIES (time_hier)
ADD MEASURES (
lag_sales AS (LAG(sales) OVER (HIERARCHY time_hier OFFSET 1))
)
)
WHERE time_hier.level_name = 'YEAR'
ORDER BY time_hier.hier_order;問合せの結果は次のとおりです。
TIME SALES LAG_SALES
------ ---------- ----------
CY2011 6755115981 (null)
CY2012 6901682399 6755115981
CY2013 7240938718 6901682399
CY2014 7579746353 7240938718
CY2015 7941102885 7579746353Simple Query Examples
次の文は、部門番号30の従業員表employeesの行を選択します。
SELECT * FROM employees WHERE department_id = 30 ORDER BY last_name;
次の文は、部門番号30の購買係を除くすべての従業員の名前、職種、給与および部門番号を選択します。
SELECT last_name, job_id, salary, department_id FROM employees WHERE NOT (job_id = 'PU_CLERK' AND department_id = 30) ORDER BY last_name;
次の文は、FROM句の副問合せから、すべての従業員数と給与合計がすべての部門に対して占める割合を部門ごとに戻します。
SELECT a.department_id "Department", a.num_emp/b.total_count "%_Employees", a.sal_sum/b.total_sal "%_Salary" FROM (SELECT department_id, COUNT(*) num_emp, SUM(salary) sal_sum FROM employees GROUP BY department_id) a, (SELECT COUNT(*) total_count, SUM(salary) total_sal FROM employees) b ORDER BY a.department_id;
パーティションからの選択: 例
FROM句にキーワードPARTITIONを指定することによって、パーティション表の1つのパーティションから行を選択できます。次のSQL文は、サンプル表sh.salesのsales_q2_2000パーティションへ別名を割り当て、行を取り出します。
SELECT * FROM sales PARTITION (sales_q2_2000) s WHERE s.amount_sold > 1500 ORDER BY cust_id, time_id, channel_id;
次の文は、oe.orders表から、指定した日付より早い注文が含まれる行を選択します。
SELECT * FROM orders
WHERE order_date < TO_DATE('2006-06-15', 'YYYY-MM-DD');サンプルの選択: 例
次の問合せは、oe.orders表内の注文数を推定します。
SELECT COUNT(*) * 10 FROM orders SAMPLE (10);
COUNT(*)*10
-----------
70
問合せでは推定値が戻されるため、実際の戻り値は問合せを行うたびに異なる場合があります。
SELECT COUNT(*) * 10 FROM orders SAMPLE (10);
COUNT(*)*10
-----------
80
次の問合せでは、前述の問合せにシード値を追加します。同じシード値では、常に同じ推定値が戻されます。
SELECT COUNT(*) * 10 FROM orders SAMPLE(10) SEED (1);
COUNT(*)*10
-----------
130
SELECT COUNT(*) * 10 FROM orders SAMPLE(10) SEED(4);
COUNT(*)*10
-----------
120
SELECT COUNT(*) * 10 FROM orders SAMPLE(10) SEED (1);
COUNT(*)*10
-----------
130フラッシュバック問合せの使用方法: 例
次の文は、サンプル表hr.employeesの現在の値を表示し、値を変更します。この例の目的はデモであるため、使用している時間隔が非常に短くなっています。実際の環境での時間隔は、これより長いのが一般的です。
SELECT salary FROM employees
WHERE last_name = 'Chung';
SALARY
----------
3800
UPDATE employees SET salary = 4000
WHERE last_name = 'Chung';
1 row updated.
SELECT salary FROM employees
WHERE last_name = 'Chung';
SALARY
----------
4000
更新前の値を確認するには、次のフラッシュバック問合せを使用します。
SELECT salary FROM employees
AS OF TIMESTAMP (SYSTIMESTAMP - INTERVAL '1' MINUTE)
WHERE last_name = 'Chung';
SALARY
----------
3800
過去の特定の期間における値を確認するには、次のバージョン・フラッシュバック問合せを使用します。
SELECT salary FROM employees
VERSIONS BETWEEN TIMESTAMP
SYSTIMESTAMP - INTERVAL '10' MINUTE AND
SYSTIMESTAMP - INTERVAL '1' MINUTE
WHERE last_name = 'Chung';
元の値に戻すには、フラッシュバック問合せを別のUPDATE文の副問合せとして使用します。
UPDATE employees SET salary =
(SELECT salary FROM employees
AS OF TIMESTAMP (SYSTIMESTAMP - INTERVAL '2' MINUTE)
WHERE last_name = 'Chung')
WHERE last_name = 'Chung';
1 row updated.
SELECT salary FROM employees
WHERE last_name = 'Chung';
SALARY
----------
3800GROUP BY句の使用方法: 例
次の文は、employees表内の部門ごとに最高給与と最低給与を戻します。
SELECT department_id, MIN(salary), MAX (salary)
FROM employees
GROUP BY department_id
ORDER BY department_id;
次の文は、各部門の事務員について最高給与と最低給与を戻します。
SELECT department_id, MIN(salary), MAX (salary)
FROM employees
WHERE job_id = 'PU_CLERK'
GROUP BY department_id
ORDER BY department_id;次の例では、毎年採用された従業員の数をカウントします。GROUP BY句では列の別名YEAR_HIREDが使用されるため、このグループは式TRUNC(hire_date, 'YYYY')を使用します
SELECT TRUNC(hire_date, 'YYYY') year_hired, COUNT(*) FROM employees GROUP BY year_hired ORDER BY year_hired; YEAR_HIRED COUNT(*) ----------- ---------- 01-JAN-2011 1 01-JAN-2012 7 ... 01-JAN-2017 19 01-JAN-2018 11
次の例では、採用された従業員数が日ごとにカウントされます。問合せは、EMPLOYEES内の列の名前およびSELECTリストの別名であるHIRE_DATEごとにグループ化されます。列名が優先されるため、問合せは別名ではなく列ごとにグループ化されます。
SELECT TRUNC(hire_date, 'YYYY') hire_date, COUNT(*) FROM employees GROUP BY hire_date ORDER BY hire_date; HIRE_DATE COUNT(*) ----------- ---------- 01-JAN-2011 1 01-JAN-2012 4 01-JAN-2012 1 ... 01-JAN-2018 1 01-JAN-2018 1
GROUP BY CUBE句の使用方法: 例
部門および職種のすべての組合せについて、従業員数と平均年収を戻すには、サンプル表hr.employeesおよびhr.departmentsに次の問合せを発行します。
SELECT DECODE(GROUPING(department_name), 1, 'All Departments',
department_name) AS department_name,
DECODE(GROUPING(job_id), 1, 'All Jobs', job_id) AS job_id,
COUNT(*) "Total Empl", AVG(salary) * 12 "Average Sal"
FROM employees e, departments d
WHERE d.department_id = e.department_id
GROUP BY CUBE (department_name, job_id)
ORDER BY department_name, job_id;
DEPARTMENT_NAME JOB_ID Total Empl Average Sal
------------------------------ ---------- ---------- -----------
Accounting AC_ACCOUNT 1 99600
Accounting AC_MGR 1 144000
Accounting All Jobs 2 121800
Administration AD_ASST 1 52800
. . .
Shipping ST_CLERK 20 33420
Shipping ST_MAN 5 87360GROUPING SETS句の使用方法: 例
次の例では、正確に指定された3つのグループについて集計された売上合計を検出します。
-
(channel_desc, calendar_month_desc, country_id) -
(channel_desc, country_id) -
(calendar_month_desc, country_id)
GROUPING SETS構文を指定しない場合、SQLはより複雑になり、問合せの効果は低くなります。たとえば、3つの個別の問合せを実行し、UNION演算を行うか、またはCUBE(channel_desc, calendar_month_desc, country_id)操作を指定した問合せを実行し、生成される8つのグループから5つを除去します。
SELECT channel_desc, calendar_month_desc, co.country_id,
TO_CHAR(sum(amount_sold) , '9,999,999,999') SALES$
FROM sales, customers, times, channels, countries co
WHERE sales.time_id=times.time_id
AND sales.cust_id=customers.cust_id
AND sales.channel_id= channels.channel_id
AND customers.country_id = co.country_id
AND channels.channel_desc IN ('Direct Sales', 'Internet')
AND times.calendar_month_desc IN ('2000-09', '2000-10')
AND co.country_iso_code IN ('UK', 'US')
GROUP BY GROUPING SETS(
(channel_desc, calendar_month_desc, co.country_id),
(channel_desc, co.country_id),
(calendar_month_desc, co.country_id) );
CHANNEL_DESC CALENDAR COUNTRY_ID SALES$
-------------------- -------- ---------- ----------
Internet 2000-09 52790 124,224
Direct Sales 2000-09 52790 638,201
Internet 2000-10 52790 137,054
Direct Sales 2000-10 52790 682,297
2000-09 52790 762,425
2000-10 52790 819,351
Internet 52790 261,278
Direct Sales 52790 1,320,497関連項目:
これらのファンクションの詳細は、「GROUP_ID」、「GROUPING」および「GROUPING_ID」を参照してください。
階層問合せ: 例
CONNECT BY句を指定した次の問合せは、親である行のemployee_id値が子である行のmanager_id値と等しいという階層関係を定義します。
SELECT last_name, employee_id, manager_id FROM employees CONNECT BY employee_id = manager_id ORDER BY last_name;
次のCONNECT BY句では、PRIOR演算子がemployee_id値のみに適用されます。この条件を評価するために、データベースは親である行に対してはemployee_idの値を評価し、子である行に対してはmanager_id、salaryおよびcommission_pctのそれぞれの値を評価します。
SELECT last_name, employee_id, manager_id FROM employees CONNECT BY PRIOR employee_id = manager_id AND salary > commission_pct ORDER BY last_name;
子である行を限定する場合、manager_idの値と親である行のemployee_idの値が等しく、salaryの値がcommission_pctの値より大きい必要があります。
HAVING条件の使用方法: 例
次の文は、従業員の最低給与が$5,000未満の部門についての最高給与と最低給与を戻します。
SELECT department_id, MIN(salary), MAX (salary)
FROM employees
GROUP BY department_id
HAVING MIN(salary) < 5000
ORDER BY department_id;
DEPARTMENT_ID MIN(SALARY) MAX(SALARY)
------------- ----------- -----------
10 4400 4400
30 2500 11000
50 2100 8200
60 4200 9000
次の例は、HAVING句で相関副問合せを使用して、マネージャのいない部門および部門のないマネージャを結果セットから除外しています。
SELECT department_id, manager_id
FROM employees
GROUP BY department_id, manager_id HAVING (department_id, manager_id) IN
(SELECT department_id, manager_id FROM employees x
WHERE x.department_id = employees.department_id)
ORDER BY department_id;ORDER BY句の使用方法: 例
次の文は、employees表からすべての購買係のレコードを選択し、その給与によって降順にソートします。
SELECT * FROM employees WHERE job_id = 'PU_CLERK' ORDER BY salary DESC;
次の文は、employees表から情報を選択し、最初に部門番号で昇順にソートした後、給与で降順にソートします。
SELECT last_name, department_id, salary FROM employees ORDER BY department_id ASC, salary DESC, last_name;
次の文は、前述のSELECT文と同じ情報を選択し、ORDER BY位置表記法を使用します。ここでは、まずdepartment_idで昇順に、次にsalaryで降順に、最後にlast_nameでアルファベット順に順序付けします。
SELECT last_name, department_id, salary FROM employees ORDER BY 2 ASC, 3 DESC, 1;
MODEL句: 例
次に作成するビューはサンプルのshスキーマに基づいており、この後に示す例で使用します。
CREATE OR REPLACE VIEW sales_view_ref AS
SELECT country_name country,
prod_name prod,
calendar_year year,
SUM(amount_sold) sale,
COUNT(amount_sold) cnt
FROM sales,times,customers,countries,products
WHERE sales.time_id = times.time_id
AND sales.prod_id = products.prod_id
AND sales.cust_id = customers.cust_id
AND customers.country_id = countries.country_id
AND ( customers.country_id = 52779
OR customers.country_id = 52776 )
AND ( prod_name = 'Standard Mouse'
OR prod_name = 'Mouse Pad' )
GROUP BY country_name,prod_name,calendar_year;
SELECT country, prod, year, sale
FROM sales_view_ref
ORDER BY country, prod, year;
COUNTRY PROD YEAR SALE
---------- ----------------------------------- -------- ---------
France Mouse Pad 1998 2509.42
France Mouse Pad 1999 3678.69
France Mouse Pad 2000 3000.72
France Mouse Pad 2001 3269.09
France Standard Mouse 1998 2390.83
France Standard Mouse 1999 2280.45
France Standard Mouse 2000 1274.31
France Standard Mouse 2001 2164.54
Germany Mouse Pad 1998 5827.87
Germany Mouse Pad 1999 8346.44
Germany Mouse Pad 2000 7375.46
Germany Mouse Pad 2001 9535.08
Germany Standard Mouse 1998 7116.11
Germany Standard Mouse 1999 6263.14
Germany Standard Mouse 2000 2637.31
Germany Standard Mouse 2001 6456.13
16 rows selected.
次の例では、国、製品、年および売上が格納されている列が存在するsales_view_refから多次元配列を作成します。さらに、次のことも行われます。
-
2001年のマウス・パッドの売上を含む行が存在する場合、1999年および2000年のマウス・パッドの売上を2001年のマウス・パッドの売上に割り当てます。
-
2002年のスタンダード・マウスの売上を含む行が存在しない場合、2001年のスタンダード・マウスの売上を2002年のスタンダード・マウスの売上に割り当てます。
SELECT country,prod,year,s
FROM sales_view_ref
MODEL
PARTITION BY (country)
DIMENSION BY (prod, year)
MEASURES (sale s)
IGNORE NAV
UNIQUE DIMENSION
RULES UPSERT SEQUENTIAL ORDER
(
s[prod='Mouse Pad', year=2001] =
s['Mouse Pad', 1999] + s['Mouse Pad', 2000],
s['Standard Mouse', 2002] = s['Standard Mouse', 2001]
)
ORDER BY country, prod, year;
COUNTRY PROD YEAR SALE
---------- ----------------------------------- -------- ---------
France Mouse Pad 1998 2509.42
France Mouse Pad 1999 3678.69
France Mouse Pad 2000 3000.72
France Mouse Pad 2001 6679.41
France Standard Mouse 1998 2390.83
France Standard Mouse 1999 2280.45
France Standard Mouse 2000 1274.31
France Standard Mouse 2001 2164.54
France Standard Mouse 2002 2164.54
Germany Mouse Pad 1998 5827.87
Germany Mouse Pad 1999 8346.44
Germany Mouse Pad 2000 7375.46
Germany Mouse Pad 2001 15721.9
Germany Standard Mouse 1998 7116.11
Germany Standard Mouse 1999 6263.14
Germany Standard Mouse 2000 2637.31
Germany Standard Mouse 2001 6456.13
Germany Standard Mouse 2002 6456.13
18 rows selected.
最初のルールでは、ルールの左側で記号参照が使用されているため、UPDATE動作が使用されます。ルールの左側で表される行が存在するため、メジャー列が更新されます。行が存在しない場合、何も実行されません。
2番目のルールでは、ルールの左側で位置参照が使用され、単一セルが参照されているため、UPSERT動作が使用されます。行が存在しないため、新しい行が追加され、関連するメジャー列が更新されます。行が存在する場合、メジャー列は更新されません。
関連項目:
詳細および例は、『Oracle Databaseデータ・ウェアハウス・ガイド』を参照してください。
次の例は、同じsales_view_refビューおよび分析ファンクションSUMを使用して、国および年ごとの累計(csum)を計算しています。
SELECT country, year, sale, csum
FROM
(SELECT country, year, SUM(sale) sale
FROM sales_view_ref
GROUP BY country, year
)
MODEL DIMENSION BY (country, year)
MEASURES (sale, 0 csum)
RULES (csum[any, any]=
SUM(sale) OVER (PARTITION BY country
ORDER BY year
ROWS UNBOUNDED PRECEDING)
)
ORDER BY country, year;
COUNTRY YEAR SALE CSUM
--------------- ---------- ---------- ----------
France 1998 4900.25 4900.25
France 1999 5959.14 10859.39
France 2000 4275.03 15134.42
France 2001 5433.63 20568.05
Germany 1998 12943.98 12943.98
Germany 1999 14609.58 27553.56
Germany 2000 10012.77 37566.33
Germany 2001 15991.21 53557.54
8 rows selected.行制限: 例
次の文は、employee_id値が低いほうから5人の従業員を返します。
SELECT employee_id, last_name
FROM employees
ORDER BY employee_id
FETCH FIRST 5 ROWS ONLY;
EMPLOYEE_ID LAST_NAME
----------- -------------------------
100 King
101 Kochhar
102 De Haan
103 Hunold
104 Ernst
次の文は、その次にemployee_id値が低いほうから5人の従業員を返します。
SELECT employee_id, last_name
FROM employees
ORDER BY employee_id
OFFSET 5 ROWS FETCH NEXT 5 ROWS ONLY;
EMPLOYEE_ID LAST_NAME
----------- -------------------------
105 Austin
106 Pataballa
107 Lorentz
108 Greenberg
109 Faviet
次の文は、給与が低いほうから5パーセントの従業員を返します。
SELECT employee_id, last_name, salary
FROM employees
ORDER BY salary
FETCH FIRST 5 PERCENT ROWS ONLY;
EMPLOYEE_ID LAST_NAME SALARY
----------- ------------------------- ----------
132 Olson 2100
128 Markle 2200
136 Philtanker 2200
127 Landry 2400
135 Gee 2400
119 Colmenares 2500
WITH TIESが指定されているため、次の文は、給与が低いほうから5パーセントの従業員と、前述の例で最後にフェッチされた行と同じ給与の追加の従業員が返されれます。
SELECT employee_id, last_name, salary
FROM employees
ORDER BY salary
FETCH FIRST 5 PERCENT ROWS WITH TIES;
EMPLOYEE_ID LAST_NAME SALARY
----------- ------------------------- ----------
132 Olson 2100
128 Markle 2200
136 Philtanker 2200
127 Landry 2400
135 Gee 2400
119 Colmenares 2500
131 Marlow 2500
140 Patel 2500
144 Vargas 2500
182 Sullivan 2500
191 Perkins 2500FOR UPDATE句の使用方法: 例
次の文は、employees表中のオックスフォード勤務(location_idは2500)の購買係の行をロックし、departments表中の購買係が存在するオックスフォードの部門の行をロックします。
SELECT e.employee_id, e.salary, e.commission_pct FROM employees e, departments d WHERE job_id = 'SA_REP' AND e.department_id = d.department_id AND location_id = 2500 ORDER BY e.employee_id FOR UPDATE;
次の文は、employees表中のオックスフォード勤務の購買係の行のみをロックします。departments表中の行はロックされません。
SELECT e.employee_id, e.salary, e.commission_pct FROM employees e JOIN departments d USING (department_id) WHERE job_id = 'SA_REP' AND location_id = 2500 ORDER BY e.employee_id FOR UPDATE OF e.salary;
WITH CHECK OPTION句の使用方法: 例
次の文は、3番目に挿入される値が副問合せwhere_clauseの条件に違反していても有効です。
INSERT INTO (SELECT department_id, department_name, location_id FROM departments WHERE location_id < 2000) VALUES (9999, 'Entertainment', 2500);
ただし、次の文はWITH CHECK OPTION句を含むため、無効になります。
INSERT INTO (SELECT department_id, department_name, location_id
FROM departments WHERE location_id < 2000 WITH CHECK OPTION)
VALUES (9999, 'Entertainment', 2500);
*
ERROR at line 2:
ORA-01402: view WITH CHECK OPTION where-clause violation
oe.orders表には、注文が発注された日時(order_date)、発注方法(order_mode)および注文の合計数(order_total)に関する情報とその他の情報が含まれています。次の例は、PIVOT句を使用して、order_mode値を列にピボットし、処理中にorder_totalデータを集計して発注モードごとの年間合計を取得する方法を示します。
CREATE TABLE pivot_table AS
SELECT * FROM
(SELECT EXTRACT(YEAR FROM order_date) year, order_mode, order_total FROM orders)
PIVOT
(SUM(order_total) FOR order_mode IN ('direct' AS Store, 'online' AS Internet));
SELECT * FROM pivot_table ORDER BY year;
YEAR STORE INTERNET
---------- ---------- ----------
2004 5546.6
2006 371895.5 100056.6
2007 1274078.8 1271019.5
2008 252108.3 393349.4
UNPIVOT句では、入力列ヘッダーが1つ以上の記述子列の値として出力され、入力列値が1つ以上のメジャー列の値として出力されるように、指定した列を変換します。次に示す最初の問合せでは、デフォルトでNULLが除外されています。2番目の問合せは、INCLUDE NULLS句を使用してNULLを組み込むことができることを示しています。
SELECT * FROM pivot_table
UNPIVOT (yearly_total FOR order_mode IN (store AS 'direct',
internet AS 'online'))
ORDER BY year, order_mode;
YEAR ORDER_ YEARLY_TOTAL
---------- ------ ------------
2004 direct 5546.6
2006 direct 371895.5
2006 online 100056.6
2007 direct 1274078.8
2007 online 1271019.5
2008 direct 252108.3
2008 online 393349.4
7 rows selected.
SELECT * FROM pivot_table
UNPIVOT INCLUDE NULLS
(yearly_total FOR order_mode IN (store AS 'direct', internet AS 'online'))
ORDER BY year, order_mode;
YEAR ORDER_ YEARLY_TOTAL
---------- ------ ------------
2004 direct 5546.6
2004 online
2006 direct 371895.5
2006 online 100056.6
2007 direct 1274078.8
2007 online 1271019.5
2008 direct 252108.3
2008 online 393349.4
8 rows selected.結合問合せの使用方法: 例
次の例では、問合せで表を結合する様々な方法を示します。最初の例では、等価結合は、それぞれの従業員の名前と職種、およびその従業員が属する部門の番号と名前を戻します。
SELECT last_name, job_id, departments.department_id, department_name FROM employees, departments WHERE employees.department_id = departments.department_id ORDER BY last_name, job_id; LAST_NAME JOB_ID DEPARTMENT_ID DEPARTMENT_NAME ------------------- ---------- ------------- ---------------------- Abel SA_REP 80 Sales Ande SA_REP 80 Sales Atkinson ST_CLERK 50 Shipping Austin IT_PROG 60 IT . . .
従業員名およびジョブは部門名と異なる表に格納されているため、このデータを戻すには結合を使用する必要があります。Oracle Databaseでは、次の結合条件に従って2つの表の行が結合されます。
employees.department_id = departments.department_id
次の等価結合は、すべての販売マネージャの名前、職種、部門番号および部門名を戻します。
SELECT last_name, job_id, departments.department_id, department_name FROM employees, departments WHERE employees.department_id = departments.department_id AND job_id = 'SA_MAN' ORDER BY last_name; LAST_NAME JOB_ID DEPARTMENT_ID DEPARTMENT_NAME ------------------- ---------- ------------- ----------------------- Cambrault SA_MAN 80 Sales Errazuriz SA_MAN 80 Sales Partners SA_MAN 80 Sales Russell SA_MAN 80 Sales Zlotkey SA_MAN 80 Sales
この問合せは、次のwhere_clause条件を使用して'SA_MAN'というjob値を持つ行のみを戻すこと以外は、前述の例と同じです。
副問合せの使用方法: 例
次の文は、従業員'Lorentz'と同じ部門で働く従業員を判断します。
SELECT last_name, department_id FROM employees
WHERE department_id =
(SELECT department_id FROM employees
WHERE last_name = 'Lorentz')
ORDER BY last_name, department_id;
次の文は、employees表の職種を変更した(job_history表に示される)すべての従業員の給与を10%上げます。
UPDATE employees
SET salary = salary * 1.1
WHERE employee_id IN (SELECT employee_id FROM job_history);
次の文は、departments表から3つの列のみを伴って新しい表new_departmentsを作成します。
CREATE TABLE new_departments (department_id, department_name, location_id) AS SELECT department_id, department_name, location_id FROM departments;
自己結合の使用方法: 例
次の問合せは、自己結合を使用して、それぞれの従業員の名前およびその従業員の上司の名前を戻します。出力を短くするためにWHERE句が追加されています。
SELECT e1.last_name||' works for '||e2.last_name
"Employees and Their Managers"
FROM employees e1, employees e2
WHERE e1.manager_id = e2.employee_id
AND e1.last_name LIKE 'R%'
ORDER BY e1.last_name;
Employees and Their Managers
-------------------------------
Rajs works for Mourgos
Raphaely works for King
Rogers works for Kaufling
Russell works for King
この問合せの結合条件では、サンプル表employeesに対する別名e1およびe2を使用します。
e1.manager_id = e2.employee_id
外部結合の使用方法: 例
次の例では、パーティション化された外部結合によって行のデータの欠損を補完し、分析ファンクションの指定および信頼性の高いレポートの書式設定を簡単にする方法を示します。この例では、結合で使用する小規模なデータ表を最初に作成します。
SELECT d.department_id, e.last_name FROM departments d LEFT OUTER JOIN employees e ON d.department_id = e.department_id ORDER BY d.department_id, e.last_name;
これは、次に示す以前のOracle Databaseの外部結合の構文と同じ問合せです。
SELECT d.department_id, e.last_name FROM departments d, employees e WHERE d.department_id = e.department_id(+) ORDER BY d.department_id, e.last_name;
この構文ではなく、前述の例で示した、より柔軟性が高いFROM句の結合構文を使用することをお薦めします。
左側外部結合では、従業員のいない部門を含むすべての部門が戻されます。右側外側結合が指定された同一文では、どの部門にも割り当てられていない従業員を含むすべての従業員が戻されます。
ノート:
前述の例の従業員表には、従業員Zeussが追加されていますが、この従業員はサンプル・データには含まれません。
SELECT d.department_id, e.last_name
FROM departments d RIGHT OUTER JOIN employees e
ON d.department_id = e.department_id
ORDER BY d.department_id, e.last_name;
DEPARTMENT_ID LAST_NAME
------------- -------------------------
. . .
110 Gietz
110 Higgins
Grant
Zeuss
この結果からは、GrantとZeussという従業員のdepartment_idがNULLであるのか、department_idがdepartments表に存在しないのかは不明です。これを確認するには、完全な外部結合が必要です。
SELECT d.department_id as d_dept_id, e.department_id as e_dept_id,
e.last_name
FROM departments d FULL OUTER JOIN employees e
ON d.department_id = e.department_id
ORDER BY d.department_id, e.last_name;
D_DEPT_ID E_DEPT_ID LAST_NAME
---------- ---------- -------------------------
. . .
110 110 Gietz
110 110 Higgins
. . .
260
270
999 Zeuss
Grant
この例の列名は、結合状態にある両方の表で同じであるため、結合構文のUSING句を指定することで、共通列機能も使用できます。出力は、一致する2つのdepartment_id列がUSING句によって結合されることを除き、前述の例と同じです。
SELECT department_id AS d_e_dept_id, e.last_name
FROM departments d FULL OUTER JOIN employees e
USING (department_id)
ORDER BY department_id, e.last_name;
D_E_DEPT_ID LAST_NAME
----------- -------------------------
. . .
110 Higgins
110 Gietz
. . .
260
270
999 Zeuss
Grantパーティション化された外部結合の使用方法: 例
次の例では、パーティション化された外部結合によって行の欠損を補完し、分析計算の指定および信頼性の高いレポートの書式設定を簡単にする方法を示します。この例では、結合で使用する単純な表を最初に作成し、移入します。
CREATE TABLE inventory (time_id DATE,
product VARCHAR2(10),
quantity NUMBER);
INSERT INTO inventory VALUES (TO_DATE('01/04/01', 'DD/MM/YY'), 'bottle', 10);
INSERT INTO inventory VALUES (TO_DATE('06/04/01', 'DD/MM/YY'), 'bottle', 10);
INSERT INTO inventory VALUES (TO_DATE('01/04/01', 'DD/MM/YY'), 'can', 10);
INSERT INTO inventory VALUES (TO_DATE('04/04/01', 'DD/MM/YY'), 'can', 10);
SELECT times.time_id, product, quantity FROM inventory
PARTITION BY (product)
RIGHT OUTER JOIN times ON (times.time_id = inventory.time_id)
WHERE times.time_id BETWEEN TO_DATE('01/04/01', 'DD/MM/YY')
AND TO_DATE('06/04/01', 'DD/MM/YY')
ORDER BY 2,1;
TIME_ID PRODUCT QUANTITY
--------- ---------- ----------
01-APR-01 bottle 10
02-APR-01 bottle
03-APR-01 bottle
04-APR-01 bottle
05-APR-01 bottle
06-APR-01 bottle 10
01-APR-01 can 10
02-APR-01 can
03-APR-01 can
04-APR-01 can 10
05-APR-01 can
06-APR-01 can
12 rows selected.
これで、製品ディメンションの各パーティションのデータの密度は、時間ディメンションに沿ってより密になります。ただし、各パーティションに新しく追加された行のquantity列はそれぞれNULLです。さらに役立つようにするには、NULL値を、時間順でそれより前にあるNULL以外の値で置き換えます。このことを実現するには、分析ファンクションLAST_VALUEを問合せ結果に適用します。
SELECT time_id, product, LAST_VALUE(quantity IGNORE NULLS)
OVER (PARTITION BY product ORDER BY time_id) quantity
FROM ( SELECT times.time_id, product, quantity
FROM inventory PARTITION BY (product)
RIGHT OUTER JOIN times ON (times.time_id = inventory.time_id)
WHERE times.time_id BETWEEN TO_DATE('01/04/01', 'DD/MM/YY')
AND TO_DATE('06/04/01', 'DD/MM/YY'))
ORDER BY 2,1;
TIME_ID PRODUCT QUANTITY
--------- ---------- ----------
01-APR-01 bottle 10
02-APR-01 bottle 10
03-APR-01 bottle 10
04-APR-01 bottle 10
05-APR-01 bottle 10
06-APR-01 bottle 10
01-APR-01 can 10
02-APR-01 can 10
03-APR-01 can 10
04-APR-01 can 10
05-APR-01 can 10
06-APR-01 can 10
12 rows selected.関連項目:
時系列計算における欠損補完の詳細および使用例については、『Oracle Databaseデータ・ウェアハウス・ガイド』を参照してください。
アンチ結合の使用方法: 例
次の例では、10000以上の給与をもらっている従業員がいない部門のリストを選択します:
SELECT department_name FROM hr.departments d
WHERE NOT EXISTS (SELECT asdf FROM hr.employees e
WHERE e.department_id = d.department_id
AND e.salary >= 10000)
ORDER BY department_name;セミ結合の使用方法: 例
次の例では、副問合せに一致する行がemployees表に多数存在する場合でも、departments表から1つの行のみが戻されます。employeesのsalary列に索引が定義されていない場合、セミ結合を使用すると、問合せのパフォーマンスが向上します。
SELECT * FROM departments
WHERE EXISTS
(SELECT * FROM employees
WHERE departments.department_id = employees.department_id
AND employees.salary > 2500)
ORDER BY department_name;CROSS APPLYおよびOUTER APPLY結合の使用例
次の文は、cross_outer_apply_clauseのCROSS APPLY句を使用します。この結合は、結合(departments)の左側にある表の行のうち、結合の右側にあるインライン・ビューから結果を生成する行のみを返します。つまり、この結合は従業員が1人以上の部門のみを返します。WHERE句は、Marketing、OperationsおよびPublic Relations部門のみが含まれるように結果セットを制限します。ただし、Operations部門には従業員がいないため、この部門は結果セットに含まれません。
SELECT d.department_name, v.employee_id, v.last_name
FROM departments d CROSS APPLY (SELECT * FROM employees e
WHERE e.department_id = d.department_id) v
WHERE d.department_name IN ('Marketing', 'Operations', 'Public Relations')
ORDER BY d.department_name, v.employee_id;
DEPARTMENT_NAME EMPLOYEE_ID LAST_NAME
------------------------------ ----------- -------------------------
Marketing 201 Hartstein
Marketing 202 Fay
Public Relations 204 Baer
次の文では、cross_outer_apply_clauseのOUTER APPLY句を使用します。この結合は、結合の右側にあるインライン・ビューから結果を生成するかどうかにかかわらず、結合(departments)の左側にある表のすべての行を返します。つまり、この結合は従業員がいるかどうかにかかわらず、すべての部門を返します。WHERE句は、Marketing、OperationsおよびPublic Relations部門のみが含まれるように結果セットを制限します。Operations部門には従業員がいませんが、この部門も結果セットに含まれます。
SELECT d.department_name, v.employee_id, v.last_name
FROM departments d OUTER APPLY (SELECT * FROM employees e
WHERE e.department_id = d.department_id) v
WHERE d.department_name IN ('Marketing', 'Operations', 'Public Relations')
ORDER by d.department_name, v.employee_id;
DEPARTMENT_NAME EMPLOYEE_ID LAST_NAME
------------------------------ ----------- -------------------------
Marketing 201 Hartstein
Marketing 202 Fay
Operations
Public Relations 204 BaerLATERALインライン・ビューの使用方法: 例
次の例は、employee_idをタイ・ブレーカとして、各部門で最も給与が高い従業員を検索するスカラー副問合せを示しています:
SELECT department_name,
(SELECT last_name FROM
(SELECT last_name FROM hr.employees e
WHERE e.department_id = d.department_id
ORDER BY e.salary DESC, e.employee_id ASC)
WHERE ROWNUM = 1) highest_paid
FROM hr.departments d;最も給与が高い従業員の姓だけでなく、first_name、salaryおよびemailも別々の列として表示する場合は、前述のアプローチで4つの個別のスカラー副問合せが必要になります。この場合、LATERAL結合と使用すると、スカラーに似た副問合せを拡張して任意の数の列およびその他の表現を返すことができます。それらは、通常の結合、SELECTリスト、WHERE句、ORDER BY、GROUP BYなどから参照できる場所で任意の回数だけ参照できます。次に例を示します:
SELECT d.department_name, e2.last_name, e2.first_name, e2.salary, e2.email
FROM hr.departments d,
LATERAL (SELECT * FROM
(SELECT * FROM hr.employees e
WHERE e.department_id = d.department_id
ORDER BY e.salary DESC, e.employee_id ASC)
WHERE ROWNUM = 1) e2;表のコレクション: 例
DML操作をネストした表に対して実行できるのは、これらの表が表の列として定義されている場合のみです。したがって、INSERT、DELETEまたはUPDATE文のquery_table_expr_clauseがtable_collection_expressionの場合、コレクション式は、TABLEコレクション式を使用して表のネストした表の列を選択する副問合せである必要があります。次の例は、次の使用例に基づいています。
データベースに、department_id列、location_id列、manager_id列を持つhr_info表と、マネージャごとのすべての従業員のlast_name列、department_id列およびsalary列を持つネストした表型peopleの列が含まれていると仮定します。
CREATE TYPE people_typ AS OBJECT ( last_name VARCHAR2(25), department_id NUMBER(4), salary NUMBER(8,2)); / CREATE TYPE people_tab_typ AS TABLE OF people_typ; / CREATE TABLE hr_info ( department_id NUMBER(4), location_id NUMBER(4), manager_id NUMBER(6), people people_tab_typ) NESTED TABLE people STORE AS people_stor_tab; INSERT INTO hr_info VALUES (280, 1800, 999, people_tab_typ());
次の例では、hr_info表の部門番号280のネストした表peopleの列に値を挿入します。
INSERT INTO TABLE(SELECT h.people FROM hr_info h
WHERE h.department_id = 280)
VALUES ('Smith', 280, 1750);
次の例では、部門番号280のネストした表peopleを更新します。
UPDATE TABLE(SELECT h.people FROM hr_info h WHERE h.department_id = 280) p SET p.salary = p.salary + 100;
次の例では、部門番号280のネストした表peopleを削除します。
DELETE TABLE(SELECT h.people FROM hr_info h WHERE h.department_id = 280) p WHERE p.salary > 1700;
ネストした表の列からデータを選択するには、TABLEコレクション式を使用して、ネストした表を表の列として扱います。このプロセスをコレクション・ネスト解除と呼びます。
次の文を使用すると、前述の例で作成したhr_infoからすべての行を取得し、hr_infoのネストした表peopleの列からすべての行を取得できます。
SELECT t1.department_id, t2.* FROM hr_info t1, TABLE(t1.people) t2 WHERE t2.department_id = t1.department_id;
peopleは、hr_infoのネストした表の列ではなく、last_name、department_id、address、hiredateおよびsalary列と別の表であると仮定します。次の文を使用して、前述の例と同じ行を抽出できます。
SELECT t1.department_id, t2.*
FROM hr_info t1, TABLE(CAST(MULTISET(
SELECT t3.last_name, t3.department_id, t3.salary
FROM people t3
WHERE t3.department_id = t1.department_id)
AS people_tab_typ)) t2;
最後に、peopleはhr_info表のネストした表の列でも、表そのものでもないと仮定します。かわりに、すべての従業員の名前、部門および給与を様々な情報から抽出するpeople_funcファンクションを作成しておきます。次の問合せを使用して、前述の例と同様の情報を得ることができます。
SELECT t1.department_id, t2.* FROM hr_info t1, TABLE(CAST (people_func( ... ) AS people_tab_typ)) t2;
関連項目:
コレクション・ネスト解除の別の例は、『Oracle Databaseオブジェクト・リレーショナル開発者ガイド』を参照してください。
LEVEL疑似列の使用方法: 例
次の文は、階層順序内のすべての従業員を戻します。職種がAD_VPである従業員がルート行となるように定義されています。また、親である行の従業員番号が上司の従業員番号となるように、親である行の子である行が定義されています。
SELECT LPAD(' ',2*(LEVEL-1)) || last_name org_chart,
employee_id, manager_id, job_id
FROM employees
START WITH job_id = 'AD_VP'
CONNECT BY PRIOR employee_id = manager_id;
ORG_CHART EMPLOYEE_ID MANAGER_ID JOB_ID
------------------ ----------- ---------- ----------
Kochhar 101 100 AD_VP
Greenberg 108 101 FI_MGR
Faviet 109 108 FI_ACCOUNT
Chen 110 108 FI_ACCOUNT
Sciarra 111 108 FI_ACCOUNT
Urman 112 108 FI_ACCOUNT
Popp 113 108 FI_ACCOUNT
Whalen 200 101 AD_ASST
Mavris 203 101 HR_REP
Baer 204 101 PR_REP
Higgins 205 101 AC_MGR
Gietz 206 205 AC_ACCOUNT
De Haan 102 100 AD_VP
Hunold 103 102 IT_PROG
Ernst 104 103 IT_PROG
Austin 105 103 IT_PROG
Pataballa 106 103 IT_PROG
Lorentz 107 103 IT_PROG
次の文は、前述の例とほぼ同じですが、職種がFI_MGRである従業員を選択しません。
SELECT LPAD(' ',2*(LEVEL-1)) || last_name org_chart,
employee_id, manager_id, job_id
FROM employees
WHERE job_id != 'FI_MGR'
START WITH job_id = 'AD_VP'
CONNECT BY PRIOR employee_id = manager_id;
ORG_CHART EMPLOYEE_ID MANAGER_ID JOB_ID
------------------ ----------- ---------- ----------
Kochhar 101 100 AD_VP
Faviet 109 108 FI_ACCOUNT
Chen 110 108 FI_ACCOUNT
Sciarra 111 108 FI_ACCOUNT
Urman 112 108 FI_ACCOUNT
Popp 113 108 FI_ACCOUNT
Whalen 200 101 AD_ASST
Mavris 203 101 HR_REP
Baer 204 101 PR_REP
Higgins 205 101 AC_MGR
Gietz 206 205 AC_ACCOUNT
De Haan 102 100 AD_VP
Hunold 103 102 IT_PROG
Ernst 104 103 IT_PROG
Austin 105 103 IT_PROG
Pataballa 106 103 IT_PROG
Lorentz 107 103 IT_PROG
Greenbergが管理する従業員は戻されますが、マネージャGreenbergは戻されません。
次の文も、前述の例と同じですが、LEVEL疑似列を使用して管理階層の最初の2つのレベルのみを選択します。
SELECT LPAD(' ',2*(LEVEL-1)) || last_name org_chart,
employee_id, manager_id, job_id
FROM employees
START WITH job_id = 'AD_PRES'
CONNECT BY PRIOR employee_id = manager_id AND LEVEL <= 2;
ORG_CHART EMPLOYEE_ID MANAGER_ID JOB_ID
------------------ ----------- ---------- ----------
King 100 AD_PRES
Kochhar 101 100 AD_VP
De Haan 102 100 AD_VP
Raphaely 114 100 PU_MAN
Weiss 120 100 ST_MAN
Fripp 121 100 ST_MAN
Kaufling 122 100 ST_MAN
Vollman 123 100 ST_MAN
Mourgos 124 100 ST_MAN
Russell 145 100 SA_MAN
Partners 146 100 SA_MAN
Errazuriz 147 100 SA_MAN
Cambrault 148 100 SA_MAN
Zlotkey 149 100 SA_MAN
Hartstein 201 100 MK_MAN分散問合せの使用方法: 例
この例では、ローカル・データベース上のdepartments表をremoteデータベース上のemployees表と結合する問合せを示します。
SELECT last_name, department_name FROM employees@remote, departments WHERE employees.department_id = departments.department_id;
相関副問合せの使用方法: 例
次の例では、相関副問合せの一般的な構文を示します。
SELECT select_list FROM table1 t_alias1 WHERE expr operator (SELECT column_list FROM table2 t_alias2 WHERE t_alias1.column operator t_alias2.column); UPDATE table1 t_alias1 SET column = (SELECT expr FROM table2 t_alias2 WHERE t_alias1.column = t_alias2.column); DELETE FROM table1 t_alias1 WHERE column operator (SELECT expr FROM table2 t_alias2 WHERE t_alias1.column = t_alias2.column);
次の文は、部門内の平均給与を超える給与を支給されている従業員の情報を戻します。給与情報が格納されているemployees表に別名を割り当て、相関副問合せではその別名を使用します。
SELECT department_id, last_name, salary
FROM employees x
WHERE salary > (SELECT AVG(salary)
FROM employees
WHERE x.department_id = department_id)
ORDER BY department_id;
親問合せでは、相関副問合せを使用して同一部門の従業員の平均給与を、employees表の行ごとに計算します。相関副問合せは、employees表の各行について次のステップを実行します。
-
行の
department_idを判断します。 -
department_idに基づいて親問合せが評価されます。 -
行の部門の平均給与より高い給与の行がある場合は、その行を戻します。
副問合せは、employees表の各行につき1回ずつ評価されます。
DUAL表からの選択: 例
次の文は、現在の日付を戻します。
SELECT CURRENT_DATE FROM DUAL;
employees表からCURRENT_DATEを選択することもできますが、employees表のすべての行ごとに1件ずつ14行の同じCURRENT_DATEが戻されます。このため、DUALから選択する方が便利です。
リリース23以降では、次の例に示すようにオプションのFROM句を省略できます。
SELECT CURRENT_DATE;
順序値の選択: 例
次の文は、employees_seq順序を増加させて新しい値を戻します。
SELECT employees_seq.nextval
FROM DUAL;
次の文は、employees_seqの現在値を選択します。
SELECT employees_seq.currval
FROM DUAL; 行パターン一致: 例
この例では、行パターン一致を使用して株価データを問い合せます。次の文では、表Tickerを作成し、株価データを表に挿入します。
CREATE TABLE Ticker (SYMBOL VARCHAR2(10), tstamp DATE, price NUMBER);
INSERT INTO Ticker VALUES('ACME', '01-Apr-11', 12);
INSERT INTO Ticker VALUES('ACME', '02-Apr-11', 17);
INSERT INTO Ticker VALUES('ACME', '03-Apr-11', 19);
INSERT INTO Ticker VALUES('ACME', '04-Apr-11', 21);
INSERT INTO Ticker VALUES('ACME', '05-Apr-11', 25);
INSERT INTO Ticker VALUES('ACME', '06-Apr-11', 12);
INSERT INTO Ticker VALUES('ACME', '07-Apr-11', 15);
INSERT INTO Ticker VALUES('ACME', '08-Apr-11', 20);
INSERT INTO Ticker VALUES('ACME', '09-Apr-11', 24);
INSERT INTO Ticker VALUES('ACME', '10-Apr-11', 25);
INSERT INTO Ticker VALUES('ACME', '11-Apr-11', 19);
INSERT INTO Ticker VALUES('ACME', '12-Apr-11', 15);
INSERT INTO Ticker VALUES('ACME', '13-Apr-11', 25);
INSERT INTO Ticker VALUES('ACME', '14-Apr-11', 25);
INSERT INTO Ticker VALUES('ACME', '15-Apr-11', 14);
INSERT INTO Ticker VALUES('ACME', '16-Apr-11', 12);
INSERT INTO Ticker VALUES('ACME', '17-Apr-11', 14);
INSERT INTO Ticker VALUES('ACME', '18-Apr-11', 24);
INSERT INTO Ticker VALUES('ACME', '19-Apr-11', 23);
INSERT INTO Ticker VALUES('ACME', '20-Apr-11', 22);
次の問合せでは、行パターン一致を使用し、株価が底値まで下降した後に上昇したすべての事例を検索します。これは一般的にV字形と呼ばれます。問合せでONE ROW PER MATCHが指定され、3つの一致が見つかったため、出力結果には3つの行のみが含まれます。
SELECT *
FROM Ticker MATCH_RECOGNIZE (
PARTITION BY symbol
ORDER BY tstamp
MEASURES STRT.tstamp AS start_tstamp,
LAST(DOWN.tstamp) AS bottom_tstamp,
LAST(UP.tstamp) AS end_tstamp
ONE ROW PER MATCH
AFTER MATCH SKIP TO LAST UP
PATTERN (STRT DOWN+ UP+)
DEFINE
DOWN AS DOWN.price < PREV(DOWN.price),
UP AS UP.price > PREV(UP.price)
) MR
ORDER BY MR.symbol, MR.start_tstamp;
SYMBOL START_TST BOTTOM_TS END_TSTAM
---------- --------- --------- ---------
ACME 05-APR-11 06-APR-11 10-APR-11
ACME 10-APR-11 12-APR-11 13-APR-11
ACME 14-APR-11 16-APR-11 18-APR-11非ベクトル・コンテキストでのパーティション行制限: 例
次の例では、給与が最も高い上位2つの部門、および選択した各部門内で給与が最も高い上位3つの部門を検索します。
SELECT deptno, ename FROM emp ORDER BY sal DESC FETCH FIRST 2 PARTITIONS BY deptno, 3 ROWS ONLY;
マルチベクトル検索でのパーティション行制限: 例
次の文は、doc_id列とchunk_id列(NUMBER型)、data_vec列(VECTOR型)の3つの列を持つ表chunk_tableを作成します。
doc_idはドキュメントID、chunk_idはチャンクID、data_vecはベクトル埋込みを表します。
CREATE TABLE chunk_table ( doc_id NUMBER, chunk_id NUMBER, data_vec VECTOR );
次の問合せは、マルチベクトル検索を実行します。
SELECT doc_id, FROM chunk_table ORDER BY VECTOR_DISTANCE(data_vec, :query_vec) FETCH [APPROX] FIRST 10 PARTITIONS BY docId, 1 ROW ONLY;
QUALIFY句: 例
QUALIFY句の分析ファンクション
SELECT ENAME, SAL, DNAME, LOC
FROM EMP, DEPT
WHERE EMP.DEPTNO = DEPT.DEPTNO
QUALIFY AVG(SAL) OVER (PARTITION BY LOC) > 2000
ORDER BY ENAME;出力は次のとおりです:
ENAME SAL DNAME LOC ---------- ---------- -------------- ------------- ADAMS 1100 RESEARCH DALLAS CLARK 2450 ACCOUNTING NEW YORK FORD 3000 RESEARCH DALLAS JONES 2975 RESEARCH DALLAS KING 5000 ACCOUNTING NEW YORK MILLER 1300 ACCOUNTING NEW YORK SCOTT 3000 RESEARCH DALLAS SMITH 800 RESEARCH DALLAS 8 rows selected.
WINDOW句を使用したQUALIFY句の分析ファンクション
SELECT ENAME, SAL, DNAME, LOC
FROM EMP, DEPT
WHERE EMP.DEPTNO = DEPT.DEPTNO
WINDOW W AS (PARTITION BY LOC)
QUALIFY AVG(SAL) OVER W > 2000
ORDER BY ENAME;出力は次のとおりです:
ENAME SAL DNAME LOC ---------- ---------- -------------- ------------- ADAMS 1100 RESEARCH DALLAS CLARK 2450 ACCOUNTING NEW YORK FORD 3000 RESEARCH DALLAS JONES 2975 RESEARCH DALLAS KING 5000 ACCOUNTING NEW YORK MILLER 1300 ACCOUNTING NEW YORK SCOTT 3000 RESEARCH DALLAS SMITH 800 RESEARCH DALLAS 8 rows selected.
QUALIFY句に別名があるSELECTリストの分析ファンクション
SELECT ENAME, SAL, DNAME, LOC,
AVG(SAL) OVER W AS AVG_SAL
FROM EMP, DEPT
WHERE EMP.DEPTNO = DEPT.DEPTNO
WINDOW W AS (PARTITION BY LOC)
QUALIFY AVG_SAL > 2000
ORDER BY ENAME;出力は次のとおりです:
ENAME SAL DNAME LOC AVG_SAL ---------- ---------- -------------- ------------- ------------- ADAMS 1100 RESEARCH DALLAS 2175 CLARK 2450 ACCOUNTING NEW YORK 2916.66667 FORD 3000 RESEARCH DALLAS 2175 JONES 2975 RESEARCH DALLAS 2175 KING 5000 ACCOUNTING NEW YORK 2916.66667 MILLER 1300 ACCOUNTING NEW YORK 2916.66667 SCOTT 3000 RESEARCH DALLAS 2175 SMITH 800 RESEARCH DALLAS 2175 8 rows selected.
QUALIFY句での副問合せ
SELECT ENAME, SAL, DNAME, LOC,
AVG(SAL) OVER W AS AVG_SAL
FROM EMP, DEPT
WHERE EMP.DEPTNO = DEPT.DEPTNO
WINDOW W AS (PARTITION BY LOC)
QUALIFY AVG_SAL > (SELECT AVG(SAL) FROM EMP)
ORDER BY ENAME;出力は次のとおりです:
ENAME SAL DNAME LOC AVG_SAL ---------- ---------- -------------- ------------- ------------- ADAMS 1100 RESEARCH DALLAS 2175 CLARK 2450 ACCOUNTING NEW YORK 2916.66667 FORD 3000 RESEARCH DALLAS 2175 JONES 2975 RESEARCH DALLAS 2175 KING 5000 ACCOUNTING NEW YORK 2916.66667 MILLER 1300 ACCOUNTING NEW YORK 2916.66667 SCOTT 3000 RESEARCH DALLAS 2175 SMITH 800 RESEARCH DALLAS 2175 8 rows selected.
QUALIFY句での相関副問合せ
SELECT E1.ENAME, E1.SAL, AVG(E1.SAL) OVER W1 AS AVG_SAL1
FROM EMP E1
WINDOW W1 AS (PARTITION BY E1.MGR)
QUALIFY AVG_SAL1 IN (
SELECT AVG(E2.SAL) OVER W2 AS AVG_SAL2
FROM EMP E2
WINDOW W2 AS (PARTITION BY MGR)
QUALIFY AVG_SAL2 = AVG(E.SAL) OVER W2
);出力は次のとおりです:
ENAME SAL AVG_SAL1 ---------- ---------- ---------- ADAMS 1100 2175 ALLEN 1600 1566.66667 BLAKE 2850 1566.66667 CLARK 2450 2916.66667 FORD 3000 2175 JAMES 950 1566.66667 JONES 2975 2175 KING 5000 2916.66667 MARTIN 1250 1566.66667 MILLER 1300 2916.66667 SCOTT 3000 2175 SMITH 800 2175 TURNER 1500 1566.66667 WARD 1250 1566.66667 14 rows selected.
QUALIFY句とFETCH FIRST句
SELECT ENAME, SAL, DNAME, LOC,
AVG(SAL) OVER W AS AVG_SAL
FROM EMP, DEPT
WHERE EMP.DEPTNO = DEPT.DEPTNO
WINDOW W AS (PARTITION BY LOC)
QUALIFY AVG_SAL > (SELECT AVG(SAL) FROM EMP)
ORDER BY ENAME
FETCH FIRST 3 ROWS ONLY;出力は次のとおりです:
ENAME SAL DNAME LOC AVG_SAL ---------- ---------- -------------- ------------- ------------- ADAMS 1100 RESEARCH DALLAS 2175 CLARK 2450 ACCOUNTING NEW YORK 2916.66667 FORD 3000 RESEARCH DALLAS 2175
WHERE句、HAVING句およびQUALIFY句を使用した問合せ
SELECT DNAME, MGR, AVG(SAL), AVG(AVG(SAL)) OVER W AS AVG_SAL_WF
FROM EMP, DEPT WHERE EMP.DEPTNO = DEPT.DEPTNO
GROUP BY DNAME, MGR
HAVING DNAME NOT LIKE 'SALES'
WINDOW W AS (PARTITION BY DNAME)
QUALIFY AVG_SAL_WF > 2000
ORDER BY DNAME;出力は次のとおりです:
DNAME MGR AVG(SAL) AVG_SAL_WF -------------- ---------- ---------- ---------- ACCOUNTING 7782 1300 2916.66667 ACCOUNTING 7839 2450 2916.66667 ACCOUNTING 5000 2916.66667
GROUPING SETS句およびQUALIFY句を使用した問合せ
SELECT DNAME, MGR, AVG(SAL), AVG(AVG(SAL)) OVER W AS AVG_SAL_WF
FROM EMP, DEPT WHERE EMP.DEPTNO = DEPT.DEPTNO
GROUP BY GROUPING SETS ((DNAME), (MGR))
WINDOW W AS (PARTITION BY DNAME)
QUALIFY AVG_SAL_WF > 2000
ORDER BY DNAME;出力は次のとおりです:
DNAME MGR AVG(SAL) AVG_SAL_WF
-------------- ---------- ---------- ----------
ACCOUNTING 2916.66667 2916.66667
RESEARCH 2175 2175
SALES 1566.66667 1566.66667
7566 3000 2181.19048
7788 1100 2181.19048
7782 1300 2181.19048
7839 2758.33333 2181.19048
7698 1310 2181.19048
7902 800 2181.19048
5000 2181.19048
10 rows selected.複合論理述語を含むQUALIFY句: 例
SELECT JOB, AVG(SAL) FROM EMP GROUP BY JOB HAVING JOB IS NOT NULL QUALIFY AVG(SAL) < 2000;
SELECT SAL FROM EMP WHERE JOB IS NOT NULL QUALIFY SAL < 2000;
SELECT ENAME, SAL,
AVG(SAL) OVER WJ AS A1,
AVG(SAL) OVER WD AS A2
FROM SCOTT.EMP
WINDOW WJ AS (PARTITION BY JOB), WD AS (PARTITION BY DEPTNO)
QUALIFY A1 > 2073.21429 AND A2 > 2073.21429
ORDER BY ENAME;

































































































