This chapter covers the following topics:
Oracle ASCP supports two types of substitution: component substitution and end-item-level substitution. This section describes end-item-level substitution.
You cannot use end-item-level substitution in unconstrained plans.
The term end-item refers to the finished good or saleable product. End-item-level substitution is an acceptable business practice in many industries. It is often possible to fulfill customer demand on time when the requested item is not available by substituting a more functionally rich product. Substitution is also done to use up existing inventory of older, functionally equivalent items.
End-item substitution provides the following capabilities:
Enable substitution based on user-defined rules that can be effective either in one direction or in both directions; defining a chain of substitution relationships can be simplified by inferring existing relationships
Consider substitution rules in the order promising process and suggest substitution similar to planning; this is important because promising orders based on a logic which does not consider substitution may lead to inaccurate promise dates and over promising
Consider the customer/customer site ordering the item; for example, some customers ordering a specific item might not accept substitutions; on the other hand other customers ordering the same item will accept substitutions
Consider the effective dates of substitution rules prior to performing substitution
Evaluate the effects of possible substitution rules by performing plan simulations
Define whether orders may be fulfilled using a combination of requested and substitute items or only one item
You cannot use end item substitution with project planning.
This section lists the general procedures that are used to define and use end-item substitution:
Define substitution relationship between items at Oracle Inventory, optionally establish substitution chain, directionality and effectivity for substitution, and optionally establish customer and customer site for each substitution relationship
Set item attributes to control the generation of supplies
Set Item attribute to establish a window for substitution
Collect data
Run plans and analyze substitution decisions
Follow work flow procedure to enable execution
Optionally initiate ATP queries to quote promise dates based on substitution logic
This section describes what you need to do to define a substitution rule or relationship at the item level. In general, you must define the following:
A substitute From and a substitute To item
The direction in which substitution is effective
Effective dates for substitution (optional)
Partial Order Fulfillment flag for each substitution relationship (optional)
Substitution Set to enable simulation of substitutions (optional)
Customer and customer site for a substitution relationship (optional)
You can define substitution rules or relationships via item relationships in Oracle Inventory using the Item Relationship form. You can use the form to define all the characteristics mentioned above. You can infer chaining and highest-level item in a substitution chain.
You can create unidirectional and bi-directional (reciprocal) relationships, for example, A > B (not reciprocal) or A <> B (reciprocal). However, once you create A > B (not reciprocal), you cannot create B > A (not reciprocal). You can simulate A <> B (reciprocal) by creating unidirectional relationships A > B, then B > C (item C is a dummy item), and then C > A.
If you define the end item-level substitution rule, it is applicable in all organizations in which the items are enabled.
These substitution rules are collected in Targeted collection mode and Complete refresh mode and not in Net change mode.
Although Item relationships are defined at the operating unit level, the planning engine applies them at the global level to all organizations within a plan.
Substitution Chain Priorities
You can instruct the planning engine how to decide the priorities of multiple items in a substitution chain--either by substitution distance or by effectivity date.
If the planning engine decides by substitution distance, it looks at the distance of each item from the demanded item in the substitution chain. The closer a potential substitute item is to the demanded item, the higher its priority is in the substitution chain. Set profile option MSO: Use Effectivity Dates to Infer End Item Substitute Priority to No.
For example, you set up this substitution chain:
| From Item | To Item | Type | 
| A | B | Reciprocal | 
| B | C | Reciprocal | 
| C | D | Reciprocal | 
Graphically, the substitution chain is A <> B <> C >< D.
For a demand on item C, the priorities are, from highest to lowest:
C: Substitution distance from C is 0
B: Substitution distance from C is 1 and it is higher in the substitution chain
D: Substitution distance from C is 1 and it is lower in the substitution chain
A: Substitution distance from C is 2
If the planning engine decides by effectivity date, you must enter effective and disable dates for each relationship. The earlier a potential substitute item's effectivity date, the higher its priority is in the substitution chain. If more than one substitute item has the same effective date, those substitute items have the same priority. Set profile option MSO: Use Effectivity Dates to Infer End Item Substitute Priority to Yes.
Use this method if you want to use up older substitutes before newer substitutes.
For example, you set up a substitution chain as follows:
| From Item | To Item | Type | Effective Date | Disable Date | 
| A' dummy | A | Unidirectional | December 30, 2006 | - | 
| A | B | Reciprocal | January 1, 2007 | - | 
| B | C | Reciprocal | January 10, 2008 | - | 
| C | D | Reciprocal | January 20, 2008 | - | 
For effectivity dates, you must also include a dummy from item in the substitution chain, link it to your preferred substitute item, and set its effective date earlier that all of the actual substitute items.
Graphically, the substitution chain is [A' dummy] > A <> B <> C >< D.
For a demand on item C, the priorities are, from highest to lowest:
A: Priority 1, earliest of the effectivity dates
B: Priority 2, second earliest of the effectivity dates
C: Priority 3, third earliest of the effectivity dates
D: Priority 4, latest of the effectivity dates
Substitution Chain Inferences
The planning engine can infer additional substitution relationships if profile option MSO: Disable Inference of Item Substitution Relationship is No.
This diagram lists the Reciprocal substitution relationships that you might make as well as the Reciprocal (inferred) substitution relationships that the planning engine infers
| From Item | To Item | Type | 
| A | B | Reciprocal | 
| B | C | Reciprocal | 
| A | C | Reciprocal (inferred) | 
| C | D | Reciprocal | 
| A | D | Reciprocal (inferred) | 
| B | D | Reciprocal (inferred) | 
From the Navigator, select Inventory > Items > Item Relationships.
The Find Item Relationships window appears.
Either select a previously defined item or search for an item.
The Item Relationships window appears.
You can use this window to create a substitute relationship between two items and to indicate if the relationship is reciprocal. Please note that you cannot enter multiple Effective Dates for a substitution relationship in this window. This is done in the Planning Details window.
If profile option MSO: Use Effectivity Dates to Infer End Item Substitute Priority is Yes, enter a value in field Effective Dates From. You can also enter a value in field Effective Dates To. If an entry has Effectivity Dates To and the date has passed, that substitute item cannot be in the substitution chain.
To further define details about the substitute relationship, select an item row and select the Planning Details button.
The Planning Details - Substitute window appears.
Use the information in the following table to fill out the fields in this screen.
.
| Field | Description | 
|---|---|
| Substitution Set | You can specify one or more substitution sets for a substitution relations ship. You can use a set of substitution relationships to be effective for a given plan by selecting the substitution set as an option for the plan. This allows you to run simulations of possible substitutions and evaluate performance indicators given possible future substitutions. For additional information, please see Simulate Possible Substitutions. | 
| Partial Fulfillment | If you select this check box, the entire order can be satisfied with supplies from both items. If you do not select this checkbox, Oracle APS must satisfy the entire order with supplies from one item or the other item, but not both. | 
| Effective Dates | The substitution relationship can be made effective between a range of dates or multiple ranges of dates. If you specify range of dates in this window, the effective dates in the Item Relationship window will be ignored. If profile option MSO: Use Effectivity Dates to Infer End Item Substitute Priority is Yes, enter a value in field Effective Dates From. You can also enter a value in field Effective Dates To. Oracle APS will consider substitution relationship with different effective dates and will substitute only during the valid range of dates. | 
| All Customers | When this box is checked, any substitution set or range of effective dates is made applicable to all customers. If you need to make it specific to a customer, then unselect this checkbox and navigate to the Customer field where you will have a chance to enter a customer or multiple customers. | 
| Customer | You can set up customer site-specific substitution rules by defining customers and customer sites here. This allows you to maintain customer-specific substitutions as your customers accept or decline specific substitution relationships. Please note that you can associate multiple customers to the same substitute relationships. You may have a need to enter both customer-specific and non-customer-specific substitution relationships for the same set of items. You can do so by entering one record in the Item Relationship window, entering the effective dates for the first rule in the first row of the Planning Detail window and deselecting All Customers, and entering multiple customer-specific associations in the Customer Reference section. Then, you enter effective dates for the generic rule in the Planning Details window and leave All Customers selected. One of the records can be applicable to all customers and the other record will be a customer-specific record. NOTE: Once you enter customer-specific substitution rule for any item, you will have to specify all the relationships applicable to that customer explicitly because no generic rules will be applied to that customer. | 
| Address | Choose the address for the customer location. | 
| Type | View only field that shows the type of location (currently, only shows Ship to). | 
| From and To | You can specify effective dates for substitution at a customer level. If you specify effective dates at customer level for a substitution relationship, the effective dates you might have specified at the in the Planning Details window and the Item Relationship window will be ignored. | 
Use the following information to set up various substitution scenarios.
Fill out the Item Relationships window as shown in the following table:
| From Item | To Item | Relationship type | Reciprocal | 
|---|---|---|---|
| A | B | Substitute | <cleared> | 
Fill out the Planning Details window as shown in the following table:
| Substitution Set | Partial Fulfillment | From Date | To Date | All Customers | 
|---|---|---|---|---|
| <null> | <cleared> | Day 1 | Day 50 | <selected> | 
| <null> | <cleared> | Day 65 | Day 80 | <selected> | 
| <null> | <cleared> | Day 101 | <null> | <selected> | 
Fill out the Item Relationships window as shown in the following table:
| From Item | To Item | Relationship type | Reciprocal | 
|---|---|---|---|
| A | B | Substitute | <cleared> | 
For the item relationship A --> B, fill out the Planning Details window as shown in the following table:
| Substitution Set | Partial Fulfillment | From Date | To Date | All Customers | 
|---|---|---|---|---|
| <null> (default) | <cleared> | <null> | <null> | <selected> | 
| SSET1 | <cleared> | <null> | <null> | <selected> | 
| SSET2 | <cleared> | <null> | <null> | <selected> | 
You may now run plans using any of the substitution sets defined in this window as a plan option.
Fill out the Item Relationships window as shown in the following table:
| From Item | To Item | Relationship type | Reciprocal | 
|---|---|---|---|
| A | B | Substitute | <cleared> | 
Fill out the Planning Details section of the Planning Details window as shown in the following table:
| Substitution Set | Partial Fulfillment | From Date | To Date | All Customers | 
|---|---|---|---|---|
| <null> | <selected> | <null> | <null> | <cleared> | 
| <null> | <selected> | <null> | <null> | <selected> | 
Fill out the Customer References section of the Planning Details window for the first row as shown in the following table:
| Customer | Customer Site | From Date | To Date | 
|---|---|---|---|
| Customer 1 | Site 1 | <null> | <null> | 
| Customer 2 | Site 2 | <null> | <null> | 
Please note that in order to enter a customer-specific rule, All Customers must be unselected.
Fill out the Item Relationships window as shown in the following table:
| From Item | To Item | Relationship Type | Reciprocal | 
|---|---|---|---|
| A | B | Substitute | <cleared> | 
Fill out the Planning Details section of the Planning Details window as shown in the following table:
| Substitution Set | Partial Fulfillment | From Date | To Date | All Customers | 
|---|---|---|---|---|
| <null> | Selected | <null> | <null> | <cleared> | 
Fill out the Customer References section of the Planning Details window as shown in the following table:
| Customer | Customer Site | From Date | To Date | 
|---|---|---|---|
| Customer 1 | Site 1 | Day 1 | Day 50 | 
| Customer 1 | Site 1 | Day 100 | <null> | 
From the Navigator, select Supply Chain Plan > Workbench.
The Supply Chain Planner Workbench appears.
In the Navigator, select View By Items.
Select the item you wish to view and right-click.
From the menu that appears, select Items.
The Items window appears.
Select an item.
Select the Substitutes button. Please note that multiselects are not allowed. If you select several items, the Substitutes button will be greyed out.
The Substitution Chain window appears.
The following list provides an explanation of the features of this window:
The item you selected in the Items window is highlighted.
The color of the arrows between each item signify whether the relationship is predecessor, parallel, or successor.
You can see the item and the substitution chain along with the direction, and the type of substitution relationship (i.e. one-way/two-way).
Each node in the window refers to an item and has expansion capabilities.
Double-clicking on an item will show any existing expanded relationships.
If you can expand the chain upwards, the item in question can use higher level item as a substitute.
If you can expand the chain lower the item in question can be substituted for the lower level item.
If you can expand the tree sideways, the item in question and the parallel item can be substituted for each other.
If you double click on a node which is a two-way substitute item, the tree will refresh itself and start from the node you double-clicked rather than showing multiple trees at the same time.
The highest level item is the one to which all the arrows point.
The highest-level item is usually the item with most capabilities and it is the item that is in active production in certain industries.
If you select an item and right-click, two menu options appear: Properties and Horizontal Plan. If you select Properties, the Substitution Properties window appears. If you select Horizontal Plan, the Horizontal Plan appears.
There are three tabs: Predecessor, Successor, and Parallel. Each tab shows you the properties of substitution relationship and other possible substitutes as shown below. If you do not have a Predecessor, Successor, or a Parallel substitution, the appropriate tabs are disabled. The default enabled tab when you open the window is the Predecessor tab.
The following information appears in the Substitution Properties window:
From and To substitute items
Implied Substitution - whether the item relationship is implied or directly specified
Highest level item in the substitution chain
Effective date for the relationship
Disable date for the relationship
Customer and Customer sites which accept the substitution
Substitution set if specified
Partial Fulfillment is allowed
The section contains description of how substitution logic functions. It contains information about:
Searching the supply chain
Chaining
A demanded item or a substitute item could be available within the same organization or in a different organization within the supply chain. You can take advantage of availability of supply (both requested item and substitute items) across the supply chain and use up the inventory effectively before placing orders to make or buy the item. To search for demanded item or substitute items, the planning engine looks for demanded and substitute items within the same organization before looking in other organizations to find them.
The following figure show you this search method:
With this method, the emphasis is on use up. The availability picture of original item and substitutes guides the search. The emphasis of the search is to seek supplies from demanded item or substitute item and use it up as effectively as you can before creating supplies for the item requested. This means Oracle APS looks for on hand and scheduled receipts of demanded items and substitutes within one organization before proceeding to the next organization to repeat the same search.
If profile option MSC: Choice of item for which to create supplies in substitute relationship is Follow Item Attribute, the planning engine respects capacity on the demanded items. It can create planned orders for any item within the chain as long as flag Create Supply is Yes and there is available capacity. The planning engine does not consider order modifiers.
If you do not want the planning engine to recommend orders for a particular item in the substitution chain:
Set profile option MSC: Choice of item for which to create supplies in substitute relationship to Follow Item Attribute
In item attributes for item-organization, set Create Supply Flag to No
An important point to note here is the direction of search when multiple levels of sources are involved. If you consider the following diagram, the Atlanta facility sources from Dallas and Miami, Dallas sources from Dallas-1, and Miami sources from Miami-1.
Supply Chain for Substitution

If you have item A and a substitute item A1 in all the organizations in the supply chain and if you have demand in Atlanta, the search follows the sequence mentioned below:
Look for on hand and scheduled receipts of item A and substitute A1 at Atlanta
Look for on hand and scheduled receipts of item A and substitute A1 at Dallas
Look for on hand and scheduled receipts of item A and substitute A1 at Miami
Look for on hand and scheduled receipts of item A and substitute A1 at Dallas-1
Look for on hand and scheduled receipts of item A and substitute A1 at Miami-1
The search across organizations is guided strictly by sourcing rules, bills of distribution, and the corresponding ranks for the sources. Summarizing the search process, Oracle APS looks for the demanded item (requested item) and all its possible substitutes within a facility and it continues to look for demanded item (requested item) and its substitutes in other facilities searching breadth first. Referring to the diagram, the search will follow:
Atlanta, Dallas, Miami, Dallas-1, and Miami-1
It is very important to note that the breadth-first search method is used in constrained plans. In optimized plans, the search is entirely driven by costs i.e., item costs, penalty costs for satisfying demand late, transportation costs etc. An optimized plan suggests transfers and substitutes based on the overall objective of the plan and costs mentioned above.
Enforce Sourcing Splits and Substitute Supply Across Supply Chain
Oracle APS supports enforcing sourcing splits in optimized plans. This means that you can have the system adhere to the sourcing splits (while allocating supply to various sources) you mention on the sourcing rules or bills of distribution even though the splits may not be cost effective.
Supplies that you may find for demanded or substitute items across the supply chain with the intention of use up may violate the enforce sourcing splits logic. If you need the use up functionality, sourcing splits will not be enforced at least for the sources where you would expect to use up the supply efficiently. Enforce sourcing splits is enabled at the sourcing rule or the bill of distribution level; therefore, it is easy to apply the sourcing splits only to the sources you may need and not for the ones that you do not need.
There may be times where enforce sourcing splits conflicts with the substitution use up rule. For example, the following table shows the sourcing splits and supply for Org1 and Org2.
| Org | Sourcing Split | Supply | 
|---|---|---|
| Org 1 | 50% | 100 of item A | 
| Org 2 | 50% | 0 of item A | 
If the demand for item A is 100, according to sourcing splits, 50 of item A should come from Org 1 and 50 of item A should come from Org 2. However, since there is no supply of item A at Org 2, this cannot be accomplished. In the substitution process, the use up will override enforce sourcing splits and will take all 100 from Org 1 to meet the demand for 100 of item A.
If multiple items are involved in substitution, you can establish a chain of substitutions that is valid.
If item A can be substituted for item B and item B can be substituted for item C, you can infer that item A can be substituted for item C, if profile option MSO: Disable Inference of Item Substitution Relationship is No.
Establishing and maintaining substitution relationships amongst items in a large substitution chain; for example, up to 80 items, can be very tedious and time consuming. Therefore, you might prefer to infer certain substitutions, such as in the above example in which A --> C is inferred given the first two relationships.
If such a relationship is established and if item A is requested, you can satisfy it with supplies from A, B, or C. If item B is requested, you can satisfy it with either B or C. If C is requested, you can satisfy it with only C's supply.
If you add effectivities as suggested in the Define a Substitution Relationship section and if profile option MSO: Disable Inference of Item Substitution Relationship is No, the substitution inference is made effective based either on the effective dates of all relationships or on the intersection of all the dates. The following table shows that the substitution rule between item A and B is effective between Day 2 and Day 10. A second substitution rule between item B and C is effective between Day 6 and Day 22. Therefore, the inferred substitution rule between item A and C is effective between Day 6 and Day 10.
| From Item | To Item | From Date | To Date | Inferred | 
|---|---|---|---|---|
| A | B | Day 2 | Day 10 | No | 
| B | C | Day 6 | Day 22 | No | 
| A | C | Day 6 | Day 10 | Yes | 
This section contains descriptions of substitution features available in Oracle ASCP. It contains information for the following features:
Reciprocal - unidirectional and bidirectional substitution
Preference for generating planned orders
Window for substitution
Partial order fulfillment
Effectivity (time phasing)
Customer-specific substitution rules
Simulate possible substitutions
Transfer of demands on to substitute supplies
As shown in an earlier example, while you can satisfy A's demand with B's supply, you cannot satisfy B's demand with A's supply. This is referred to as unidirectional substitution. In some cases you can satisfy B's demand with A's supply. This is referred to as bidirectional substitution or reciprocal substitution.
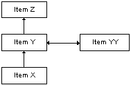
Referring to the diagram below, items X, Y and Z are in a unidirectional relationship, and items Y and YY are in a bidirectional relationship. Because item Y has two relationships, Oracle APS will allocate supply from item Z or item YY if you have a demand for item Y.
Figure title

Given a group of substitutable items, there is considerable variation in how the supplies are to be created for the substitute items. This depends on the type of industry.
Field Service Repair/Replacement Business
In this business, the emphasis is more on locating original item supplies or substitute supplies and distributing items across a defined distribution channel. The demand for the item may be for any one of the items in the substitution chain. If the supplies are not found in your distribution network, you can purchase needed items, but you cannot buy older items as the manufacturer might no longer produce them. In such cases you are forced to buy the current item. This translates to creating supplies only for the highest level item in the substitution chain.
In this example, there are four items in the substitution chain: items A1, A2, A3, and A4. The highest revision in this pool is A4 (referred to as the highest level item). You may get demand for any of the four items mentioned. If you get demand for A2, you will evaluate supply availability for A2, A3, and A4 assuming chaining and direction as A1 --> A2 --> A3 --> A4. If you do not find any supply for the demanded item, you can generate supply for highest level item which is A4.
To achieve this, set the profile option MSC: Choice of Items for which to Create Supplies in a Substitute Relationship equal to Highest Level Item.
Semiconductor Business
In semiconductor business, substitutable items are typically co-products. Even in this scenario, the demand can be for any one of the items in the substitution relationship. In contrast to the previous scenario, here you can produce the item the customer has requested. Given that the products are going to be co-produced, you may need to create co-product supplies for the rest of the items in the co-product relationship.
Oracle APS plans for the capacity to produce all the co-products for a given order because you cannot produce only one item that is part of the co-product.
In this example, there are four items in the substitution chain: items A1, A2, A3, and A4. The highest revision in this pool is also A4 (referred to as the highest level item). If you get a demand for A2, you will evaluate supply availability for A2, A3, and A4 assuming chaining and direction as A1 --> A2 --> A3 --> A4. If you do not find any supply, you can generate supply for the demanded item which is A2.
If items A1, A2, A3, and A4 are in a co-product relationship, Oracle ASCP generates co-product supplies for items A1, A3, and A4.
In addition to the two modes of generating supplies as mentioned above (being forced to buy the current item and needing to create co-product supplies), a general requirement is to have an item attribute that controls whether you want to create new planned supplies. This may be helpful in scenarios where you have existing supplies that you may want to plan and potentially sell, but you do not want to produce the item anymore.
All of these requirements are addressed by a combination of profile options and item attributes. You can choose one of the following methods to generate supplies using profile option MSC: Choice of Items for Which to Create Supplies in Substitute Relationship:
Demanded Item
Highest Level Item
Follow Item Attributes
If you set the profile option to Follow Item Attributes, Oracle ASCP will follow the Create Supply item attribute established at the item-organization level.
For more details on profile options, see Profile Options.
Resolving Conflict Between Item Attributes and Profile Options
If you employ a combination of profile options and item attributes, you may set up contradicting values.
In this example, there are three items: A, B, and C. Item C is the highest level item in the substitution chain. This example shows you may set up a conflict between your item attribute and profile option with unexpected results.
The profile option Choice of Item for Which to Create Supplies in Substitute Relationship can be set to:
Demanded Item
Highest Level Item
Follow Item Attribute
The item attribute Create Supply for each item can be set to either Yes or No.
If you select Demand Item or Highest Level item, Oracle APS ignores any item attributes.
The following table shows you what to expect when you set the Profile Option to Follow Item Attribute.
Conflicts Related to Enforce Demand Due Dates Plan:
Running your plans using the plan option Enforce Demand Due Dates means that you must satisfy the demand on time. However, if you set the profile option Choice of Item for Which to Create Supplies in Substitute Relationship to Follow Item Attribute and the item attribute Create Supply for all the substitute items in the substitution chain is set to No, no supplies will be created and Enforce Demand Due Dates will be violated.
Conflict Between Choice to Create Supplies and Enabling Item in an Organization:
If you have a substitution chain A --> B --> C and you have set the profile option Choice of Item for Which to Create Supplies in Substitute Relationship to Highest Level Item, the expectation is that Oracle APS will create supply for item C. However, item C must be enabled in the organization in which you are trying to create a supply. If item C is not enabled in the organization, Oracle APS will create supply for item B (the next highest level item in the substitution chain) and not create supply for item C.
While substitutions are part of regular business process, substitutions done too far ahead of demand might not be appropriate. For example, if you find a substitute supply four weeks away from demand, you may not want to substitute as you may have a good chance of producing supply for the demanded item in the next three weeks.
A substitution window allows you to limit the time frame for the substitution. You can define the substitute window for an item using item attribute form in Oracle Inventory. The substitution window is effective in the forward direction from every demand. All substitute supplies prior to demand are eligible for substitution. Please note that the substitution window is applicable only for substitution; if you are netting supply and demand from the same item, the substitution window does not apply
If you do not set substitution window, the planning engine uses default of zero days, so it will not do end-item substitutions.
In the time-phased supply picture shown in the following table, item A is being substituted for item B. You get a demand for 30 units of item B in time bucket 1. If substitution must happen right away, you can use A's supply for B's demand and satisfy it on time. If you can wait for two more time buckets, you will find the supply for B in time period 3; therefore, you can avoid substitution. The assumption here is you will get a demand for item A and you do not have to give up on the amount of money you could make by shipping A for A's demand.
| Item | Time Bucket 1 | Time Bucket 2 | Time Bucket 3 | Time Bucket 4 | Time Bucket 5 | Time Bucket 6 | 
|---|---|---|---|---|---|---|
| Item A | 25 | 2 | 3 | 4 | 5 | 6 | 
| Item B | 5 | 0 | 25 | 0 | 0 | 25 | 
At the same time, if supply of 25 units in time period 3 was not available, you may not be able to wait until time period 6 to pick up the supply for item B, as delivery performance might drive you to use substitution right away.
Another aspect of substitution window might be to evaluate all native demands and supplies within a specified amount of time, and to consider only excess supply from each item as possible substitution supplies.
Continuing our example from above, you may also have demand for 20 units of item A in time period 1. In this case, you may not want to satisfy B's demand using A's supply. You may want to find out the excess after satisfying the native demand before you apply substitutions. Therefore, the demand for Item B can satisfied only as follows: 5 units of its own supply in time period 1, 5 units of item A's supply in time period 1, and its own supply of 20 units in time period 3.
Satisfying native demand may run contrary to prioritized demand in constrained plans. The following table shows the supply/demand picture where demand for item B can be satisfied with a supply for item A. The substitute window for both items is 3 days.
| Item | Time Bucket 1 | Time Bucket 2 | Time Bucket 3 | Time Bucket 4 | Time Bucket 5 | Time Bucket 6 | 
|---|---|---|---|---|---|---|
| Item A (Demand) | 20 (Priority 10) | 10 (Priority 20) | 0 | 0 | 0 | 0 | 
| Item A (Supply) | 0 | 20 | 5 | 0 | 0 | 0 | 
| Item B (Demand) | 50 (Priority 1) | 0 | 0 | 0 | 0 | 0 | 
| Item B (Supply) | 5 | 10 | 0 | 0 | 0 | 25 | 
Given the logic of constrained plans, you will try to satisfy every demand based on its associated demand priority. In the above scenario, satisfying native demand and following demand priorities are at odds. Going by priority, you will consume all the supplies for item B and substitute 10 units from item A to satisfy B's demand. This means demand from item A may not be satisfied on time because it needs to be manufactured or bought.
If your business scenario needs to give preference to native demand satisfaction within the substitute window, you can do so by setting up system level profile options. If you set up the profile option to give preference to native demand satisfaction, item B will not be able to substitute any supply from item A in the previous example. You can achieve native demand satisfaction by setting up system level profile options. Please see Profile Options for details.
Substitution window is not applicable in optimized plans because the end item substitution is purely based on cost in an optimized plans
Enforced Demand due date plans (both constrained and optimized) do not consider substitution window
Maximum allowable days late overrides the substitution window. Demands go unmet or move to the planning horizon rather being assigned a substitute.
Partial Order fulfillment In this type of substitution, the demand must be satisfied with only one type of item. If item A and item A1 are substitute items, you cannot, for example, satisfy a demand for 100 units of A with 50 units of A and 50 units of A1. You must either supply 100 units of A or 100 units of A1.
This feature is available in the Planning Details window.
You can specify Partial Order fulfillment attribute for a substitute relationship in Oracle Inventory using the Planning Details form (this form is accessible through the Item Relationship form)
In this example, items A and A1 are substitute items. Based on the supply demand view in the following table, you would substitute and satisfy the demand by allocating supply from item A1. This is enforced because the supply for item A by itself could not have satisfied the demand, and in addition, the entire demand must be satisfied by either item A or A1.
| Record Type | Day 2 | Day 15 | Day 18 | 
|---|---|---|---|
| Demand for A | 0 | 50 | 0 | 
| Supply for A | 0 | 40 | 0 | 
| Supply for A1 | 0 | 0 | 60 | 
If the supply for A1 is inadequate to meet the demand, you can satisfy the demand by using 40 units of existing supply of item A and new supply of 10 units for A.
It is common to see an effective time period for substitution. This is typically used to model restrictions on use up of inventory, time phase product qualifications and engineering changes etc. You can specify substitution Effective From and To dates along with definition of substitution.
You can specify effective dates for substitution in the Planning Details form.
The effective dates for the substitution will be validated against the demand due date (Suggested Due Date) to derive the valid substitutions. Let us consider the following substitution table:
| From Item | To Item | Customer | Ship-to Address | From Date | To Date | 
|---|---|---|---|---|---|
| X1 | X2 | Company A | 75 Hill Street | 3/1/2002 | 9/30/2002 | 
| X1 | X3 | Company B | 219 Revere Blvd. | 4/1/2002 | 10/30/2002 | 
| X2 | X3 | Company B | 219 Revere Blvd. | 6/1/2002 | <null> | 
If you get demand from Company A/75 Hill Street on 4/1/2002 for item X1, you can substitute with item X2. If your demand is beyond 9/30/2002, the substitution between X1 and X2 is not possible. Similarly, if you get a demand from Company B/219 Revere Blvd. for item X1 on 6/1/2002 you can substitute with item X3. If you get a demand for item X2 after 6/1/2002, you can substitute with item X3.
Please note that if you run a constrained plan, your demand satisfied date may be different from suggested due date. The validity of the substitution is derived by comparing the suggested due date with the effective dates, not the demand satisfied date.
Substitution rules can sometimes change depending on which customer site is ordering the item. Often customers qualify the plants producing the items. In a typical set up you will issue a different item number based on the origin of the item even if it is the same item. Item numbers issued to represent the item origin will form a basis to specify customer-specific substitution.
You will be able to set up substitutions specific to a single customer or all customers.
There are three customers; Customer A, B, and C. Assume that they buy Integrated Circuits with varying degrees of capability, namely IC200, IC300, and IC400. Restrictions posed by the customers are as follows:
Customer A can accept IC200 and IC300 but not IC400
Customer B can accept IC200 and IC400 but not IC300
Customer C can accept all the three items
You can set up the above substitutions in the following way:
| From | To | Customer | Address | 
|---|---|---|---|
| IC200 | IC400 | Customer B | Address B | 
| IC200 | IC300 | Customer C | Address C | 
| IC200 | IC400 | Customer C | Address C | 
| IC200 | IC300 | Customer A | Address A | 
Oracle Inventory allows you to specify customer and customer ship-to address specific substitutions.
Substitution Definition With and Without Customer and Customer Site
It is possible to have customer-specific and generic substitution relationships for the same set of items. However, if you record a customer-specific rule, then the generic rules no longer apply to that customer. You will have to define an item relationship for each substitution that the customer will accept.
Given the above understanding, let us look at an example to clarify the intended behavior.
| From Item | To Item | All Customers | Customer | Address | 
|---|---|---|---|---|
| X1 | X2 | Y | <blank> | <blank> | 
| X2 | X3 | Y | <blank> | <blank> | 
| X1 | X3 | Y | <blank> | <blank> | 
| X1 | X4 | Y | <blank> | <blank> | 
| X1 | X2 | N | Company 1 | Company 1 address | 
| X1 | X3 | N | Company 2 | Company 2 address | 
| X2 | X3 | N | Company 2 | Company 2 address | 
| X1 | DUMMY | N | Company 3 | Company 3 address | 
The first four rows of the table show generic substitution relationships. That is, X1 can substitute for X2, etc. The next four rows show company-specific substitutions. Company 1 will not accept any substitutions other than X1 for X2. Company 2 will not accept any substitutions other than the X1 for X3 and X2 for X3. So even though there are generic substitution relationships, customer-specific rules overrides all other rules for that customer.
The last line of the table shows a customer that does not accept any substitutions. For this customer, you must create a dummy item that forces the system not to consider any substitutions for any items for that customer.
All other customers will accept all the generic rules in the first 4 rows of the substitution table.
If you find any substitution rule tied to a customer, the only substitutions which are valid for the customer are the rules that are specific to a customer.
In this example, effective dates are added on top of the definition in Example 8:
| From Item | To Item | Customer | Customer Address | From Date | To Date | 
|---|---|---|---|---|---|
| X1 | X2 | <blank> | <blank> | <null> | <null> | 
| X2 | X3 | <blank> | <blank> | <null> | <null> | 
| X1 | X3 | <blank> | <blank> | <null> | <null> | 
| X1 | X4 | <blank> | <blank> | <null> | <null> | 
| X1 | X2 | Company 1 | Company 1 address | 3/1/2002 | <blank> | 
| X1 | X3 | Company 2 | Company 2 address | 4/1/2002 | 4/1/2003 | 
| X2 | X3 | Company 2 | Company 2 address | 6/1/2002 | <blank> | 
| X1 | DUMMY | Company 3 | Company 3 address | <null> | <null> | 
Given the above substitution table, Company 1 will not accept any substitution prior to 3/1/2002. Company 2 will not accept any substitution prior to 4/1/2002, and then will accept X1 for X3 from 4/1/2002 to 4/1/2003, and then will accept X2 to X3 from 6/1/2002. As before, Company 3 will accept no substitutions.
Once you run a plan with a given set of substitution definitions, you may realize that more substitution definitions are possible in the near future. You will need to run the plan with possible substitutions and evaluate delivery performance and other key performance indicators.
You can associate a Substitution Set with each substitution definition in Oracle Inventory. A Substitution Set is an alphanumeric field value that you can establish to make up a set of substitutions. Substitution Set is a global entity meaning that you can establish the same Substitution Set across different instances. The following table gives examples of substitution definitions. The From and To column of the table are defined in the Item Relationship window. The rest of the columns are defined in the Planning Details window.
| From | To | Substitution Set | Customer | 
|---|---|---|---|
| X1 | X2 | <null> | Company X | 
| X1 | X2 | <null> | Company Y | 
| X1 | X3 | SIM1 | Company X | 
| X1 | X4 | SIM2 | Company X | 
| X1 | X3 | SIM1 | Company Y | 
| X1 | X5 | SIM2 | Company Y | 
If you run your plan without a Substitution Set, item X1 can be substituted for X2 for both Company X and Company Y. If you want to evaluate the results of substituting item X1 for item X3, you can choose Substitution Set SIM1 in the plan option and run the plan. Similarly, you can run a plan with Substitution Set SIM2 to evaluate the possibility of substituting item X1 for X4 for Company X and substituting item X1 for X5 for Company Y.
As explained above, you can choose a Substitution Set for a plan at plan option level. Oracle APS will plan using the substitution definitions tied to a Substitution Set. If you need to simulate with other possible substitutions, you can associate a different Substitution Set with a plan and run the plan. If you do not choose a Substitution Set, only the substitution relationships without a Substitution Set defined in Oracle Inventory will be considered in the plan.
Note: You must run a batch plan (as opposed to an online plan) to use substitution sets.
The ability to show pegging and supply/demand details if you have substitution supply identified for a demand is important because the items that bear supply and demand are different.
One of the ways the display can be clearly shown is when you transfer the demand from original item to the substitute item for all substitutions.
The following table shows the supply and demand for items A and B. In this example, 30 units of item B can use 25 units of item A and 5 units of its own supply to satisfy this demand.
| Record Type | Item | Day 1 | 
|---|---|---|
| Demand | A | 0 | 
| Demand | B | 30 | 
| Supply | A | 25 | 
| Supply | B | 5 | 
Since substitution is involved between item B and item A, Oracle APS will transfer the demand from item B to item A for 25 units to account for substitution. If there are multiple items with which item B can be substituted, you will see demands on all such items. In other words, the original demand will be split into possibly multiple demands if substitutions are involved.
Examples Illustrating Substitution Logic
Example for customer-specific substitution, partial order fulfillment, time phasing
This example uses three customers. None of these customers accept a mix of original items and substitute items in any one shipment (i.e., partial orders fulfillment is not allowed); therefore, the entire shipment needs to be made up of either original items or one of the substitute items allowed based on acceptance rules described below. The substitution direction is always from higher level to a lower level i.e., supply from A1 can be used to satisfy A demand.
The following profile options and item relationship rules have been set in the following example:
Profile Options:
Item relationship rules:
Partial Fulfillment = No
Reciprocal relationship = No
Company S Example
A customer-specific item relationship is defined to substitute A1 for A effective until Day 6. The item attribute Substitution Window = 4 days.
As shown in the following table, the demand for product A on Day 1 can be met with on hand (qty = 5), supply (qty = 10) on Day 4, and a new planned order of 5 units for A. The supply from substitute item A1 is not enough to make up the entire order, and the supply on Day 6 is out of reach due to the 4-day substitution window. The demand on Day 7 can be met with supply of 10 units on Day 8 and a planned supply of 40 units for A, because substitution of item A1 is not valid after 6 days. Substitution did not occur because the substitute supply was not adequate to meet the order demand.
| Record Type | Item | Day 0 | Day 1 | Day 2 | Day 3 | Day 4 | Day 5 | Day 6 | Day 7 | Day 8 | Day 9 | 
|---|---|---|---|---|---|---|---|---|---|---|---|
| Demand | A | 0 | 20 | 0 | 0 | 0 | 0 | 0 | 50 | 0 | 0 | 
| Supply | A | 5 (on-hand) | 0 | 0 | 0 | 10 | 0 | 0 | 0 | 10 | 0 | 
| Supply | A1 | 0 | 2 | 0 | 10 | 0 | 0 | 8 | 50 | 0 | 0 | 
Company R Example
A customer-specific item relationship is defined to substitute D for C, and B for A effective until Day 6. The item attribute Substitution Window = 1 day.
As shown in the following table, the demand on Day 1 for item A (qty = 20) cannot be satisfied by substitution because partial order fulfillment is not allowed. The inventory of item B (qty = 15) is inadequate to meet this demand and the supply of 5 units on Day 3 is outside the substitution window of 1 day. Therefore, it will be satisfied by 5 units of on hand, 10 units of supply from Day 8, and 5 units of planned supply.
Demand on Day 6 for item A for 30 units can be satisfied by substitution; i.e., 15 units of on hand, 5 units of supplies from Day 3, and 10 units out of 50 units from Day 6.
The demand for item C, qty = 10, on Day 2 can be satisfied by 8 units of on hand and a supply of 2 units for D scheduled on Day 2. Demand of 60 units for item C on Day 7 can be satisfied with an existing scheduled supply of 60 units on Day 7 for item D. Note that with a 1-day substitution window, the supply must be available on the same day as the demand. Future scheduled receipts will not be utilized.
| Record Type | Item | Day 0 | Day 1 | Day 2 | Day 3 | Day 4 | Day 5 | Day 6 | Day 7 | Day 8 | Day 9 | 
|---|---|---|---|---|---|---|---|---|---|---|---|
| Demand | A | 0 | 20 | 0 | 0 | 0 | 0 | 30 | 0 | 0 | 0 | 
| Supply | A | 5 (on-hand) | 0 | 0 | 0 | 0 | 0 | 0 | 0 | 10 | 0 | 
| Supply | B | 15 (on-hand) | 0 | 0 | 5 | 0 | 0 | 50 | 0 | 0 | 0 | 
| Demand | C | 0 | 0 | 10 | 0 | 0 | 0 | 0 | 60 | 0 | 0 | 
| Supply | C | 0 | 0 | 0 | 0 | 0 | 10 | 0 | 0 | 0 | 0 | 
| Supply | D | 8 (on-hand) | 0 | 2 | 0 | 0 | 0 | 0 | 60 | 0 | 0 | 
Company Q Example
A customer specific item relationship is defined to substitute B for A for the next 5 days and D for C for the next 10. The item attribute Substitution Window = 2 days.
As shown in the following table, demand for 20 units of item A on Day 1 can be satisfied completely by substituting the two scheduled supplies of item B, 10 units on Day 1 and Day 3. The demand for item A on Day 7 can be satisfied using 10 units of supply on Day 8 and a new planned supply of 40 units on Day 7 as the substitution rule is not effective after Day 6. The demand for item C can be satisfied with substitution for both demands, because it's substitution rule is effective until Day 10.
| Record Type | Item | Day 0 | Day 1 | Day 2 | Day 3 | Day 4 | Day 5 | Day 6 | Day 7 | Day 8 | Day 9 | 
|---|---|---|---|---|---|---|---|---|---|---|---|
| Demand | A | 0 | 20 | 0 | 0 | 0 | 0 | 0 | 50 | 0 | 0 | 
| Supply | A | 8 (on-hand) | 0 | 2 | 0 | 0 | 0 | 0 | 0 | 10 | 0 | 
| Supply | B | 0 | 10 | 0 | 10 | 0 | 0 | 0 | 50 | 0 | 0 | 
| Demand | C | 0 | 0 | 10 | 0 | 0 | 0 | 0 | 60 | 0 | 0 | 
| Supply | C | 0 | 0 | 0 | 0 | 0 | 0 | 0 | 0 | 0 | 0 | 
| Supply | D | 0 | 0 | 10 | 0 | 0 | 0 | 0 | 60 | 0 | 0 | 
Example for Native Demand Fulfillment, Substitution Window, Partial Order fulfillment
In the following example, A2 supply can be substituted with A1 demand. Substitution window is 2 days.
As shown in the following table, on Day 1, you have demand for both A1 and A2. Because of native demand fulfillment rule, only excess supply after fulfilling native demand can be used for substitution. Therefore, demand for A1 will not be satisfied by supply for A2 on Day 1. The situation is the same on Day 2; you do not have excess supply of A2 to satisfy A1's demand. The demand for A1 on Day 1 will be met with supply for A1 on Day 3 and a planned supply of 3 units for A1. This is due to the Partial Order fulfillment rule.
The demand for A1 on Day 2 will be satisfied with 3 units of A2 (which is excess supply of A2 from Day 3) and a planned supply of A2 for 2 units. The planned supply has to be for A2 because the rule is Partial Order fulfillment. The supply of A2 on Day 6 is not open because of substitution window.
| Record Type | Item | Day 1 | Day 2 | Day 3 | Day 4 | Day 5 | Day 6 | 
|---|---|---|---|---|---|---|---|
| Demand | A1 | 5 | 5 | ||||
| Demand | A2 | 15 | 10 | 5 | 10 | 5 | |
| Supply | A1 | 2 | |||||
| Supply | A2 | 15 | 10 | 8 | 20 | 
Example for Search the Supply Chain for Substitution, Substitution Window, Use Up
In this example there are three facilities: Facility 1, 2, and 3. The transfer times between facilities is 2 days; the window for substitution is 2 days. The supply and demand picture for 3 items A1, A2, A3 is shown in the following tables. A3 is the lowest level and it can accept either A1 or A2 supply. A2 can accept A1 supply, but A1 cannot accept any substitutions.
The search rules are to search Facility 1 first, Facility 2 second, and Facility 3 third.
| Record Type | Item | Day 1 | Day 2 | Day 3 | Day 4 | Day 5 | Day 6 | Day 7 | Day 8 | Day 9 | Day 10 | Day 11 | Day 12 | 
|---|---|---|---|---|---|---|---|---|---|---|---|---|---|
| Demand | A3 | 10 | 3 | ||||||||||
| Supply | A2 | 3 | 
| Record Type | Item | Day 1 | Day 2 | Day 3 | Day 4 | Day 5 | Day 6 | Day 7 | Day 8 | Day 9 | Day 10 | Day 11 | Day 12 | 
|---|---|---|---|---|---|---|---|---|---|---|---|---|---|
| Demand | A2 | 10 | |||||||||||
| Supply | A1 | 2 | 5 | ||||||||||
| Supply | A2 | 5 | 
| Record Type | Item | Day 1 | Day 2 | Day 3 | Day 4 | Day 5 | Day 6 | Day 7 | Day 8 | Day 9 | Day 10 | Day 11 | Day 12 | 
|---|---|---|---|---|---|---|---|---|---|---|---|---|---|
| Demand | A1 | 10 | |||||||||||
| Supply | A1 | 10 | 5 | ||||||||||
| Supply | A3 | 3 | 3 | 
Demand on Day 3 for A3 in Facility 1 will be satisfied with 2 units of supply of A1 and 5 units of supply at Facility 2, and 3 units of supply of A3 at Facility 3. Facility 2 is the next logical facility to search based on our rules.
The 10 units of demand on Day 3 for A2 at Facility 2 will be satisfied with transferring 10 units of A1 from Facility 3, i.e., you will get a recommendation to reschedule the order to Day 1 so that you can transfer it in time to make the substitution. Notice that the 5 units of supply for A1 is outside the substitution window.
The 3 units of demand on Day 6 for A3 can be met by transferring supply of A3 from Facility 3. The 10 units of demand on Day 8 for A1 can be satisfied by transferring 5 units of A1 from Facility 2 and using the 5 units of supply available in Facility 3. In both cases, you will get recommendations to reschedule the order so that you will satisfy demand on time.
Tie between Demanded and Substitute Item Supply
Item A and A1 are substitute items. Item A can use A1's supply to satisfy the demand. This is a one-way substitution. Substitution window is set to 5 days.
As shown in the following table, the demand on Day 2 has two supplies to consider: 60 units of its own supply on Day 50 and supply of a substitute item on Day 2. The preference is to substitute right away, i.e., apply substitute supply of 60 units on Day 2 to satisfy the demand for 60 units of item A. This goes contrary to regular planning logic of planning item by item where you would pick up supply on Day 50.
If the supply for A1 were to be on Day 15, you would not pick up substitute supply as it is outside the substitution window. If there is no time advantage and both demanded item and substitute item are available on the same day, you pick up demanded item's supply (i.e., A1's supply)
| Record Type | Item | Day 2 | Day 15 | Between Day 16 and Day 49 | Day 50 | 
|---|---|---|---|---|---|
| Demand | A | 60 | 0 | 0 | 0 | 
| Supply | A | 0 | 0 | 0 | 60 | 
| Supply | A1 | 60 | 0 | 0 | 0 | 
A supply chain is shown in the diagram below. In the diagram M1, S1, D2, M2, D2, and P1 are Organizations. V1 is a supplier. Organization M1 sources from S1 and D2 in a ranked order. Organization D2 sources from three different sources. (Make at, Transfer from, Buy From). Your desired search sequence is M1, S1, D2, M2, P1 and V1.
Figure title

The following tables show supply and demand for the organizations in the diagram.
In this example, you have two items; A and A1. A can use A1 supply due to substitution rules. Both item A and A1 are enabled in all organizations. Assume that you do not have any supplies at Organization M2, P1 and supplier V1.
| Record Type | Item | Day 2 | Day 5 | Day 10 | Day 20 | 
|---|---|---|---|---|---|
| Demand | A | 100 | 0 | 0 | 0 | 
| Supply | A | 0 | 5 | 0 | 10 | 
| Supply | A1 | 0 | 0 | 15 | 0 | 
| Record Type | Item | Day 2 | Day 5 | Day 10 | Day 20 | 
|---|---|---|---|---|---|
| Demand | A | 0 | 0 | 0 | 0 | 
| Supply | A | 20 | 0 | 0 | 0 | 
| Supply | A1 | 10 | 0 | 0 | 0 | 
| Record Type | Item | Day 2 | Day 5 | Day 10 | Day 20 | 
|---|---|---|---|---|---|
| Demand | A | 0 | 0 | 0 | 0 | 
| Supply | A | 0 | 10 | 0 | 0 | 
| Supply | A1 | 0 | 0 | 10 | 0 | 
Starting with a demand for 100 units of Item A in Organization M1 on Day 2, you consume 30 units of supply from A and A1 leaving you with a net demand of 70 units. A planned order demand for item A is created and pushed down to Org S1, where you will consume 20 units of supply from Item A and 10 units of supply from item A1. (Notice that the demand is pushed down for A instead of A1. If you push down the demand on A1, you run a risk of not using supply from item A). Now you are left with a net demand of 40, for which you create a planned order demand for item A and push it down to Org D2. You consume 10 units of supply from both A and A1 leaving you a net deficit of 20 units.
Now that you have exhausted all original item supplies and substitute supplies in the supply chain, you need to still produce 20 units. The creation of 20 units of supply follows the normal planning logic.
So far we have seen how rules-based substitution works in Oracle APS. The logic is driven by set of rules rather than various costs that play a role in substitution decisions in an optimized plan. If you want your substitution logic to be driven purely by costs, you can run optimized plans based on costs. Substitution definition remains the same, but many of the rules described above may not be followed. Standard cost of items, carrying costs, penalty costs for satisfying the demand late, objectives chosen at the plan will affect the logic of substitution.
When substitution occurs in Planning, an exception message is generated. A typical planning process may consist of analyzing exceptions generated by the plan, drilling into the details of exceptions, analyzing supply demand records using the Supply/Demand window, vertical plan and pegging. In this process you may access substitution definition and characteristics several times. Users may access the horizontal plan to get a detailed understanding of the demands placed by the substitution, supplies received as a part of substitution logic, and analyze possibilities of improving the solution based on their knowledge.
When the system performs a substitution, the following exception message is generated: Demand satisfied using end item substitution. These exceptions are summarized in the Substitutes and Alternates Used exception group.
Oracle APS converts the demand from the original item to substitute items if substitute supply is found. Access the Exception Details window to view the demand that has been satisfied by the substitute item.
Use the information in the following table to specify the fields and options.
| Field | Description | 
|---|---|
| Org. | Organization in which the exceptions occurred | 
| Item | The item for which you received the demand, the exception is for this item. | 
| Quantity | The quantity on the original order | 
| Order number | Sales Order Number or MDS/Forecast name for the From item | 
| Substitute items | This is the item to which the demand was transferred. | 
| Substitute Qty. | The demand transferred quantity. | 
| Substitute Org. | The organization at which you found the supply | 
From the end item exception, you can select either the Items or the Supply/Demand window.
If you right-mouse click from the exception detail, the following menu appears: Demand, Sources, Destination, Horizontal plan, and Vertical plan.
To view these demands, select the exceptions message and select the Supply/Demand button. The Demand window shows you each demand for that record.
You can look at pegging for each record from the Demand window to analyze replenishment for each demand. The Original Item and the Original Quantity are fields that are available in the Demand window that may be helpful in understanding substitute exceptions. These are optional fields that can be added to the window by selecting Folder > Show Fields.
If substitute supply is found in another organization, you will be able to see the original organization in the pegging details for that demand.
You can release the substitute item to the sales order through Planner Workbench. See Substitutes and Alternates Used Exception Group, exception message Demand satisfied using end item substitution.
Oracle ASCP converts the demand from the original item to substitute item/s if substitute supply is found. In the following example, Plug in Card 100 can be substituted for Plug in Card 150 and Plug in Card 200. You have 50 units of Plug in Cards 150 and 200 in stock and you receive 100 units of demand for Plug in Card 100. Oracle ASCP splits the original demand (for Plug in Card 100) of 100 units into two pieces; the first will be demand for 50 units of Plug in Card 150, the second demand will be for 50 units of Plug in Cards 200. The demand has been transferred to the substitute item. The rest of this section explains how review the exception details.
Once you identify that demands have been satisfied by substitute items from exceptions, you can navigate to the Demand window from the Exception Details window. Select the record and right-click. Select Demand from the drop-down menu. This is available for each line of the exception message Demand Satisfied by Substitute End Items. The Demand window shows you all the demand splits associated with the original demand.
If you navigate to the Demands screen from the exception message Demand Satisfied by Substituting End Items for item Plug in Card 100, you will see two records in Demands window; the first will be demand for 50 units of Plug in Card 150; the second demand will be for 50 units of Plug in Cards 200. If you happen to have 10 units of Plug in Card 100 in stock you will see three records as follows:
10 units of demand for Plug in Card 100
40 units of demand for Plug in Card 150
50 units of demand for Plug in Card 200
If you plan for substitution, it is only logical to initiate the execution of the substitution from Planning. A general workflow is initiated by the Planning engine to notify relevant people in your organization of substitution decisions.
You can also release the substitute item to the sales order through Planner Workbench. See Substitutes and Alternates Used Exception Group, exception message Demand satisfied using end item substitution.
For each occurrence of the exception message: Demand Satisfied by Using End Item Substitution, a workflow is initiated and sent to the planner associated with the original item. At this point you can end the workflow or notify the Sales Representative or the Customer Contact of the substitution.
Following is a diagram of the workflow initiated by the planning engine. You will notice that there is not an alternative to change the line item based on the workflow. Users can manually change the line items as long as the orders are in a pre-booking stage.
Workflow Initiated by the Planning Engine

The heading of the workflow is Demand Satisfied by Substituting End Items. The following details are shown in the workflow:
From item: The item for which you received the demand, the exception is for this item.
Plan name: Name of the plan
Order Number: Optional based on the type of demand
Line Number: Optional based on the type of demand
Original Quantity: The requested quantity
Substitute item: Substitute item, this is the item to which the demand was transferred. These could be multiple items.
Organization: Organization at which the exceptions happened.
Substituted Quantity: The demand transferred quantity.
Substitute Supply Organization: The organization at which you found the supply.
Substituting supply of a higher level item (in a substitution chain) for a demand from lower level item (in a substitution chain) demand is a decision that needs to begin with Oracle Global Order Promising. Since both ASCP and Oracle Global Order Promising processes are analyzing the same data, the logic with which the substitutions are done needs to be consistent. Oracle Global Order Promising supports almost all the features mentioned in the End Item Substitution Features section. In some cases, the way Oracle Global Order Promising supports the product substitution features is slightly different from the planning engine.
For more information, see End Item Substitution in Oracle Global Order Promising Implementation and User's Guide.
This section discusses the following topics:
User defined alternate decision rules for constrained plans
User-defined alternate decision rules for optimized plans
Planning search logic
This feature allows you to automatically select alternate routings, resources, bills of material, items, and sources.
It does this by providing decision rules giving you the ability to do the following:
Intelligently select alternatives with the minimum data input prerequisites possible. You can run a supply chain plan that automatically selects alternate routings, BOM, resources, suppliers, internal sources, end-items and components with the minimum amount of input.
Enforce a specified sequence of decision-making actions (which may mimic a planner's problem resolution thought process.) The sequence in which the planning engine looks for supply using standard Oracle Application functions is transparent to the user. (For example you may specify substitutes for a given component but not alternate sources.). You can specify a global decision rule when more than one supply source can satisfy the demand. (For example if you have specified both substitutes and alternate sources, you can choose one over the other.)
Make easier APS planning decisions because the decision-making process is more transparent. You can select alternates when the primary source of supply is unable to satisfy the demand. In doing so, you can express your preference as business rules, such as: the alternate resource should be used before looking for alternate supply and substitute components.
Restrict planning to a universe of authorized decision-making actions (for example, permit exploration of alternate routings and substitute items but not of sourcing or permit substitute components but do not permit end item substitution, even though rules are specified for the given items at the source level.
If you opt to use the User Defined Decision Rules for constrained plans, you do not have to setup the complete cost data and cost penalty factors for end item substitutes, substitute components, alternate bills of material (BOM)/routings, and alternate sources of supply. While optimization requires accurate costing of all entities to arrive at useful results, User Defined Decision Rules do not consider costs. The selections are done based on the priorities you enter in the source instance. For example, for substitute components, if the primary component that you selected is not available, then the planning engine considers the priority 2 substitute. If the priority 2 substitute is not available, then the planning engine considers the priority 3 substitute, and so on.
Constrained Plans and Alternate Rules - Two Methods
Please note that there are two different methods of constrained planning and the method to be used is determined by the site profile option MSO: Enable Decision Rules. If MSO: Enable Decision Rules is set to No (this is the default), you cannot use any alternate rule except for alternate resources, and to some extent, alternate suppliers. If MSO: Enable Decision Rules is set to Yes, you can select and define alternate rules. The rules are used by the planning engine according to the order in which they appear in the Decision Rules tab of the Plan Options window. For additional details, please refer to Constraint-Based Planning.
The following steps and diagrams outlines the procedures used to select alternates for a constrained plan. The steps provide a more in-depth explanation for the procedures shown in the diagrams.
Perform your source data setups.
Define or open the Plan Options window.
Set up the desired plan options using all the appropriate tabs from this window.
If you have set the profile option MSO: Enable Decision Rules to No, none of the following steps apply. Go to step 7.
If you have set the profile option to Yes, you can select the Decision Rules tab if you want to change the default settings, which are shown in the following table:
| Decision Rule | Status | 
|---|---|
| Use End Item Substitution | <cleared> | 
| Use Alternate Resources | <selected> | 
| Use Substitute Components | <selected> | 
| Use Alternate BOM/Routing | <selected> | 
| Use Alternate Sources | <selected> | 
Enable or disable decision rules.
You can enable and disable the decision rules for constrained plans. These decision rules are used to derive the constrained plan, while honoring your preferences. If any of the rules are disabled, then the planning engine will not have the ability to look for supply pertaining to these rules.
The meanings of the decision rules are shown in the following table:
| Decision Rule | Status | Meaning | 
|---|---|---|
| Use alternate sources | <selected> | Use primary sources as far as possible and use alternate sources only if necessary. | 
| Use alternate sources | <cleared> | Use primary sources only. Alternate sources (sources of rank 2 or higher) will not be used as a source of supply. | 
| Use alternate BOM/routings | <selected> | Use primary routing as far as possible and use alternate only if necessary. | 
| Use alternate BOM/routings | <cleared> | Use only primary BOM/Routing | 
| Use alternate resources | <selected> | Use primary resource as far as possible and use alternate resource only if necessary. | 
| Use alternate resources | <cleared> | Use only primary resources | 
| Use end item substitutions | <selected> | Use primary item and end item substitute, when enabled, prior to creating new planned orders. | 
| Use end item substitutions | <cleared> | Use only the demanded item. Do not use the end item substitute. | 
| Use substitute components | <selected> | Use primary items as far as possible and use substitute component only if necessary. | 
| Use substitute components | <cleared> | Use primary items/components only. | 
If you want the planning engine to use more alternate resources, routings, and sources from the user-defined decision rules, set profile option MSO: Resource Adjustment Factor For Improved Offloading to Alternates. Use a number between and including 0 and 1.
The factor adds a resource constraint which reduces resource availability; for example, if you enter 0.8, the planning engine reduces the resource availabilities by 20%. The planning engine offloads more work to alternate supply methods.
This factor affects how the planning engine decides to select alternates. It does not affect the final scheduling and resource loading process.
The major features include:
Data setup for decision rules
Constrained plans based on user-enabled decision rules
Support for current APS engine's logic and behavior for constrained plans.
Profile Option MSO: Enable Decision Rules
The site level profile option MSO: Enable Decision Rules enables or disables the Decision Rules tab in the Plan Options window. If this profile option is set to Yes, the Decision Rules tab is enabled and the decision rules you set using this tab are used; if it is set to No, the Decision Rules tab is disabled and the APS engine uses the current engine logic for planning.
The default display status of the Decision Rules tab depends on the status of the tab in the plan's previous run. If in the previous run, this profile option was set to No, then the Decision Rules tab displays the default status (all decision rules checked) of the Decision Rules tab. If in the previous run, the profile option was set to Yes, then the Decision Rules tab displays the status of the tab as it was in the last plan run.
Decision Rules Implementation for Constrained Plans
The main objective of the constrained plan is to meet demand in time. There are two options in the constraint planning mode: Enforce Demand Due Dates and Enforce Capacity. You can choose these in the Constraints tab of the Plan Options window. These are used to describe the objective of the constraint plan.
You can define the various constraints (material or resources or both) using the Constraints tab in the Plan Options window.
To invoke this option of using the decision rules for constrained plan, you set the site profile option MSO: Enable Decision Rules to Yes. The default for this profile is No. When this profile option is set to No, constrained plans will be based on the current constrained planning engine.
Criteria for Selection of Alternates
It is possible to have multiple alternates for sourcing, substitute components, resources and BOM/Routing. This section deals with the use of source data setup for selection of alternates.
You can define the priority of the sources in the sourcing rule. By default, the planning engine tries to minimize the use of alternate sources. But if it necessary to use the alternate sources, then the planning engine uses the rank that you have assigned to the source for selecting the alternates. An example of such a situation is if you would like to use and exhaust the supply from the sources with a higher rank before you select one with lower rank. When there is more than one source set at the same rank, planning searches for supply in the following order
Make
Transfer
Buy
If you have specified more than one source of supply of the same type, planning uses the supply at its discretion. (For example you have two make sources and both are at priority 1).
The above search assumes that you have not enforced sourcing splits. You can define ranks for Alternate Sources using the Sourcing Rules and Bill of Distribution screens. For additional information, see Setting Up the Supply Chain.
Substitute component:
You can define the priority of the substitute component. By default, planning tries to minimize the use of substitutes. Also, the planning engine has an built-in logic that tries to use substitutes at a lower level in your BOM than close to product completion in the BOM. Planning will honor the priority that you have defined while searching for supply from the various substitutes.
You can define priorities for Substitute Components in the Substitute Component Information screen.
For additional information on this screen, please refer to the Oracle Bills of Material User's Guide.
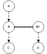
The diagram below indicates the planning logic for a component B with B1 as the substitute component. As shown in the diagram, Planning will look for projected available supply of item B (on hand and existing supplies) and then projected available supply for item B1. After that, Planning will recommend creating a planned order for item B using primary BOM/Routing and alternate resources. Planning will then generate planned orders for item B1 using primary BOM/Routing and alternate resources. If additional supply is needed, Planning will use the alternate BOM/Routing for item B and then for item B1 before looking to source items B and B1 from an alternate source/facility.
Planning Logic for Substitute Component

Alternate Resources:
By default, the planning engine tries to minimize the use of alternate resources. But if it has to use the alternates, it uses the priority you have assigned to the alternate resource while using the capacity from this resource to build supply. If more than one resource is specified at the same rank, then the planning search is at its discretion for constrained plans.
You can define priorities for Alternate Resources using the Operation Alternate Resources screen.
The rank that you specify for Replacement Group in the Operation Alternate Resources screen is the priority of the alternate resources.
Alternate BOM/Routing:
Planning uses the combination of Bill of Material definition and the routing of a particular item to define the process. If the planning engine selects an alternate bill of material that does not have a corresponding routing, it uses the primary routing. If the planning engine selects an alternate routing that does not have a corresponding alternate bill of material, the planning engine uses the primary bill of material.
By default, the planning process tries to minimize the use of lower priority BOM/Routing. You can specify the priority in the Routing Details form.
Note: In the Routing Details form, priorities for routings are unique, so you cannot assign the same priority to two different routings for a different item. However, internally you may get the same priority for two different routings. How this happens is explained in the next section.
You can define priorities for Alternate BOM/Routing using the Routing Details screen.
Default BOM/Routing Priority
If you do not specify any priority for the BOM/Routing in the Routing Details form, the following rule will apply for calculating the default priority:
If the alternate designator is NULL, then default priority will be internally assumed to be 1
If you specify an alternate designator for the BOM/Routing, then the default priority will be internally assumed to be 2
User-Specified BOM/Routing Priority
You have the ability to specify any priority to a particular BOM/Routing. Planning uses the priority to load the particular BOM/Routing for supply derivation. The ability to specify any priority to any BOM/Routing gives you the flexibility to assign a higher priority to an alternate BOM/Routing.
For example, you can designate a BOM/Routing whose alternate designator is NULL to 2 and specify a priority of 1 to BOM/Routing that has a valid alternate designator of ALT_ROUTE_2. Planning will honor the priority and suggest BOM/Routing as defined by alternate designator ALT_ROUTE_2 before using the BOM/Routing with the alternate designator as Null.
Note: When there is more than one alternate of the same rank, then planning will use the supply at its discretion. For example for a given item A:
BOM/Routing1: alternate designator = NULL, priority = 1
BOM/Routing2: alternate designator = ALT_ROUTE_2, priority = 1
BOM/Routing3: alternate designator = ALT_ROUTE_3, priority = 2
In this case, the planning engine will try to use either Routing1 or Routing2 first. Then, if necessary, it will try to use Routing2 or Routing1. Then, if necessary, it will move on to Routing3.
Note: For information on End-Item Substitutions, please refer to End-Item-Level Substitution.
Examples of How Alternate Decision Rules are Used
This section contains three scenarios that describe how alternate decision rules are used.
The following tables provide background information for the three scenarios.
Day 0 Demand Information
| Product | Demand | Due Date | Capacity | 
|---|---|---|---|
| A | 60 units | 1 | 100 units/day | 
| A | 120 units | 2 | 100 units/day | 
| A | 80 units | 3 | 100 units/day | 
Bill of Material for Item A
| Component (Make/Buy) | Op sequence | Quantity | Substitute | 
|---|---|---|---|
| B (Make) | 10 | 1 | D (Make) | 
| C (Buy) | 20 | 2 | E (Make) | 
Routing for Item A
| OP Sequence | Operation | Resource | Alternate | 
|---|---|---|---|
| 10 | Milling | M10 | M20 | 
| 20 | Grinding | G10 | G20 | 
Capacity information:
| Resource | Capacity | 
|---|---|
| M10 | 60 units/day | 
| M20 | 60 units/day | 
| G10 | 100 units/day | 
| G20 | 100 units/day | 
Project available on Day 2:
| Type | Units | 
|---|---|
| Item A | 0 | 
| Component B | 90 | 
| Component C | 200 | 
| Sub. Component D | 30 | 
| Sub. Component E | 100 | 
Sourcing rule for Item A:
| Rule | Org | % | Priority | Capacity | 
|---|---|---|---|---|
| Make at org M | M | 100 | 1 (Primary) | 100/day | 
| Source from org S | S | 100 | 2 (Alternate) | 60/day (lead-time 1 day) | 
Suppliers and capacity:
| Supplier | Item | Capacity | Priority | Sourcing % | 
|---|---|---|---|---|
| Test 1 | C | 50 | 1 (Primary) | 50 | 
| Test 2 | C | 100 | 2 (Primary) | 50 | 
The default ranking is shown in the following table:
| Rank | Objective | 
|---|---|
| 1 | Use end item substitutions | 
| 2 | Use alternate resources | 
| 3 | Use substitute components | 
| 4 | Use alternate BOM/Routing | 
| 5 | Use alternate sources | 
The planning engine plans for the 120 units of Item A on Day 2 by combining the following two actions:
Use alternate resource (M2/G10) along with primary (M10/G10)
Use component substitutions for B (B 90 + D 30) and C (C 200 + E 40)
If the demand on Day 2 is only 90, then the solution is achieved by selecting only alternate resources (alternate resource (M20/G10) along with primary (M10/G10).
The decision rule Use Substitute Components is unchecked. This makes the default ranking:
| Rank | Objective | 
|---|---|
| 1 | Use end item substitutions | 
| 2 | Use alternate resources | 
| 3 | Use alternate BOM/Routing | 
| 4 | Use alternate sources | 
The planning engine plans for 120 units of Item A on Day 2 by combining the following two actions:
Use alternate resource (M20/G10) along with primary (M10/G10) to make 90
Source 30 of Item A from Org S.
The planning engine completely ignored the opportunity of available supply from the component substitutes.
The information in the following table helps to illustrate the role of Enforce sourcing splits and Enforce capacity constraints. The net demand for Item C is 200
| Supplier | Capacity | Enforce Demand Due Dates and Enforce Sourcing Splits on | Enforce Capacity Constraints on and Enforce Sourcing Splits off | Enforce Capacity Constraints on and Enforce Sourcing Splits on | 
|---|---|---|---|---|
| Test 1 | 50 units | Supplies 100 | Supplies 50 | Supplies 50 | 
| Test 2 | 100 units | Supplies 100 | Supplies 100 | Supplies 100 | 
Assume that Supplier Test1 has a capacity of 50 units of Item C and Supplier Test2 has a capacity of 100 units of Item C. Also, assume the net demand for item C is 200 units. If we enforce sourcing splits, then Test1 would have to supply 100 units and Test2 would also have to supply 100 units. (Assuming Enforce Demand Due Dates is enabled)
If Enforce Capacity Constraints is enabled, then Supplier Test1 would have to supply 50 units and Supplier Test2 would have to supply 100 units. Supply for 50 units would be on a different day. (Assuming Enforce sourcing splits is disabled.)
If both Enforce Capacity Constraint and Enforce Sourcing Split are enabled then Supplier Test1 would supply 50 units, Supplier Test2 would supply 100 units and the remaining 50 units would be on a different day. Please note that the Enforce Demand Due Dates and the Enforce Capacity Constraints takes precedence over Enforce Sourcing Splits. The sourcing splits are valid only for rank 1 sources and are enabled by default for a constrained plan.
This section contains two scenarios that describe the selection of alternates for network routing based on:
Primary Path
Planned Percentage
(For additional information, please seeNetwork Routings). The optimize scheduling method is not supported for constrained plans that use user-defined decision rules. The following diagrams and the first table provides background information for the two scenarios.
The following diagram shows the BOM for Item A where B1 is the substitute for B.
Bill of Material

The next diagram shows network routing for Item B. The capacity at Operation 20 is 80 per day and the capacity at Operation 30 is 40 per day. The percentage split at Operation 10 is 50% each for Operation 20 and 30.
Network Routing for Item B

The following diagram shows network routing for Item B1. The capacity at Operation 30 is 80 per day, and the capacity at Operation 40 is 40 per day. The percentage split at Operation 10 is 25% for Operation 20, 50% for Operation 30, and 25% for Operation 40.
Network Routing for Item B1

The following table shows the demand for Item A.
| Demand | Date | Quantity | 
|---|---|---|
| A | 1 | 80 | 
| A | 2 | 120 | 
| A | 3 | 160 | 
The following table shows how supply would be affected if the scheduling method was Primary Path.
| Item | Date | Supply | 
|---|---|---|
| A | 1 | 80 | 
| A | 2 | 120 | 
| A | 3 | 160 | 
| B | 1 | 80 | 
| B | 2 | 80 | 
| B | 3 | 80 | 
| B1 | 2 | 40 | 
| B1 | 3 | 80 | 
All the demand for Item A will be met on time. To meet the demand on Days 2 and 3, substitute item B1 is selected. On Day 2, the demand for 120 is satisfied with a supply of 80 units of item B and 40 units of items B1, whereas on Day 3 the demand for 160 units of item A requires 80 units of item B and 80 units of item B1, all using only the Primary operation sequences.
Note that there is no supply available from the alternate path when the planning method is based on the primary path.
The following table shows how supply would be affected if the scheduling method was Planned Percentage.
| Item | Date | Supply | Alternate | 
|---|---|---|---|
| B | 1 | 40 | 10-20 | 
| B | 1 | 40 | 10-30 | 
| B | 2 | 40 | 10-20 | 
| B | 2 | 40 | 10-30 | 
| B1 | 2 | 10 | 10-20 | 
| B1 | 2 | 20 | 10-30 | 
| B1 | 2 | 20 | 10-40 | 
All the demand for item A is met on time, but since the network scheduling method is based on Planned Percentage, both the Primary and the Alternate nodes are used to meet the demand in time. For example, item B is produced on both nodes 10-20 and 10-30 by placing a demand of 40 units per each node.
Note that the maximum capacity is constrained by the most-capacity-constraining node of the network routing.
When simulating constrained ASCP plans, do not toggle the site level profile option MSO: Enable Decision Rules. Switching the profile option values and running online plans may lead to erroneous results.
When simulating the changes in demand priorities, keep the priorities contiguous. For example, if the original demand priority for Demand1, Demand2 and Demand3 for a demanded item were 1, 2, and 3 respectively, you can change the demand priority for Demand1, Demand2 and Demand3 to 2, 1, and 3 but not 2, 1, and 18.
For further details on plan simulations, please refer to Simulations.
This feature allows you to automatically select alternate routings, resources, bills of material, items, and sources. Optimized plans provide the most cost-effective planning solution.
It does this by providing decision rules giving you the ability to do the following:
Intelligently select alternatives with the minimum data input prerequisites possible. You can run a supply chain plan that automatically selects alternate routings, BOM, resources, suppliers, internal sources, end-items and components with the minimum amount of input.
Enforce a specified sequence of decision-making actions (which may mimic a planner's problem resolution thought process.) The sequence in which the planning engine looks for the most cost-effective supply using standard Oracle Application functions is transparent to the user. (For example you may specify substitutes for a given component but not alternate sources.). You can specify a global decision rule when more than one supply source can satisfy the demand. (For example if you have specified both substitutes and alternate sources, ASCP will select the most optimal solution. In case of multiple cost-effective solutions, ASCP will use the decision rule sequence to arrive at the solution.)
Restrict planning to a universe of authorized decision-making actions (for example, permit exploration of alternate routings and substitute items but not of sourcing or permit substitute components but do not permit end item substitution, even though rules are specified for the given items at the source level.)
Note: The site level profile option MSO: Enable Decision Rules has no bearing on an optimized plan. The Decision Rules tab in the Plan Options window is always available for an optimized plan.
The following steps and diagram outline the procedures used to select alternates for an optimized plan. The steps provide a more in-depth explanation for the procedures shown in the diagrams.
Define cost and penalty factors at various levels to model required behavior.
Perform data setups.
Define or open Plan Options window.
Set up your plan parameters using all the appropriate tabs.
Choose the Constraints tab and select the Constrained Plan checkbox.
Choose the Optimization tab and select the Optimize checkbox.
Set up the required parameters for plan objectives and penalty factors.
If you want to make changes to the default decision rule, choose the Decision Rules tab. If not, skip to step 10.
Enable or disable decision rules.
You can enable and disable the decision rules. These decision rules are used to derive the optimized plan, while honoring your preferences. If any of the rules are disabled, then the planning engine will not look for supply pertaining to these rules.
The meanings of the decision rules are shown in the following table:
| Decision Rule | Status | Meaning | 
|---|---|---|
| Use alternate sources | <selected> | Use primary sources as far as possible and use alternate sources only if necessary. | 
| Use alternate sources | <cleared> | Use primary sources only and alternate sources (sources of rank 2 or higher) will not be used as a source of supply. | 
| Use alternate BOM/routings | <selected> | Use primary routing as far as possible and use alternate only if necessary. | 
| Use alternate BOM/routings | <cleared> | Use only primary BOM/Routing | 
| Use alternate resources | <selected> | Use primary resource as far as possible and use alternate resource only if necessary. | 
| Use alternate resources | <cleared> | Use only primary resources | 
| Use end item substitutions | <selected> | Use primary item and end item substitute, when enabled, prior to creating new planned orders. | 
| Use end item substitutions | <cleared> | Use only the demanded item. Do not use the end item substitute. | 
| Use substitute components | <selected> | Use primary items as far as possible and use substitute component only if necessary. | 
| Use substitute components | <cleared> | Use primary items/components only. | 
If you want the planning engine to use more alternate resources, routings, and sources from the user-defined decision rules, set profile option MSO: Resource Adjustment Factor For Improved Offloading to Alternates. Use a number between and including 0 and 1.
The factor adds a resource constraint which reduces resource availability; for example, if you enter 0.8, the planning engine reduces the resource availabilities by 20%. The planning engine offloads more work to alternate supply methods.
This factor affects how the planning engine decides to select alternates. It does not affect the final scheduling and resource loading process.
The major features include:
Setup for the weighted objectives for optimization
Data setup for decision rules
Optimization based on user-defined weights for the objectives and user-enabled decision rules
Define Plan Objectives
You can prioritize the plan objectives as weights. The list of plan objectives is provided in the following table. You can define and set the weight for the objectives for each optimized plan.
| Objective | Weight | 
|---|---|
| Maximize inventory turns | 0 to 1 | 
| Maximize plan profit | 0 to 1 | 
| Maximize On-time delivery | 0 to 1 | 
For additional information, please refer to Optimization.
Optimization Based on User-Defined Priority for Decision Rules
You have the ability to disable any decision rules for a particular plan prior to launching the plan.
The base data setup like items, bill of materials and sourcing rules are used to recommend the most optimized plan based on the objectives you have specified. User-defined decision rules and the priority of the decision rules will be honored for tie breaking amongst various cost-effective solution possibilities. For example, ASCP may suggest the use of alternate resource instead of the primary resource, if alternate resource is more cost effective than the primary resource. This is shown in the following example:
First, use the examples in the section Examples of How Alternate Decision Rules are Used section starting and then also assume that the cost of making item A in Org M is $100 and the cost of buying from Supplier S is only $60. The demand for 120 units on day 2 would be satisfied by procuring 60 units from Supplier 1 and then 60 more from making 60 units of item A using resources M10 and G10 and using 60 units of item B and 120 units of item C.
The constrained plan would recommend the use of a higher ranked source (Org M) before using a lower ranked source (Supplier S); however, the optimized plan would recommend using the most cost-effective source.
However, if both making at Org M and buying from Supplier S were $100, the optimized plan would recommend the use of Org M because it is a higher ranked source.
This section describes the planning search logic for user-defined alternate decision rules for both optimized and constrained plans. The planning logic uses a series of steps depending on the constraints used for the plan. The planning search logic is illustrated below using the supply chain for assembly item A with end-item substitute item A1. Item A is made of B and C with B1 and C1 as the substitute components. B and C in turn need items D and E respectively. To simplify the search we will not expand the substitute component B1 and C1 and also assume the same BOM and routing for All items across Manufacturing 11 and Manufacturing 21. In addition, we have made the following two assumptions:
There is high demand placed on the distribution center
For optimized plans, cost effectiveness at each node across the given supply-chain is the same
Supply Chain for Item A

The planning engine searches on-hand quantity and schedules receipts (item A and end item substitute A1) across each tier before creating new planned orders for the demanded item. (Please refer to End Item Substitution chapter). To look for on-hand quantity and scheduled receipts of the demanded item and the end-item substitute, ASCP uses the search logic as specified below.
Distribution center for item A
Distribution center for item A1
Warehouse 1 for item A
Warehouse 1 for item A1
Manufacturing 11 for item A
Manufacturing 11 for item A1
Manufacturing 21 for item A
Manufacturing 21 for item A1
The following diagram illustrates the tier-by-tier search logic for on-hand quantity and scheduled receipts for end items.
Figure title

If there is no on-hand/scheduled receipts for either A and A1 or on-hand quantity is not adequate to satisfy demand, then ASCP will create the planned orders to satisfy net demand for A, B, C, D and E in the following method:
When creating planned orders for A:
Transfer A from Warehouse 1 to Distribution Center
Make A at Manufacturing 11 using primary resource and primary BOM/Routing and Primary components B (Refer to Planning for B at Manufacturing 11), C (Refer to Planning for C at Manufacturing 11), D (Refer to Planning for D at Manufacturing 11), and E (Refer to Planning for E at Manufacturing 11)
Make A at Manufacturing 11 additionally using alternate resource
Make A at Manufacturing 11 additionally using substitute components (B1, C1 if needed)
Make A at Manufacturing 11 using Alternate routings/BOM
Make A at Manufacturing 21 using primary resource and primary BOM/Routing and Primary components (B (Refer to Planning for B at Manufacturing 21), C (Refer to Planning for C at Manufacturing 21), D (Refer to Planning for D at Manufacturing 21), E (Refer to Planning for E at Manufacturing 21)
Make A at Manufacturing 21 using alternate resource
Make A at Manufacturing 21 using substitute components (B1, C1)
Make A at Manufacturing 21 using Alternate routings/BOM
Use on-hand/scheduled receipts for B in Manufacturing 11
Use on-hand/scheduled receipts for B1 in Manufacturing 11
Make B at Manufacturing 11 using primary Resources, BOM/Routing and component D (Refer to Planning for D at Manufacturing 11)
Make B at Manufacturing 11 using alternate resources
Make B1 at Manufacturing 11 using primary Resources, BOM/Routing and components
Make B1 at Manufacturing 11 using alternate resources
Make B at Manufacturing 11 using alternate BOM/Routing
Make B1 at Manufacturing 11 using substitute components
Make B1 at Manufacturing 11 using alternate BOM/Routing
Use on-hand for B in Manufacturing 21
Use on-hand for B1 in Manufacturing 21
Make B at Manufacturing 21 using primary Resources, BOM/Routing and component D (Refer to Planning for D at Manufacturing 21)
Make B at Manufacturing 21 using alternate resources
Make B1 at Manufacturing 21 using primary Resources, BOM/Routing and components
Make B1 at Manufacturing 21 using alternate resources
Make B at Manufacturing 21 using alternate BOM/Routing
Make B1 at Manufacturing 21 using substitute components
Make B1 at Manufacturing 21 using alternate BOM/Routing
Transfer from Manufacturing 21
Use on-hand for C in Manufacturing 11
Use on-hand for C1 in Manufacturing 11
Make C at Manufacturing 11 using primary Resources BOM/Routing and component E (Refer to Planning for E at Manufacturing 11)
Make C at Manufacturing 11 using alternate resources
Make C1 at Manufacturing 11 using primary Resources BOM/Routing and components (E)
Make C1 at Manufacturing 11 using alternate resources
Make C at Manufacturing 11 using alternate BOM/Routing
Make C1 at Manufacturing 11 substitute component
Make C1 at Manufacturing 11 using alternate BOM/Routing
Use on-hand for C in Manufacturing 21
Use on-hand for C1 in Manufacturing 21
Make C at Manufacturing 21 using primary Resources BOM/Routing and component E (Refer to Planning for E at Manufacturing 21)
Make C at Manufacturing 21 using alternate resources
Make C1 at Manufacturing 21 using primary Resources BOM/Routing and components (E)
Make C1 at Manufacturing 21 using alternate resources
Make C at Manufacturing 21 using alternate BOM/Routing
Make C1 at Manufacturing 21 substitute component
Make C1 at Manufacturing 21 using alternate BOM/Routing
Use on-hand/scheduled receipts of D at Manufacturing 11
Buy D from supplier 1
Look for alternate source of supply
Use on-hand/scheduled receipts of D at Manufacturing 21
Buy D from supplier 1
Look for alternate source of supply
Use on-hand/scheduled receipts of E at Manufacturing 11
Buy E from supplier 2
Look for alternate source of supply (none defined)
Use on-hand/scheduled receipts of E at Manufacturing 21
Buy E from supplier 2
Look for alternate source of supply (none defined)
When running a constrained plan with the site level profile option MSO: Enable Decision Rules set to Yes, ASCP uses the following:
Item lead-times that are defined as item attributes
In-transit lead-times defined between organizations
Resource availability and usages as defined by the resources and the assembly's routing
The lead-time item attribute is composed of preprocessing, processing, postprocessing, fixed, and variable lead-times.
The following shows how total processing lead-time and cumulative lead-times for make and buy items are calculated for user-define decision rules:
Total processing lead-time = ((1 + Queue time factor) * Processing lead-time) --then rounded--
where Queue time factor is the site level profile option value for MSO: Queue Time Factor.
If routing for the make item is not defined, Cumulative lead-time = Fixed lead-time + (Scheduled quantity * Variable lead-time).
For a buy item, the processing lead time is based on the most specific definition. If there is a processing lead time assigned to the item supplier relationship, then ASCP uses that as the processing lead time. If not, it will use the item attribute for the processing lead time.
Total processing lead time = Preprocessing lead-time + Postprocessing lead time + Processing lead time.
Cumulative lead time = Preprocessing + Fixed lead time + (Scheduled quantity * Variable lead time) + Postprocessing lead times.
If the fixed and variable lead times are not set, fixed lead time assumes the value of the processing lead time defined at the item attribute.
In transit lead times are used for all transfers between the sourcing and destination organizations.
For the planning engine to follow the predefined sequence of selecting alternates, the derived value of the total processing lead time and the cumulative lead times should be the same. Any discrepancies between the total value of the two lead times may result in ASCP not following the predefined sequence of selecting alternates.
Looking at pegging may not be the method you should use to determine the sequence of selection of alternates. This is because the sequence of selection of alternates is more apparent when looking at total demand and total supply across the time bucket where there is a constraint.
For example, suppose there are two demands, D1 (150 units) and D2 (50 units) on day 1 and day 2 for item B, and the only way to satisfy this demand is by making 100 units with primary resource/routing/BOM and 50 units using substitute component B1 and 50 units of B with alternate BOM/routing. Then, day 1 demand will peg to 100 units of item B using primary resource/routing/BOM and 50 units of item B using alternate BOM/routing. Day 2 demand will peg to 50 units of substitute component B1.
If you look at just the pegging for D1, 50 units of the substitute component is not used. Instead, 50 units of the alternate BOM/routing is pegged to D1. Therefore, it looks as if ASCP has broken the user-defined sequence. But, if the demand was for only 150 units, then the supply would be 100 units of item B and 150 units of substitute component B1, which follows the user-defined sequence.
Once the planning engine runs, you may find several instances where the engine has recommended alternates. When this happens, an exception message is generated. Typical flow may consist of analyzing exceptions generated by the plan, drilling into the details of exceptions, analyzing supply demand records using Supply/Demand window, vertical plan and pegging. Users may access the horizontal plan to get a detailed understanding of the demands placed on the alternates, supplies received as a part of the user-defined decision rule, and analyze possibilities of improving the solution based on their knowledge.
When the system suggests the use of alternates, it also generates required exception messages referencing the type of alternates used. These exceptions are summarized in the Substitutes and Alternates Used exception group.
This feature restricts plan information access to authorized individuals. Oracle ASCP allow users to associate job responsibilities to organizations for security purposes. This ensures that you see/change planning data in an organization only if you have a job responsibility associated with the organization.
Examples:
User 1 is restricted to organization M2
User 2 has global authorization to access all organizations including organizations M1 and M2.
User 2 creates a plan for organizations M1 and M2 (owning organization is M1). User 1 can access this plan and view and execute only the portion of this plan related to organization M2.
The following diagram illustrates the procedure flow for assigning users and job responsibilities to organizations:

Define custom responsibility in the Planning Server. To do this, sign in using the System Administrator responsibility. From the Navigator, select Security > Responsibility > Define. Fill in the appropriate fields with the appropriate information.
Define users and assign responsibilities. To do this, from the Navigator, select Security > User > Define. Fill in the appropriate fields.
Sign on using the Advanced Planning Administrator responsibility.
Note: Only users with APS Administration responsibility can access and view Organization Security.
From the Navigator, select Admin > Organization Security.
The Assign Organizations to Responsibilities page appears.
In the Responsibility field, select the responsibility that you want to associate to organizations. The list of values for the Responsibility field includes all responsibilities defined in the Responsibilities form in the Planning Server. (limited to Oracle ASCP responsibilities).
From the Available Organizations column, select and move any organization to the Assigned Organizations column using the Move button. You can use the Move All button to select all organizations for the specified responsibility. You can use the Remove button to remove any selected organization from the Assigned Organizations column. You can also use the Remove All button to remove all selected organizations.
Select the Save button.
Oracle ASCP restricts users to their authorized inventory organizations. The Organizations Find form displays only the authorized organizations when users attempt to open a form in Oracle ASCP for the first time:
Note: You are also restricted to the authorized organizations when you select the Change Instance/Organization menu item.
For the selected instance/organization, you can view and create plan names in the Supply Chain Plan Names form. The system restricts accessing and viewing plans to authorized users of the owning organization.
You can select organizations for planning in the Org field. The list of values for this field is restricted to authorized organizations which can be accessed by user. This implies that the Plan Organizations Find form list of values is restricted to organizations associated to user.
Note: In general, the Plan Options form can be viewed and updated only if user has access to the owning organization of the plan.
Plan1 has been created in M1 (owning organization) for planning organizations M1 and M2. This means the Plan Names form in M1 includes Plan1, but the Plan Names form in M2 does not include Plan1.
The Organization Security behavior for Plan Names, Plan Options, and the Planner Workbench is summarized for different user authorizations in the following tables.
| User | Authorized To... | Plan Names | Plan Options | Workbench | 
|---|---|---|---|---|
| User 1 | M2 | User 1 cannot view and access Plan1 in the Plan Names form | User1 cannot access Plan Options via the Plan Options menu entry in the Navigator. | User1 can view Plan1 in the left pane of the Planner Workbench, but restricted to Organization M2. However, User1 can view all planned Organizations (M1 and M2) in the Organization tab of the Plan Options form via the Plan menu entry from the tool bar in the Planner Workbench. | 
| User2 | M1 and M2 | User2 can view and access Plan1 in the Plan Names form from organization M1. User2 can copy and launch Plan1. | User2 can access Plan Options via the Plan Options menu entry in the Navigator window. | User2 can view Plan1 in the left pane of the Planner Workbench with both organizations M1 and M2 displayed. | 
| User3 | M1 | User3 can view and access Plan1 in the Plan Names form from organization M1. User3 can copy and launch Plan1. | User3 can view and access Plan1 in the Plan Options form. User3 can delete planned organization M2 but cannot add organization M2. User3 can only add organization M1 to the Plan Options form. | User3 can view Plan1 in the left pane of the Planner Workbench with both organizations M1 and M2 displayed. | 
Oracle ASCP is integrated with the Oracle Business Intelligence System (BIS) performance management system. BIS lets you set the organizational objectives. These objectives, known as Performance Measures in BIS, are referred to as Key Performance Indicators (KPIs) in Oracle ASCP.
KPIs are used to drive continuous improvement in your enterprise. You can set performance targets and exception tolerances by business units or by period and automatically notify the appropriate people when exceptions arise. For information on setting targets, see Oracle Business Intelligence System Implementation Guide.
You can also compare the KPIs for multiple plan simulations using the Planner Workbench.
Oracle Advanced Supply Chain Planning displays these key performance indicators:
Inventory turns
Margin percentage
Planned utilization
On-time delivery
Margin
Inventory value: This key performance indicator is available only for inventory optimization plans.
Utilization by Weight/Volume: This key performance indicator is available only for distribution plans.
Cost breakdown
Service level
Following are descriptions of various KPIs.
Key performance indicator displays for periods group their information for uniformity across organizations in the supply chain plan. They group according to the financial calendar. Many of the Planner Workbench context windows group their information using manufacturing calendars. If you see results that appear not to matc, it may be due to different grouping.
Inventory turns for a given plan between time periods t1 and t2are calculated as follows:
Annual inventory turns = {Value of MDS demand in period [t1,t2] / Value of average inventory in period [t1,t2]} * 365 / (t2- t1)
Value of average inventory in period [t1, t2] = (Inventory at t1 + Inventory at t2)/2
where t1 and t1 are in days
Inventory at time t2 = Inventory at time t1 + Purchase orders during period [t1,t2] + Purchase requisitions during period [t1,t2] + Planned orders during period [t1,t2] + Discrete jobs during period [t1,t2] + Repetitive schedules during period [t1,t2] + Master schedule demand during period [t1,t2]
Note: These calculations use standard costs of items. Standard cost systems use a single value to cost all material and resource transactions in inventory and work in process systems.
To set the value for the target, use profile option MSC: Performance target for Inventory Turns.
Margin percentage is the net difference between planned revenues and planned production costs.
The calculation for margin percentage objective is
Margin percentage = (Plan revenue) - (Plan cost)
Plan revenue = {(Sales order line price) * (Sales order quantity)} + {(Item list price)* Iitem discount) * (Forecast quantity)
Plan revenue is calculated and summed up for all items with independent demand in all time buckets.
Plan cost = Item cost + Transportation cost + Inventory carrying cost
Plan cost is calculated and summed up for all items, resources, and ship methods in all time buckets.
Item cost = (Resource cost * Resource quantity used) + (Buy item cost * Buy item quantity) + (Process cost * Quantity using process)
Transportation cost = (Transfer quantity * Item weight * Shipping cost per unit weight) + (Buy quantity * Item weight * Shipping cost per unit weight)
Inventory carrying cost = Average inventory per bucket * Carrying cost percent * Item cost
Margin percentage is the most aggregate of objectives in the sense that it combines multiple costs.
Planned utilization for a resource or supplier for a planning time bucket is calculated as follows:
Planned utilization = (Hours of capacity actually used / Available hours of capacity) * 100
Note: For production lines and supplier capacities, substitute units for hours.
Aggregate level utilizations for all hierarchy levels are based on average utilization. For example, Planned utilization for a resource is calculated as follows:
Resource Planned utilization = Sum of [Planned utilization for all Planning time buckets] / Number of Planning time buckets
Plan level Planned utilization does not include supplier utilization.
To set the value for the target, use profile option MSC: Performance target for Resource Utilization Percent.
Customer service level or delivery performance are calculated as follows:
((Total number of orders - Number of late orders) * 100) / Total number of orders
To set the value for the target, use profile option MSC: Performance target for Ontime Delivery Percent.
Margin is calculated as follows:
Top assembly margin = (Total shipment units * Standard price) - (Total shipment units * Standard cost)
Aggregate level margin = Sum of margin of top assemblies
You can drill down to plan/org level KPI (revenue vs. cost vs. profit) or to KPI trend. No target is available for Margin KPI.
Margin KPI does not consider discounts.
To set the value of the target, use profile option Performance target for Margin Percent
Cost breakdown KPI is composed of these costs:
Production cost
Inventory carrying cost
Penalty cost
Purchasing cost
Production cost is calculated based on the required resource time and its corresponding cost. Product cost is calculated as follows:
Production cost = Sum of (Resource time needed * Resource cost) for all resources in the organization.
Inventory carrying cost is calculated based on average inventory level in each time bucket. Inventory carrying is calculated as follows:
Inventory carrying cost (period i) = Average inventory of period i * Carrying cost percent
Penalty cost is calculated as follows:
Penalty cost = Demand lateness cost * (Demand satisfied date - Requirement date) * Demand quantity * Item list price
Standard item cost is used in the penalty cost equation in the absence of item list price.
Purchasing cost is calculated based on the standard item cost and the supply quantity.
Purchasing cost = Sum of [Item list price * Supply quantity] for all items
Standard item cost is used in the purchasing cost equation in the absence of item list price.
You can drill down to plan/org KPI or to KPI trend. No target is available for the Cost Breakdown KPI.
Aggregate service level is calculated for constrained and optimized plans. The calculation process groups all independent demands (except safety stock) by item and then by demand due date into BIS periods. It calculates service level for each item in each BIS period and then rolls the service level up to:
The item
All items in an organization
All organizations in a plan
The calculation is (Demand quantity satisfied by due date / Demand quantity) * 100.
This table shows a calculation for item A independent demands for each BIS period and the rollup to item A.
| Item | BIS period | Demand Due Date | Demand Quantity | Demand Quantity Satisfied by Demand Due Date | Service Level | 
|---|---|---|---|---|---|
| A | - | - | - | - | 95% [(100 + 90 + 100 +190 + 280) / (100 + 100 + 100 + 200 + 300)] * 100 = (470 / 500) * 100 | 
| - | 1 January - 31 January | - | - | - | 97% [(100 + 90 + 100) / (100 + 100 + 100)] * 100 = (290 / 300) * 100 | 
| - | - | 10 January | 100 | 100 | - | 
| - | - | 15 January | 100 | 90 | - | 
| - | - | 20 January | 100 | 100 | - | 
| - | 1 February - 28 February | - | - | - | 94% [(190 + 280) / (200 + 300)] * 100 = (470 / 500) * 100 | 
| - | - | 10 February | 200 | 190 | - | 
| - | - | 20 February | 300 | 280 | - | 
You can:
Display planned service level vs. target service level for plans, organizations, and items
Drill down to a graph showing service level trend
If there is no demand, the service level is 100%; service level 0% would raise an unnecessary exception.
In an unconstrained plan, the service level is always 100%.
A graphical representation of the least risk inventory values at the intersection of the levels in the hierarchies that you have selected for inventory planning (e.g., item or product family and organization by month) are displayed in a time-phased view.
This key performance indicator is available only for inventory optimization plans.
Note: For more information on using KPIs, refer to Planner Workbench.
For these key indicators, use a profile option to set the targets:
Inventory turns: MSC: Performance target for Inventory Turns
Ontime delivery: MSC: Performance target for Ontime Delivery Percent
Margin: MSC: Performance target for Margin Percent
Planned utilization: MSC: Performance target for Resource Utilization Percent
Oracle ASCP lets you track plan performance against KPIs. For more information, see Planner Workbench.
Decrease the penalty factor for safety stock violation.
Increase weight given to the maximize inventory turns objective, decrease weight given to other objectives by choosing Plan Options > Optimization tab.
Change sourcing rules used by the plan to reflect material sources (for example, inventory stocks) that are controlled by the planner or the organization being planned. For example, if a plan is run with many inventory sources specified in the sourcing rules, inventory turns will be lower than if only a few inventory sources are used.
Decrease penalty factor for exceeding resource capacity.
Increase weight given to the maximize resource utilization objective, decrease weight given to other objectives.
Increase the demand that is being planned. Note that increasing demand can have adverse impact to other KPIs (for example, On-time Delivery) if material capacity is not sufficient to support the demand.
Decrease penalty factors considered in the margin percentage calculation.
Increase weight given to the maximize margin percentage objective, decrease weight given to other objectives.
If material and/or resource capacity is constrained, demand will not be fulfilled by the request date and sales will either be lost of penalty costs will be incurred for late demand. See actions described in Increasing On-time Delivery.
On-time Delivery will suffer if material capacity and/or resource capacity are not sufficient to meet requested delivery dates. By looking at the exceptions that occur after a plan is run, you can determine whether material or resource capacity is the gating factor.
To determine material and resource capacities required to meet all requested delivery dates for demand, run the plan unconstrained by material and capacity to determine total resource and material capacity requirements. (Choose Plan Options > Constraints tab to specify material and resource constraints.)
If material capacity is insufficient:
Add capacity at the bottleneck supplier(s)
Specify alternate components that can be used if the primary (constrained) component is not available
Add capacity at feeder plants supplying sub assemblies
If resource capacity is insufficient:
Add capacity at the bottleneck resource. For example, add shifts, add outsourcing providers, add labor
Specify alternate resources that can be used
If material and resource capacities are not constrained:
Increase penalty factor for unmet demand and late demand
Increase weight given to the maximize on-time delivery objective, decrease weight given to other objectives.
Your material requirement date might be different from the material availability date as provided by the supplier. The planning engine can consider either of the dates while generating a plan. Usually, you use the promise date in the purchase order as the date when the supplier supplies the material. However, in absence of the promise date, the planning engine uses the need by date as specified in the purchase order. If a supplier always meets the need by date irrespective of the promise date, you can set the MSC: Purchase Order Dock Date Calculation Preference profile option value to need by date.
This diagram illustrates the supplier acknowledgement cycle.

To instruct the planning engine which date to use for the arrival of a purchase order delivery (dock date):
Set the MSC: Purchase Order Dock Date Calculation Preference profile option. The valid values for this profile option are Need by Date or Promise Date. If you set the profile option to Promise Date, the planning engine considers the promise date from the supplier as the material arrival date. If you set this profile option value to Need by Date, the planning engine considers the need by date specified in the purchase order as the date of material availability. See MSC Profile Options for more information.
Run collections in the targeted refresh mode
Run the plan on the collected purchase orders to view the promise date and original need by date in the Planner Workbench.
The following steps detail the flow of information:
If you accept the calculated dock date and release the purchase order to Oracle Purchasing, Oracle Purchasing uses the suggested dock date as the new need by date. Oracle Purchasing leaves the original promise date unchanged. It sends a PO change notification to the supplier to acknowledge the rescheduled purchase order.
Using Oracle iSupplier Portal, the supplier can either accept the need by date as the promise date or specify a different promise date. If the supplier accepts the need by date, Oracle iSupplier Portal uses it as the promise date. If the supplier specifies a new promise date, Oracle iSupplier Portal sends a change request notification to the buyer.
The buyer can review and update the need by date and promise date for the purchase order in Oracle Purchasing.
After the next plan run, you can view the suggested dock date, the original need by date, and the new promise date in the Planner Workbench.
If the supplier provides a sales order number at the time of acknowledging the purchase order, Oracle Collaborative Planning creates a sales order that is pegged to the purchase order. The promise date is set as the delivery date. If the supplier changes the promise date or the quantity, an exception is created in Oracle Collaborative Planning.
If the purchase order is not firm or within the planning time fence, Oracle Advanced Planning and Scheduling can recommend rescheduling of the purchase order when the plan is run again.
This table displays the exception messages that Oracle Collaborative Planning generates in specific scenarios:
You can set up collaboration between Oracle Advanced Supply Chain Planning and Oracle Demand Planning to automatically launch an unconstrained supply chain plan based on forecast scenarios that you publish.
Set the profile option MSD: Default DP Scenario to a valid demand plan scenario.
Set the profile option MSC: New Forecast Auto Plan to an unconstrained supply chain plan. When the demand plan scenario mentioned in the profile option MSD: Default DP Scenario is published, the unconstrained supply chain plan specified in the profile option MSC: New Forecast Auto Plan starts running.
The following figure illustrates the activities that are performed after the customer uploads the forecast in Oracle Collaborative Planning.
Demand to Supply Planning Automation Cycle

After the customer uploads an order forecast using flat files or the user interface, you can review the exceptions to address the mismatch between the forecast you generated and the customer forecast. The Receive Forecast From Customer program automatically runs to receive the forecast into Oracle Demand Planning. Oracle Demand Planning Engine publishes the new demand plan scenario to Oracle Demand Planning Engine Server. This action automatically launches the unconstrained supply chain plan specified in the profile option.
Using Oracle Advanced Planning and Scheduling, you can collaborate with suppliers, track exceptions arising out of supplies, issue notifications to suppliers and receive notifications from suppliers.
You and your suppliers need to perform the following list of tasks to enable the collaboration between Oracle Advanced Supply Chain Planning and Oracle Collaborative Planning:
Set the profile option MSC: SCEM Engine Launch Events to All to automatically start Supply Chain Event Manager (SCEM) when a supplier loads an order forecast or when you publish an order forecast from the planning server. If you set the profile option to Publish, Supply Chain Event Manager starts only when plans are published from Oracle Advanced Supply Chain Planning. If you set the profile option to Load, Supply Chain Event Manager starts only when data is loaded using flat files.
Ensure that the value of the profile option MSC: Configuration is set to APS & CP. This enables collaboration between Oracle Advanced Supply Chain Planning and Oracle Collaborative Planning.
Specify the name of the plan that you want to launch automatically in the profile option MSC: New Supply Commit Auto Plan. It is recommended that you specify a constrained plan.
Publish an order forecast from the Planner Workbench to the supplier. This launches Supply Chain Event Manager to compute material excess and generate shortage exceptions.
Suppliers need to upload supply and demand information in Oracle Collaborative Planning. This launches Supply Chain Event Manager to compute material excess and generate shortage exceptions. Supply Chain Event Manager also generates a notification.
Suppliers can upload or enter forecasts into Oracle Collaborative Planning. When the supplier clicks the Send Supply Commit to customer link in the Admin tabbed region, the Receive Supplier Capacity concurrent process runs. This process updates the supplier capacity information on the planning server. If the profile option MSC: New Supply Commit Auto Plan points to a valid plan, the plan is automatically launched.