3 Allowed Affected Point Code (AFTPC) Screen Configuration
Chapter 3, Allowed Affected Point Code (AFTPC) Screen Configuration, contains the procedures necessary to configure allowed affected point code screens.
Introduction
The allowed affected point code (AFTPC) screen is used to identify affected point codes. Messages containing the allowed affected point code in the AFTPC screen are allowed into the EAGLE for further processing. The gray shaded areas in Figure 3-3 shows the fields of the SS7 message that are checked by the AFTPC screening function. Affected point codes are found in subsystem-prohibited (SSP), subsystem-status-test (SST) and subsystem-allowed (SSA) SCCP management messages. This is the last screen in the gateway screening process.
Gateway Screening Actions
The Gateway Screening process stops with this screen. The nsfi parameter value can only be stop.
If a match is not found, the message is discarded.
actname parameter value, the message is processed according to the gateway screening stop actions that are assigned to the gateway screening stop action set.
- If the
rdct(redirect) gateway screening stop action is specified, the message is diverted from the original destination and sent to another destination with the Database Transport Access feature, specified by global title translation, for further processing. - If the
cncfgateway screening stop action is specified, the PIP parameter in the incoming ISUP IAM message is converted to the GN parameter. The GN parameter in the incoming ISUP IAM message is converted to the PIP parameter. The message is then sent to the node specified by the DPC in the routing label in the message. For more information on the Calling Name Conversion Facility feature, see Calling Name Conversion Facility (CNCF) Configuration. - If the
tlnpgateway screening stop action is specified, ISUP IAMs that pass gateway screening are processed either by the ISUP NP with EPAP feature (if the ISUP NP with EPAP feature is enabled and turned on) or by the Triggerless LNP feature (if the Triggerless LNP feature is turned on). The ISUP NP with EPAP feature is discussed in more detail in G-Port User's Guide. The Triggerless LNP feature is discussed in more detail in ELAP Administration and LNP Feature Activation Guide. - If the
tinpgateway screening stop action is specified, ISUP IAMs that pass gateway screening are intercepted by the Triggerless ISUP based Number Portability (TINP) feature and converted to include the routing number (RN) if the call is to a ported number. The TINP feature is discussed in more detail in G-Port User's Guide. - If the
tif,tif2, ortif3gateway screening stop actions are specified, TIF processing is applied to the message. - If the
sccpgateway screening stop action is specified, MTP routed SCCP UDT/XUDT are forwarded to the service modules for further processing.
Allowed AFTPC Screening Actions
Figure 3-1 and Figure 3-2 show the screening actions of the allowed AFTPC screen.
Figure 3-1 Allowed AFTPC Screening Actions - Sheet 1 of 2

Figure 3-2 Allowed AFTPC Screening Actions - Sheet 2 of 2

Figure 3-3 Allowed Affected Point Code Screening Function

Adding an Allowed Affected Point Code Screen
This procedure is used to add an allowed affected point
code (AFTPC) screen to the database using the
ent-scr-aftpc command. The parameters
used by the
ent-scr-aftpc command are shown in the
Gateway Screening Attributes
section. The general rules that apply to configuring gateway screening entities
are shown in the
Gateway Screening Configuration
section.
The examples in this procedure are used to add the allowed AFTPC screen data shown in Table 3-1 and based on the example configurations shown in Figure 2-3 and Figure 2-6.
Table 3-1 Example Gateway Screening Allowed AFTPC Configuration Table
| Screening Reference | NI | NC | NCM | SSN | NSFI | ACTNAME |
|---|---|---|---|---|---|---|
| gw20 | 008 | 008 | 008 | 250 | stop | COPY |
| ls04 | 010 | 010 | 010 | 015 | stop | COPY |
Note:
If you using multiple-part ITU national point codes with gateway screening, see the 14-Bit ITU National Point Code Formats section.Specifying a Range of Values
A range of values can be specified for the point code
parameters
ni,
nc, or
ncm.
If a range of values is specified for any of these parameters, and the value of the other parameters match existing values for the screening reference name, the range of values for the point code parameter cannot include any values for that parameter that are currently provisioned for the screening reference name.
For example, screening reference name
scr1 contains these entries:
SR NI NC NCM SSN NSFI NSR/ACT
SCR1 240 001 010 012 STOP ------
SCR1 241 010 020 015 STOP ------
Another entry for screening reference
scr1 with the
ni value of 240 and the
nc value of 001 cannot be specified if
the range of values for the
ncm parameter includes the value 010.
The ANSI point code parameter values can be specified as
a single value, a range of values, or with an asterisk (*). The asterisk
specifies all possible values for the
ni,
nc, and
ncm parameters.
Table 3-2
shows the valid combinations of these parameter values.
Table 3-2 Valid Value Combinations for ANSI Point Code Parameters
| NI | NC | NCM |
|---|---|---|
| Single Value | Single Value | Single Value |
| Single Value | Single Value | Range of Values |
| Single Value | Single Value | Asterisk |
| Single Value | Range of Values | Asterisk |
| Single Value | Asterisk | Asterisk |
| Range of Values | Asterisk | Asterisk |
| Asterisk | Asterisk | Asterisk |
A range of values can also be specified for an ITU-I or 24-bit ITU-N point code parameter using a combination of asterisks (*) and single values for the point code parameters. Table 3-3 shows the valid combinations of the ITU-I parameter values. Table 3-4 shows the valid combinations of the 24-bit ITU-N parameter values.
Table 3-3 Valid Value Combinations for ITU-I Point Code Parameters
| ZONE | AREA | ID |
|---|---|---|
| Single Value | Single Value | Single Value |
| Single Value | Single Value | Asterisk |
| Single Value | Asterisk | Asterisk |
| Asterisk | Asterisk | Asterisk |
Table 3-4 Valid Value Combinations for 24-Bit ITU-N Point Code Parameters
| MSA | SSA | SP |
|---|---|---|
| Single Value | Single Value | Single Value |
| Single Value | Single Value | Asterisk |
| Single Value | Asterisk | Asterisk |
| Asterisk | Asterisk | Asterisk |
Figure 3-4 Add an Allowed Affected Point Code Screen - Sheet 1 of 3

Figure 3-5 Add an Allowed Affected Point Code Screen - Sheet 2 of 3

Figure 3-6 Add an Allowed Affected Point Code Screen - Sheet 3 of 3

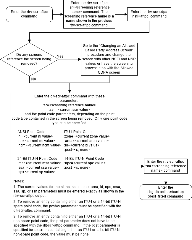
Removing an Allowed Affected Point Code Screen
This procedure is used to remove an allowed affected
point code (AFTPC) screen from the database using the
dlt-scr-aftpc command. The parameters
used by the
dlt-scr-aftpc command are shown in the
Gateway Screening Attributes
section. The general rules that apply to configuring gateway screening entities
are shown in the
Gateway Screening Configuration
section.
The example in this procedure removes the allowed AFTPC
screen
wrd0 from the database.
Note:
If you using multiple-part ITU national point codes with gateway screening, see the 14-Bit ITU National Point Code Formats section.Figure 3-7 Remove an Allowed Affected Point Code Screen

Changing an Allowed Affected Point Code Screen
This procedure is used to change the attributes of an
allowed affected point code (AFTPC) screen in the database using the
chg-scr-aftpc command. The parameters
used by the
chg-scr-aftpc command are shown in the
Gateway Screening Attributes
section. The general rules that apply to configuring gateway screening entities
are shown in the
Gateway Screening Configuration
section.
The example in this procedure is used to change the
point code 009-009-009 for the allowed AFTPC screen
gw21 to 100-100-100, and the subsystem
number from 253 to 150.
Note:
If you using multiple-part ITU national point codes with gateway screening, see the 14-Bit ITU National Point Code Formats section.Specifying a Range of Values
A range of values can be specified for the point code
parameters
ni,
nc, or
ncm.
If a range of values is specified for any of these parameters, and the value of the other parameters match existing values for the screening reference name, the range of values for the point code parameter cannot include any values for that parameter that are currently provisioned for the screening reference name.
For example, screening reference name
scr1 contains these entries:
SR NI NC NCM SSN NSFI NSR/ACT
SCR1 240 001 010 012 STOP ------
SCR1 241 010 020 015 STOP ------
Another entry for screening reference
scr1 with the
ni value of 240 and the
nc value of 001 cannot be specified if
the range of values for the
ncm parameter includes the value 010.
The ANSI point code parameter values can be specified as
a single value, a range of values, or with an asterisk (*). The asterisk
specifies all possible values for the
ni,
nc, and
ncm parameters.
Table 3-5
shows the valid combinations of these parameter values.
Table 3-5 Valid Value Combinations for ANSI Point Code Parameters
| NI | NC | NCM |
|---|---|---|
| Single Value | Single Value | Single Value |
| Single Value | Single Value | Range of Values |
| Single Value | Single Value | Asterisk |
| Single Value | Range of Values | Asterisk |
| Single Value | Asterisk | Asterisk |
| Range of Values | Asterisk | Asterisk |
| Asterisk | Asterisk | Asterisk |
A range of values can also be specified for an ITU-I or 24-bit ITU-N point code parameter using a combination of asterisks (*) and single values for the point code parameters. Table 3-6 shows the valid combinations of the ITU-I parameter values. Table 3-7 shows the valid combinations of the 24-bit ITU-N parameter values.
Table 3-6 Valid Value Combinations for ITU-I Point Code Parameters
| ZONE | AREA | ID |
|---|---|---|
| Single Value | Single Value | Single Value |
| Single Value | Single Value | Asterisk |
| Single Value | Asterisk | Asterisk |
| Asterisk | Asterisk | Asterisk |
Table 3-7 Valid Value Combinations for 24-Bit ITU-N Point Code Parameters
| MSA | SSA | SP |
|---|---|---|
| Single Value | Single Value | Single Value |
| Single Value | Single Value | Asterisk |
| Single Value | Asterisk | Asterisk |
| Asterisk | Asterisk | Asterisk |
Figure 3-8 Change an Allowed Affected Point Code Screen - Sheet 1 of 4

Figure 3-9 Change an Allowed Affected Point Code Screen - Sheet 2 of 4

Figure 3-10 Change an Allowed Affected Point Code Screen - Sheet 3 of 4

Figure 3-11 Change an Allowed Affected Point Code Screen - Sheet 4 of 4
