Sun Java ロゴ     前へ      目次      索引      次へ     

Sun ロゴ
Sun Java System Identity Synchronization for Windows 1 2004Q3 インストールおよび設定ガイド 

第 7 章
Identity Synchronization for Windows 1 2004Q3 への移行

この章では、システムを Sun Java System Identity Synchronization for Windows バージョン 1.0 からバージョン 1 2004Q3 に移行する方法について説明します。


Identity Synchronization for Windows バージョン 1.0 では、Message Queue が自動的にインストールされましたが、Identity Synchronization for Windows 1 2004Q3 ではインストールされません。

Sun Java System Message Queue のインストール方法については、同製品のドキュメントを参照してください。


この章で説明する内容は次のとおりです。


概要

Identity Synchronization for Windows バージョン 1.0 または 1.0 SP1 から 1 2004Q3 への移行は、次の各段階に大別されます。

  1. Identity Synchronization for Windows バージョン 1.0 または 1.0 SP1 のインストールで移行を準備します。
  2. Identity Synchronization for Windows バージョン 1.0 または 1.0 SP1 をアンインストールします。
  3. 依存関係のある製品をインストールまたはアップグレードします。
  4. バックアップしておいた設定とコネクタの状態を使用して、Identity Synchronization for Windows 1 2004Q3 をインストールします。

  5. Identity Synchronization for Windows 1 2004Q3 は、Identity Synchronization for Windows バージョン 1.0 または 1.0 SP1 と同じプラットフォームおよびアーキテクチャにインストールしてください。



移行の前に

移行プロセスを開始する前に、次の作業を行います。


移行の準備

バージョン 1.0 からバージョン 1 2004Q3 への移行には、次のユーティリティを単独で、または組み合わせて使用します。

バージョン 1.0 の設定のエクスポート

export10cnf ユーティリティを使用してバージョン 1.0 の既存の設定を XML ファイルとしてエクスポートし、コネクタのインストール前に idsync importcnf コマンドを使用して、そのファイルを迅速かつ正確にバージョン 1 2004Q3 システムにインポートすることができます。


ヒント

Identity Synchronization for Windows コンソールを使用して 1.0 の設定を手動で再入力することもできますが、export10cnf ユーティリティを使用することを強くお勧めします。export10cnf を使用しない場合、コネクタの状態を保存することはできません。


バージョン 1.0 の設定をエクスポートすることには、次のような利点があります。

export10cnf ユーティリティは、インストールの migration ディレクトリに格納されています。追加のインストール手順は必要ありません。

export10cnf ユーティリティの使用

Identity Synchronization for Windows の設定を XML ファイルとしてエクスポートするには、次のように migration ディレクトリから export10cnf を実行します。

export10cnf ユーティリティの引数は、Identity Synchronization for Windows のコマンド行ユーティリティの共通引数 (「共通引数」を参照) と同じです。export10cnf に固有のオプションは、-f <filename> だけです。ユーティリティの実行が正常に完了すると、現在の設定がこの「-f」オプションの引数として指定されたファイルにエクスポートされます。

クリアテキストパスワードの挿入

export10cnf ユーティリティは、セキュリティ上の理由により、バージョン 1.0 の設定からクリアテキストのパスワードをエクスポートしません。cleartextPassword フィールドには、代わりに空の文字列が挿入されます。次に例を示します。

<Credentials

        userName="cn=iswservice,cn=users,dc=example,dc=com"

        cleartextPassword=""/>

        <!-- INSERT PASSWORD BETWEEN THE DOUBLE QUOTES IN THE ABOVE FIELD -->

ファイルを Identity Synchronization for Windows 1 2004Q3 にインポートする前に、エクスポートされた設定ファイルのすべての cleartextPassword フィールドで、二重引用符の間に手動でパスワードを入力する必要があります。importcnf は、パスワードの値が空の設定ファイルがインポートされないように検証を行います。

次に例を示します。

<Credentials

         userName="cn=iswservice,cn=users,dc=example,dc=com"

         cleartextPassword="mySecretPassword"/>

         <!-- INSERT PASSWORD BETWEEN THE DOUBLE QUOTES IN THE ABOVEFIELD -->

エクスポートされた設定ファイルの例

コード例 7-1 は、エクスポートされた設定ファイルの例を示しています。

このファイルでは、

export10cnf による設定のエクスポートが完了すると、処理の結果が報告されます。処理が失敗した場合は、エラー ID を示すエラーメッセージが表示されるます。

未配信メッセージのチェック

Identity Synchronization for Windows 1.0 から 1 2004Q3 への移行プロセスでは、既存配備のコネクタの状態を保存することで、システムのダウン時間を最小化しています。しかし、これらの状態は Message Queue によって最後に受信、認識された変更までを反映しているため、メッセージが実際に配信され、送信先コネクタに適用されているかどうかはわかりません。

Message Queue の状態に変化がないかぎり、これによって問題が生じることはありませんが、移行プロセスで Message Queue 3.5 SP1 をインストールする際に Message Queue 上のメッセージは失われます。

移行処理を先に進める前に、既存の Message Queue の同期トピックに未配信のメッセージが残されていないことを確認する必要があります。Identity Synchronization for Windows の checktopics ユーティリティを使用することで、すべての同期トピックが確実に空であり、システムが休止していることを確認できます。

checktopics ユーティリティの使用

checktopics ユーティリティは、Solaris/SPARC および Windows の Identity Synchronization for Windows 1 2004Q3 パッケージの migration ディレクトリに格納されています。


checktopics を実行するための唯一の前提条件は、適切な Java 仮想マシン (バージョン 1.4.2_04 以降) です。


checktopics ユーティリティを実行すると、ユーティリティは、同期ユーザーリスト (SUL) に関する情報と、Message Queue で現在使用されている同期トピック名が保存されている設定ディレクトリに接続します。また、checktopics を実行すると、各アクティブ同期トピックに残されている未処理メッセージの数が Message Queue に照会され、この情報が表示されます。

checktopics コマンド行ユーティリティを実行する方法は、次のとおりです。

    1. 端末ウィンドウを開き、migration ディレクトリに移動 (cd) します。
    2. コマンドプロンプトに次のようにサブコマンドを入力します。
    3. java -jar checktopics.jar -h <hostname> -p <port> -D <bind_DN> -w <bind_password> -s <root_suffix> -q <configuration_password> -Z

      次に例を示します。

      java -jar checktopics.jar -D "cn=directory manager" -w - -s "dc=example,dc=com" -q -



checktopics を実行したら、端末でメッセージを確認します。

メッセージのクリア

アクティブないずれかの同期トピックに未配信のメッセージが残されている場合は、次の手順を実行してメッセージをクリアできます。

  1. 同期を再開します。
  2. メッセージが送信先コネクタに適用されるのを待ちます。
  3. 同期を終了します。
  4. checktopics を再実行します。

Windows NT でのパスワード変更の強制

Windows NT ではパスワードの変更は監視されず、移行プロセス中に新しいパスワード値は取り込まれません。このため、移行完了後に新しいパスワード値を特定することができません。

1 2004Q3 への移行が完了したあとにすべてのユーザーにパスワードの変更を義務付ける代わりに、コマンド行ユーティリティ forcepwchg を使用して、移行プロセス中にパスワードを変更したユーザーを対象にパスワードの変更を強制することができます。


forcepwchg ユーティリティは、Windows パッケージだけで利用できます。


forcepwchg ユーティリティは、Windows の migration ディレクトリに格納されています。このディレクトリから forcepwchg を直接実行します。追加のインストール手順は必要ありません。

forcepwchg ユーティリティは、NT コンポーネント (コネクタ、変更ディテクタ DLL、パスワードフィルタ DLL) がインストールされている主ドメインコントローラ (PDC) ホスト上で実行する必要があります。forcepwchg をリモート実行することはできません。

また、forcepwchg ユーティリティは移行対象となるアカウント名を 1 行に 1 つずつ出力します。移行プロセス中にエラーが発生した場合は、最後に出力されたユーザーアカウントの移行でエラーが発生しています。


システムの移行

ここでは、単一ホストの配備をバージョン 1 2004Q3 に移行する手順について説明します。単一ホストの配備では、次に示す Identity Synchronization for Windows のすべてのコンポーネントが単一のホスト (Windows 2000 Server、Solaris バージョン 8 または 9、または SPARC) にインストールされます。

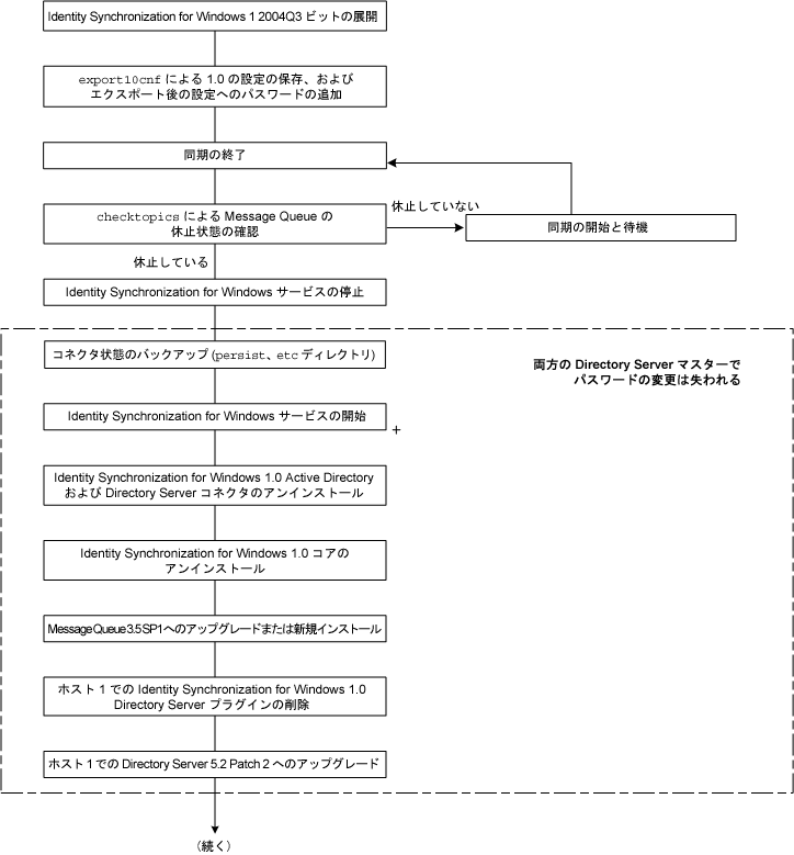
次の図は、移行プロセスを表しています。このあとに説明する同期手順を補足するチェックリストとしても使用できます。

図 7-1 単一ホスト配備の移行

[D]

[D]

移行の準備

Identity Synchronization for Windows バージョン 1.0 からバージョン 1 2004Q3 への移行を準備する手順は、次のとおりです。

  1. コマンドプロンプトに次のコマンドを入力します。
    • Solaris または SPARC 環境 : uncompress -c <filename> | tar xf - と入力する
    • Windows 環境 : %JAVA_HOME%¥bin¥jar -xf <filename> と入力する
      または、WinZip® などの任意の Windows 用 zip アーカイブプログラムを使用する
    • バイナリの展開が完了すると、必要な移行ツールが格納された次のサブディレクトリが作成されます。

    • installer/
    • lib/
    • migration/
    • Solaris

      Windows

       

      export10cnf.jar

      export10cnf.jar

       

             

      forcepwchg.exe

       

      checktopics.jar

      checktopics.jar

       

  2. バージョン 1.0 の設定を XML ファイルにエクスポートします。「export10cnf ユーティリティの使用」で説明したように、migration ディレクトリから export10cnf を実行します。次に例を示します。
  3. java -jar export10cnf.jar -D "cn=directory manager" -w - -s "dc=example,dc=com" -q - -f export.cfg

  4. エクスポートされた XML ファイルにパスワードを入力します。
  5. エクスポートした設定ファイルのすべての cleartextPassword フィールドで、二重引用符の間にパスワードを入力します (「クリアテキストパスワードの挿入」を参照)。

  6. 「同期の開始と終了」で説明した方法で同期を終了します。
  7. システムが静止状態にあることを確認します。「checktopics ユーティリティの使用」で説明したように、migration ディレクトリから checktopics を実行します。
  8. 次に例を示します。

    java -jar checktopics.jar -D "cn=directory manager" -w - -s "dc=example,dc=com" -q -

  9. 「サービスの開始と停止」で説明した方法で Identity Synchronization for Windows サービス (デーモン) を停止します。

  10. この時点では Sun Java System Message Queue サービスを停止しないでください。


  11. Windows NT のみに適用 : Sun Java System NT Change Detector サービスを停止します。サービスは、コマンド行に次のように入力することで停止できます。
  12. net stop "Sun Java(TM) System NT Change Detector"

  13. Windows NT のみに適用 : 次の手順を実行し、NT ChangeDetector サービスのカウンタを保存します。
    1. regedt32.exe を実行してレジストリエディタを開きます。
    2. HKEY_LOCAL_MACHINE ウィンドウを選択します。
    3. SOFTWARE¥Sun Microsystems¥PSW¥1.0 ノードを探します。
    4. 次のレジストリ値を保存します。
      • HighestChangeNumber
      • LastProcessedSecLogRecordNumber
      • LastProcessedSecLogTimeStamp
      • QueueSize
  14. 既存の 1.0 インストールの persist ディレクトリと etc ディレクトリをバックアップし、コネクタの状態を保存します。
    • Solaris 環境 : cd <serverroot>/isw-<hostname> tar cf /var/tmp/connector-state.tar persist etc と入力する
    • Windows 環境 : cd <serverroot>¥isw-<hostname>
      zip -r C:
      ¥WINNT¥Temp¥connector-state.zip persist etc
      %JAVA_HOME%
      ¥bin¥jar -cfM %TEMP%¥connector-state.jar persist etc と入力する
      または、WinZip などの任意の Windows 用 zip アーカイブプログラムを使用する
  15. Identity Synchronization for Windows サービスを開始します (詳細情報を参照)。

  16. Sun Java Message Queue サービスは停止されていないため、開始の必要はありません。


Identity Synchronization for Windows のアンインストール


Identity Synchronization for Windows 1.0 以外のアプリケーションが SUNWjss パッケージを使用するように登録されていない場合、Identity Synchronization for Windows 1.0 のアンインストールプログラムは、このパッケージを削除します。特に、Directory Server 5.2.2 の zip バージョンをインストールした Solaris 環境では、このような状況が生じる可能性があります。この場合、アンインストールプログラムは /usr/share/lib/mps/secv1 から jss3.jar を削除します。

Identity Synchronization for Windows 1 2004Q3 への移行時にこのような状況が生じた場合、インストーラは必要ファイルが不足していることを示すメッセージを表示し、インストールログにファイル名を記録します。このエラーが発生したときは、必要なパッチ (「Sun Java System ソフトウェアの要件」を参照) を再インストールしてからインストールプロセスをやり直してください。


準備手順を完了すると、次の方法で Identity Synchronization for Windows バージョン 1.0 または 1.0 SP1 をアンインストールする準備が整います。

  1. Directory Server プラグインを手動でアンインストールし、プラグインがインストールされていた Directory Server をそれぞれ再起動します。
  2. プラグインがインストールされていた各 Directory Server で、次の手順を実行します。
    1. Directory Server から次のエントリを削除します。
    2. cn=config,cn=pswsync,cn=plugins,cn=config
      cn=pswsync,cn=plugins,cn=config

      次に例を示します。

      ldapdelete -D "cn=directory manager" -w - -p <port> -c
      cn=config, cn=pswsync,cn=plugins,cn=config
      cn=pswsync,cn=plugins,cn=config

    3. Directory Server を再起動します。
      • Solaris 環境 : <serverroot>/slapd-<hostname>/restart-slapd と入力する
      • Windows 環境 : <serverroot>¥slapd-<hostname>¥restart-slapd.bat と入力する
    4. システムからプラグインバイナリを削除します。
      • Solaris 環境 : rm <serverroot>/lib/psw-plugin.so
        rm <
        serverroot>/lib/64/psw-plugin.so と入力する
      • Windows 環境 : del <serverroot>¥lib¥psw-plugin.dll と入力する
  3. ディレクトリを <server_root>¥isw-<hostname> に変更し (cd)、Identity Synchronization for Windows 1.0 のアンインストールプログラムを使用してバージョン 1.0 または 1.0 SP1 のコネクタとコンポーネントをアンインストールします。

  4. コネクタは、常にコアコンポーネントのアンインストール前にアンインストールしてください。


    • Solaris または SPARC 環境 : ./runUninstaller.sh と入力する
    • Windows 環境 : ¥runUninstaller.bat と入力する
  5. 次の手順を実行し、製品レジストリファイルから Identity Synchronization for Windows に関するエントリを削除します。
    1. 次の位置にあるファイルのバックアップを作成します。
      • Solaris 環境 : /var/sadm/install/productregistry
      • Windows 環境 : C:¥WINNT¥System32¥productregistry
    2. 「Solaris からの 1.0 コアとインスタンスの手動アンインストール」手順 6 に示される方法で、レジストリファイルから Identity Synchronization for Windows に関連するエントリを削除します。
  6. Windows 環境のみに適用 : コアのアンインストールが完了したら、マシンを再起動します。

  7. 何らかの理由でアンインストールが失敗したときは、Identity Synchronization for Windows コンポーネントの手動アンインストールが必要になることがあります。実行方法については、「1.0 のアンインストールが失敗した場合の対応」を参照してください。


  8. Windows 環境のみに適用 : Identity Synchronization for Windows が稼動していないことを確認します。必要に応じてコマンド行に次のように入力し、サービスを停止してください。
  9. net stop "Sun Java(TM) System Identity Synchronization for Windows"

    アンインストールの完了後にこのサービスが稼動していると、共有違反が発生し、インスタンスディレクトリを削除できなくなります。

  10. Identity Synchronization for Windows インスタンスのディレクトリ (isw-<hostname>) を削除します。

依存関係を持つ製品のインストールまたはアップグレード

次に、JRE (Java 実行時環境) のアップグレード、Message Queue のインストール、Directory Server のアップグレードを行う方法について説明します。

  1. Identity Synchronization for Windows コンポーネントがインストールされている Windows NT 以外の各ホストで、Java 2 SDK (Java 2 実行時環境) をアップグレードします。1.4.2_04 以降のバージョンである必要があります。
  2. 『Sun Java System Message Queue 3.5 SP1 Installation Guide』に記載されている手順に従って、Message Queue 3.5 SP1 をインストールします。
  3. 次のサイトで入手できる『Sun Java System Directory Server 5 2004Q2 Installation and Migration Guide』に記載されている手順に従って、Directory Server のバージョンを 5.2 SP2 にアップグレードします。
  4. http://docs.sun.com/db/coll/DirectoryServer_04q2

    Directory Server をアップグレードしても、Directory Server の現在の設定とデータベースは維持されます。

Identity Synchronization for Windows 1 2004Q3 のインストール

Identity Synchronization for Windows 1 2004Q3 コンポーネントをインストールする手順は、次のとおりです。

  1. Identity Synchronization for Windows 1 2004Q3 コアをインストールします。「コアのインストール」を参照してください。
  2. 次のように、Directory Server に対して idsync prepds を実行し、スキーマを更新します。
  3. 次のように入力し、バージョン 1.0 の設定が記録された XML ファイルをインポートします。
  4. idsync importcnf <arguments>


    プログラムが入力設定ファイル内のエラーを検出した場合はエラーとなります。Identity Synchronization for Windows は importcnf プロセスを中止し、問題の解決に必要な情報を出力します。

    idsync importcnf の使用については、付録 A「importcnf の使用」を参照してください。


  5. Identity Synchronization for Windows 1 2004Q3 コネクタをインストールします (「コネクタのインストール」を参照)。
  6. Identity Synchronization for Windows 1 2004Q3 Directory Server プラグインをインストールします (「Directory Server プラグインのインストール」を参照)
  7. 「サービスの開始と停止」で説明した方法で Identity Synchronization for Windows サービス (デーモン) を停止します。
  8. Windows NT のみに適用 : Sun JavaTM System NT ChangeDetector サービスを停止します。サービスは、コマンド行に次のように入力することで停止できます。
  9. net stop "Sun Java(TM) System NT Change Detector"

  10. Windows NT のみに適用 : 次の手順を実行し、NT ChangeDetector サービスのカウンタを復元します。
    1. regedt32.exe を実行してレジストリエディタを開きます。
    2. HKEY_LOCAL_MACHINE ウィンドウを選択します。
    3. SOFTWARE¥Sun Microsystems¥Sun Java(TM) System Identity Synchronization for Windows¥1.1 ノードを探します。
    4. 次の各エントリをダブルクリックし、バージョン 1.0 のアンインストール前に保存した値を復元します。
      • HighestChangeNumber
      • LastProcessedSecLogRecordNumber
      • LastProcessedSecLogTimeStamp
      • QueueSize
  11. Windows NT のみに適用 : Sun JavaTM System NT ChangeDetector サービスを開始します。サービスは、コマンド行に次のように入力することで開始できます。
  12. net start "Sun Java(TM) System NT Change Detector"

  13. インスタンスのディレクトリから 1 2004Q3 の persist ディレクトリと etc ディレクトリ (およびすべての内容) を削除し、「移行の準備」でバックアップしたバージョン 1.0 または 1.0 SP1 の persist ディレクトリと etc ディレクトリを復元します。
    • Solaris 環境 : 次のように入力する
    • cd /var/opt/SUNWisw
      rm -rf etc persist
      tar xf /var/tmp/connector-state.tar

    • Windows 環境 : 次のように入力する
    • cd <serverroot>¥isw-<hostname>
      rd /s etc persist
      %JAVA_HOME%
      ¥bin¥jar -xf %TEMP%¥connector-state.jar
      または、WinZip などの任意の Windows 用 zip アーカイブプログラムを使用する

  14. Identity Synchronization for Windows サービスを開始します (詳細情報を参照)。
  15. 「同期の開始と終了」で説明した方法で同期を開始します。
  16. セントラル監査ログを調べ、警告メッセージが出力されていないことを確認します。

  17. バージョン 1.0 のログ設定をカスタマイズしていた場合は、バージョン 1 2004Q3 のインストールにそのカスタマイズ設定を手動で適用する必要があります。バージョン 1 2004Q3 のログの設定は、Identity Synchronization for Windows コンソールを使用して行います。



1.0 のアンインストールが失敗した場合の対応

バージョン 1 2004Q3 のインストールプログラムがバージョン 1.0 システムの残存物を検出すると、1 2004Q3 のインストールは失敗します。このため、バージョン 1 2004Q3 をインストールする前に、1.0 のすべてのコンポーネントをシステムから完全に削除する必要があります。

アンインストールプログラムがバージョン 1.0/1.0 SP1 のコンポーネントをすべて削除できなかった場合は、Identity Synchronization for Windows の製品レジストリと Solaris パッケージを手動でクリーンアップする必要があります。

次の 3 つの項では、Identity Synchronization for Windows バージョン 1.0 を手動でアンインストールする詳細な手順について説明します。


ここに示すアンインストール手順は、Identity Synchronization for Windows バージョン 1.0 のアンインストールだけに適用されます。

Identity Synchronization for Windows のアンインストールプログラムが失敗した場合以外は、次に示す手動アンインストール手順を使用しないでください。


Solaris からの 1.0 コアとインスタンスの手動アンインストール

Solaris マシンからコアを手動でアンインストールするには、ここで説明する手順を実行します。


ここでは、Identity Synchronization for Windows の位置を次のように示します。

<serverroot>/isw-<hostname>

この <serverroot> は、Identity Synchronization for Windows のインストール先の親ディレクトリを示します。

たとえば、Identity Synchronization for Windows を /var/Sun/mps/isw-<example> にインストールした場合、<serverroot>/var/Sun/mps となります。


  1. 端末ウィンドウに /etc/init.d/isw stop と入力し、Identity Synchronization for Windows のすべての Java プロセスを停止します。
  2. 上のコマンドを実行してもすべての Java プロセスが停止されない場合は、次のように入力します。

    /usr/ucb/ps -gauxwww | grep java

    kill -s SIGTERM <上のコマンドで得られるプロセス ID>

  3. 次の方法で Message Queue を停止します。
    1. プロンプトに次のコマンドを入力し、Message Queue ブローカを停止します。
    2. /etc/init.d/imq stop

    3. 次のように入力し、残りの imq プロセスを停止します。
    4. * ps -ef | grep imqbroker

      * kill -s SIGTERM <上のコマンドで得られるプロセス ID>

    5. 次のいずれかの方法で、ブローカのパッケージとディレクトリをアンインストールします。
      • コアがインストールされているホストの Identity Synchronization for Windows インスタンスのディレクトリに格納されている Message Queue ブローカアンインストールスクリプトを使用して、ブローカをアンインストールする。次のように入力する
      • /<serverroot>/isw-<hostname>/imq_uninstall

      • パッケージとディレクトリを次のように手動アンインストールする
      • pkgrm: コマンドを使用して、これらのパッケージを削除する

        SUNWaclg

        SUNWiqum

        SUNWiqjx

        SUNWiqlen

        SUNWxsrt

        SUNWiqu

        SUNWjaf

        SUNWiqfs

        SUNWjhrt

        SUNWiqdoc

        SUNWiquc

        SUNWiqsup

        SUNWiqr

        SUNWjmail

         

        rm -rf コマンドを使用して、これらのディレクトリを削除する

        rm -rf /etc/imq

        rm -rf /var/imq

        rm -rf /usr/bin/imq*

  4. Identity Synchronization for Windows 1.0 Solaris パッケージを削除するには、表 7-1 に示されるパッケージごとに pkgrm <packageName> を実行します。
    たとえば、pkgrm SUNWidscm SUNWidscn SUNWidscr SUNWidsct SUNWidsoc のように実行します。
  5. 表 7-1 削除する Solaris パッケージ

    パッケージ名

    説明

    SUNWidscm

    Sun Java System Directory Server Identity Synchronization のコアコンポーネントとコネクタのパッケージ

    SUNWidscn

    Sun Java System Directory Server Identity Synchronization のコンソールヘルプファイルのパッケージ

    SUNWidscr

    Sun Java System Directory Server Identity Synchronization のコアコンポーネントのパッケージ

    SUNWidsct

    Sun Java System Directory Server Identity Synchronization のコネクタのパッケージ

    SUNWidsoc

    Sun Java System Directory Server Identity Synchronization のオブジェクトキャッシュのパッケージ

    すべてのパッケージが削除されたことを確認するには、次のように入力します。

    pkginfo | grep -i "Identity Synchronization"


    依存関係により、既存のパッケージがまだ残っている場合は、pkgrm <packageName> コマンドを再実行します。


  6. 次の方法で Directory Server プラグインを削除します。
    1. Directory Server コンソールで、「設定」タブを選択します。
    2. 左のパネルでプラグインのノードを展開し、「pswsync」ノードを選択します。
    3. 右のパネルで、「プラグインを有効に」ボックスのチェックマークを外します。
    4. 「保存」をクリックして変更を保存します。
    5. Directory Server コンソールで、設定ディレクトリ内の次のエントリを検索し、それを削除します。
    6. cn=pswsync,cn=plugins,cn=config

    7. Directory Server を停止します。
    8. 次のように入力して、プラグインのバイナリを削除します。
    9. rm -f /<serverroot>/lib/psw-plugin.so

    10. Directory Server を再起動します。
  7. /var/sadm/install/productregistry にある現在の productregistry ファイルのバックアップを作成 (コピーして名前を変更) します。
  8. /var/sadm/install/ にある productregistry ファイルを手動で編集し、次のエントリを削除します (存在する場合)。

    • 最適な結果を得るには、XML エディタを使用する。標準的なテキストエディタを使用することもできる
    • 次のコンポーネントの一部は、ファイルに含まれていないこともある
    • 開始タグ (<compid>)、終了タグ (<¥compid>)、および 2 つのタグの間に含まれるすべての内容を削除する必要がある。次のリストでは、これらのタグの一部として含まれる追加テキストやタグは、連続するピリオドで表されている。詳細情報の例を参照

    • <compid>Identity Synchronization for Windows .. . </compid>
    • <compid>Core .. . </compid>
    • <compid>unistaller .. . </compid>
    • <compid>wpsyncwatchdog .. . </compid>
    • <compid>setenv .. . </compid>
    • <compid>Create DIT .. . </compid>
    • <compid>Extend Schema .. . </compid>
    • <compid>resources .. . </compid>
    • <compid>CoreComponents .. . </compid>
    • <compid>Connector .. . </compid>
    • <compid>DSConnector .. . </compid>
    • <compid>Directory Server Plugin .. . </compid>
    • <compid>DSSubcomponents .. . </compid>
    • <compid>ObjectCache .. . </compid>
    • <compid>ObjectCacheDLLs .. . </compid>
    • <compid>SUNWidscr .. . </compid>
    • <compid>SUNWidscm .. . </compid>
    • <compid>SUNWidsct .. . </compid>
    • <compid>SUNWidscn .. . </compid>
    • <compid>SUNWidsoc .. . </compid>
    • <compid>ADConnector .. . </compid>
    • 次に、<compid> タグの例を示します。<compid></compid>、およびその間にあるすべてのテキストとタグを削除します。

      <compid>Identity Synchronization for Windows

          <compversion>1.0

                <uniquename>Identity Synchronization for Windows</uniquename>

                 <compinstance>1

                          <children>

                              <compref>ADConnector

                                  <instance>1

                                      <version>1.0</version>

                                  </instance>

                              </compref>

                              <compref>DSSubcomponents

                              . . .

              </compinstance>

          </compversion>

      </compid>

  9. Identity Synchronization for Windows の次のディレクトリとファイルを削除します。
    1. インストール位置で、次のように入力します。
    2. rm -rf /<serverroot>/isw-<hostname>

    3. 次のように入力し、ブートストラップファイルを削除します。

      rm -rf /etc/init.d/isw

  10. 次の方法で設定ディレクトリをクリーンアップします。
    1. Identity Synchronization for Windows コアがインストールされている設定ディレクトリに対して次の ldapsearch コマンドを実行し、Identity Synchronization for Windows コンソールのサブツリーを識別します。
    2. ldapsearch -D "cn=directory manager" -w <my_password> -b o=netscaperoot "(nsnickname=isw)" dn


      ldapsearch は、Directory Server の <serverroot>/shared/bin/ldapsearch ディレクトリに格納されています。
      たとえば、/var/Sun/mps/shared/bin/ldapsearch にあります。


      実行結果として、次のようなエントリが取得されます。エントリは、常に o=NetscapeRoot で終わります。

      "cn=Sun Java System Identity Synchronization for Windows,cn=server group, cn=myhost.mydomain.com,ou=mydomain.com,o=NetscapeRoot"

    3. Directory Server コンソールを使用して、Identity Synchronization for Windows コンソールのサブツリーと、その下のすべてのサブツリーを削除します。
  11. 次の方法で Identity Synchronization for Windows 設定レジストリをクリーンアップします。
    1. 次の ldapsearch コマンドを実行し、Directory Server 内の Identity Synchronization for Windows 設定レジストリを識別します。
    2. ldapsearch -D "cn=directory manager" -w <my_password> -b "dc=my,dc=domain" "(&(objectclass=iplanetservice)(ou=IdentitySynchronization))" dn

      実行結果として、次のようなエントリが取得されます。

      "ou=IdentitySynchronization,ou=Services,dc=my,dc=domain"

    3. Directory Server コンソールを使用して、Identity Synchronization for Windows 設定レジストリと、その下のすべてのサブツリーを削除します。
  12. 次の方法で、コンソールに関連するその他すべてのファイルをクリーンアップします。
    1. 次のように入力し、コンソールのすべての jar ファイルを削除します。
    2. rm -rf <serverroot>/java/jars/isw*
      たとえば、/var/Sun/mps/java/jars/isw* のように実行します。

    3. 次のように入力し、コンソールサーブレットのすべての jar ファイルを削除します。
    4. rm -rf <serverroot>/bin/isw/
      たとえば、/var/Sun/mps/bin/isw/ のように実行します。

Windows 2000 からの 1.0 コアとインスタンスの手動アンインストール

Windows 2000 マシンからコアを手動でアンインストールするには、ここで説明する手順を実行します。


ここでは、Identity Synchronization for Windows の位置を次のように示します。

<serverroot>¥isw-<hostname>

この <serverroot> は、Identity Synchronization for Windows のインストール先の親ディレクトリを示します。

たとえば、Identity Synchronization for Windows を C:¥Program Files¥Sun¥mps¥isw-example にインストールした場合、<serverroot>C:¥Program Files¥Sun¥mps となります。


  1. 次のいずれかの方法で、Identity Synchronization for Windows のすべての Java プロセスを停止します。
    • 「スタート」 > 「設定」 > 「コントロールパネル」 > 「管理ツール」 > 「サービス」を選択し、「サービス」ウィンドウを開きます。右のパネルで「Sun Java System Identity Synchronization for Windows」を右クリックし、「停止」を選択する
    • コマンドプロンプトウィンドウを開き、次のコマンドを入力する
    • net stop "Sun Java(TM) System Identity Synchronization for Windows"

    • 上の方法が機能しない場合は、次の手順を実行して Java プロセスを手動で停止する
      1. 「サービス」ウィンドウで「Sun Java System Identity Synchronization for Windows」を右クリックし、「プロパティ」を選択します。
      2. 「プロパティ」ウィンドウの「全般」タブで、「スタートアップの種類」ドロップダウンリストから「手動」を選択します。

      3. Windows のタスクマネージャで Java プロセス (pswwatchdog.exe など) を表示することができますが、どのプロセスが Identity Synchronization for Windows と関連するかは示されません。このため、Windows のタスクマネージャからプロセスを停止しないでください。


  2. 次のいずれかの方法で、Message Queue を停止します (コアをアンインストールするだけのため)。
    • 「サービス」ウィンドウの右パネルで「iMQ Broker」を右クリックし、「停止」を選択する
    • コマンドプロンプトウィンドウを開き、次のコマンドを入力する
    • net stop "iMQ Broker"

    • 上の方法が機能しない場合は、次の手順を実行して Message Queue を手動で停止する
      1. 「サービス」ウィンドウで「iMQ Broker」を右クリックし、「プロパティ」を選択します。
      2. 「プロパティ」ウィンドウの「全般」タブで、「スタートアップの種類」ドロップダウンリストから「手動」を選択します。
  3. 次の方法で Directory Server プラグインを削除します。
    1. Directory Server コンソールで、「設定」タブを選択します。
    2. 左のパネルでプラグインのノードを展開し、「pswsync」ノードを選択します。
    3. 右のパネルで、「プラグインを有効に」ボックスのチェックマークを外します。
    4. 「保存」をクリックして変更を保存します。
    5. コンソールで、設定ディレクトリ内の次のエントリを検索し、それを削除します。
    6. cn=pswsync,cn=plugins,cn=config

    7. 次のいずれかの方法で、Directory Server を停止します。
      • 「サービス」ウィンドウの右パネルで「Sun Java System Directory Server 5.2」を右クリックし、「停止」を選択する
      • コマンドプロンプトウィンドウを開き、次のコマンドを入力する
      • net stop slapd-<myhostname>

    8. Windows エクスプローラを開き、プラグインのバイナリを検索して削除します。
    9. <serverroot>¥lib¥psw-plugin.so

    10. Directory Server を再起動します。
  4. コマンドプロンプトウィンドウを開き、regedit と入力して「レジストリエディタ」ウィンドウを開きます。
  5. 重要 : 手順 5 に進む前に、現在のレジストリファイルのバックアップを行ってください。

    1. 「レジストリエディタ」の左パネルで、最上位のノード (「マイコンピュータ」) を選択します。
    2. メニューバーから「レジストリ」 > 「レジストリファイルの書き出し」を選択します。
    3. 「レジストリファイルの書き出し」ダイアログボックスが表示されるので、ファイル名を指定し、バックアップレジストリの保存場所を選択します。
  6. 「レジストリエディタ」のメニューバーから「編集」 > 「削除」を選択し、Windows レジストリから次の Identity Synchronization for Windows キーを削除します。
    • HKEY_LOCAL_MACHINE¥SOFTWARE¥Microsoft¥Windows¥
      CurrentVersion¥Uninstall¥Identity Synchronization for Windows の下のすべてのエントリ
    • HKEY_LOCAL_MACHINE¥SYSTEM¥* の下のすべての CurrentControlSetControlSet (ControlSet001ControlSet002 など)。存在する場合は、次のエントリが削除の対象となる
      • ...¥Control¥Session Manager¥Environment¥<isw-installation directory>
      • ...¥Services¥Eventlog¥Application¥Sun Java System Identity Synchronization for Windows
      • ...¥Services¥Sun Java System Identity Synchronization for Windows
      • ...¥Services¥iMQBroker
  7. C:¥WINNT¥system32 にある現在の productregistry ファイルのバックアップを作成 (コピーして名前を変更) します。
  8. C:¥WINNT¥system32 ¥productregistry ファイルを編集し、次のタグを削除します。

    • 最適な結果を得るには、XML エディタを使用する。標準的なテキストエディタを使用することもできる
    • 次のコンポーネントの一部は、ファイルに含まれていないこともある
    • 開始タグ (<compid>)、終了タグ (<¥compid>)、および 2 つのタグの間に含まれるすべての内容を削除する必要がある。次のリストでは、これらのタグの一部として含まれる追加テキストやタグは、連続するピリオドで表されている。詳細情報の例を参照

    • <compid>Identity Synchronization for Windows .. . </compid>
    • <compid>Core .. . </compid>
    • <compid>unistaller .. . </compid>
    • <compid>wpsyncwatchdog .. . </compid>
    • <compid>setenv .. . </compid>
    • <compid>Create DIT .. . </compid>
    • <compid>Extend Schema .. . </compid>
    • <compid>resources .. . </compid>
    • <compid>CoreComponents .. . </compid>
    • <compid>Connector .. . </compid>
    • <compid>DSConnector .. . </compid>
    • <compid>Directory Server Plugin .. . </compid>
    • <compid>DSSubcomponents .. . </compid>
    • <compid>ObjectCache .. . </compid>
    • <compid>ObjectCacheDLLs .. . </compid>
    • <compid>ADConnector .. . </compid>
    • 次に、<compid> タグの例を示します。<compid></compid>、およびその間にあるすべてのテキストとタグを削除します。

      <compid>Identity Synchronization for Windows

          <compversion>1.0

                <uniquename>Identity Synchronization for Windows</uniquename>

                <compinstance>1

                          <children>

                              <compref>ADConnector

                                  <instance>1

                                      <version>1.0</version>

                                  </instance>

                              </compref>

                              <compref>DSSubcomponents

                              . . .

              </compinstance>

          </compversion>

      </compid>

  9. <serverroot>¥isw-<hostname> にある Identity Synchronization for Windows のインストールフォルダを削除します。
  10. たとえば、C:¥Program Files¥Sun¥mps¥isw-example のようなフォルダです。

  11. 次の方法で設定ディレクトリをクリーンアップします。
    1. コマンドプロンプトウィンドウから、Identity Synchronization for Windows コアがインストールされている設定ディレクトリに対して ldapsearch コマンドを実行し、Identity Synchronization for Windows コンソールのサブツリーを識別します。

    2. ldapsearch は、<serverroot>¥shared¥bin¥ldapsearch にあります。

      次に例を示します。
      C:¥Program Files¥Sun¥mps¥shared¥bin¥ldapsearch


      ldapsearch -D "cn=directory manager" -w <my_password> -b o=netscaperoot "(nsnickname=isw)" dn

      実行結果として、次のようなエントリが取得されます。エントリは、常に o=NetscapeRoot で終わります。

      "cn=Sun Java System Identity Synchronization for Windows,cn=server group, cn=myhost.mydomain.com,ou=mydomain.com,o=NetscapeRoot"

    3. Directory Server コンソールを使用して、検索した Identity Synchronization for Windows コンソールのサブツリーと、その下のすべてのサブツリーを削除します。
  12. 次のように、Identity Synchronization for Windows の設定ディレクトリ (設定レジストリとも呼ばれる) をクリーンアップします。
    1. コマンドプロンプトウィンドウから次の ldapsearch コマンドを実行し、Directory Server 内の Identity Synchronization for Windows 設定ディレクトリを識別します。
    2. ldapsearch -D "cn=directory manager" -w <my_password> -b "dc=my,dc=domain" "(&(objectclass=iplanetservice)(ou=IdentitySynchronization))" dn

      実行結果として、次のようなエントリが取得されます。

      "ou=IdentitySynchronization,ou=Services,dc=my,dc=domain"

    3. Directory Server コンソールを使用して、検索した設定ディレクトリのサブツリーと、その下のすべてのサブツリーを削除します。
  13. 次の方法で、コンソールに関連するその他すべてのファイルをクリーンアップします。
    1. <serverroot>¥java¥jars¥isw* にある、コンソールのすべての jar ファイルを削除します。
      たとえば、C:¥Program Files¥Sun¥mps¥java¥jars¥isw* を削除します。
    2. ¥<directory_server_install_root>¥bin¥isw¥ にある、コンソールサーブレットのすべての jar ファイルを削除します。
      たとえば、C:¥SunJavaSystem¥Servers¥bin¥isw¥ 内の jar ファイルを削除します。
  14. マシンを再起動し、すべての変更を適用します。

Windows NT からの 1.0 インスタンスの手動アンインストール

Windows NT マシンからインスタンスを手動でアンインストールするには、ここで説明する手順を実行します。


ここでは、Identity Synchronization for Windows の位置を次のように示します。

<serverroot>¥isw-<hostname>

この <serverroot> は、Identity Synchronization for Windows のインストール先の親ディレクトリを示します。たとえば、Identity Synchronization for Windows を C:¥Program Files¥Sun¥mps¥isw-example にインストールした場合、<serverroot>C:¥Program Files¥Sun¥mps となります。


  1. 次のいずれかの方法で、Identity Synchronization for Windows のすべての Java プロセス (コアとインスタンスのインストール) を停止します。
    • 「スタート」 > 「設定」 > 「コントロールパネル」 > 「管理ツール」 > 「サービス」を選択し、「サービス」ウィンドウを開きます。右のパネルで「Sun Java System Identity Synchronization for Windows」を右クリックし、「停止」を選択する
    • コマンドプロンプトウィンドウを開き、次のコマンドを入力する
    • net stop "Sun Java(TM) System Identity Synchronization for Windows"

    • 上の方法が機能しない場合は、次の手順を実行して Java プロセスを手動で停止する
      1. 「サービス」ウィンドウで「Sun Java System Identity Synchronization for Windows」を右クリックし、「プロパティ」を選択します。
      2. 「プロパティ」ウィンドウの「全般」タブで、「スタートアップの種類」ドロップダウンリストから「手動」を選択します。

      3. Windows のタスクマネージャで Java プロセス (pswwatchdog.exe など) を表示することができますが、どのプロセスが Identity Synchronization for Windows と関連するかは示されません。このため、Windows のタスクマネージャからプロセスを停止しないでください。


  2. 次のいずれかの方法で、変更ディテクタサービスを停止します。
    • 「サービス」ウィンドウの右パネルで「Sun Java System NT Change Detector」サービスを右クリックし、「停止」を選択する
    • コマンドプロンプトウィンドウを開き、次のコマンドを入力する
    • net stop "Sun Java(TM) System NT Change Detector"

    • 上の方法が機能しない場合は、次の手順を実行して変更ディテクタサービスを手動で停止する
      1. 「サービス」ウィンドウで「Change Detector Service」を右クリックし、「プロパティ」を選択します。
      2. 「プロパティ」ウィンドウの「全般」タブで、「スタートアップの種類」ドロップダウンリストから「手動」を選択します。
  3. Windows NT コンピュータを再起動します。
  4. Identity Synchronization for Windows のレジストリキーを削除する必要があります。コマンドプロンプトウィンドウを開き、regedt32 と入力して「レジストリエディタ」ウィンドウを開きます。

  5. 警告

    プログラムが複数値文字列の編集を許可しないため、regedit は使用しないでください。

    手順 5 に進む前に、必ず現在の Windows レジストリファイルをバックアップしてください。


    1. 「レジストリエディタ」の左パネルで、最上位のノード (「マイコンピュータ」) を選択します。
    2. メニューバーから「レジストリ」 > 「レジストリファイルの書き出し」を選択します。
    3. 「レジストリファイルの書き出し」ダイアログボックスが表示されるので、ファイル名を指定し、バックアップレジストリの保存場所を選択します。
  6. 「レジストリエディタ」のメニューバーから「編集」 > 「削除」を選択し、レジストリから次の Identity Synchronization for Windows キーを削除します。
    • HKEY_LOCAL_MACHINE¥SOFTWARE¥Microsoft¥Windows¥
      CurrentVersion¥Uninstall¥Identity Synchronization for Windows の下のすべてのエントリ
    • HKEY_LOCAL_MACHINE¥SYSTEM¥* の下のすべての CurrentControlSetControlSet (ControlSet001ControlSet002 など)。存在する場合は、次のエントリが削除の対象となる
      • ...¥Control¥Session Manager¥Environment¥<isw-installation directory>
      • ...¥Services¥Eventlog¥Application¥Sun Java System Identity Synchronization for Windows
      • ...¥Services¥Sun Java System Identity Synchronization for Windows
      • ...¥Services¥iMQBroker
    • HKEY_LOCAL_MACHINE¥SOFTWARE¥Sun Microsystems¥PSW
  7. regedt32 を使用して (regedit は使用しない)、次のレジストリキーを修正します (削除しない)。
    1. 左パネルでレジストリキーエントリを選択します。
    2. HKEY_LOCAL_MACHINE¥SYSTEM¥¥CurrentControlSet¥¥CONTROL¥¥LSA

      レジストリ値の型は REG_MULTI_SZ である必要があります。

    3. 右パネルで「Notification Packages」を右クリックし、「変更」を選択します。
    4. PASSFLT の値を FPNWCLNT に変更します。
  8. C:¥WINNT¥system32 にある現在の productregistry ファイルのバックアップを作成 (コピーして名前を変更) します。
  9. C:¥WINNT¥system32 productregistry ファイルを編集し、次のタグを削除します。

    • 最適な結果を得るには、XML エディタを使用する。標準的なテキストエディタを使用することもできる
    • 次のコンポーネントの一部は、ファイルに含まれていないこともある
    • 開始タグ (<compid>)、終了タグ (<¥compid>)、および 2 つのタグの間に含まれるすべての内容を削除する必要がある。次のリストでは、これらのタグの一部として含まれる追加テキストやタグは、連続するピリオドで表されている。詳細情報の例を参照

    • <compid>Identity Synchronization for Windows .. . </compid>
    • <compid>Core .. . </compid>
    • <compid>uninstaller .. . </compid>
    • <compid>wpsyncwatchdog .. . </compid>
    • <compid>setenv .. . </compid>
    • <compid>Create DIT .. . </compid>
    • <compid>Extend Schema .. . </compid>
    • <compid>resources .. . </compid>
    • <compid>CoreComponents .. . </compid>
    • <compid>Connector .. . </compid>
    • <compid>DSConnector .. . </compid>
    • <compid>Directory Server Plugin .. . </compid>
    • <compid>DSSubcomponents .. . </compid>
    • <compid>ObjectCache .. . </compid>
    • <compid>ObjectCacheDLLs .. . </compid>
    • <compid>ADConnector .. . </compid>
    • 次に、<compid> タグの例を示します。<compid></compid>、およびその間にあるすべてのテキストとタグを削除します。

      <compid>Identity Synchronization for Windows

          <compversion>1.0

             <uniquename>Identity Synchronization for Windows</uniquename>

                <compinstance>1

                          <children>

                              <compref>ADConnector

                                  <instance>1

                                      <version>1.0</version>

                                  </instance>

                              </compref>

                              <compref>DSSubcomponents

                              . . .

              </compinstance>

          </compversion>

      </compid>

  10. <serverroot>¥isw-<hostname> にある Identity Synchronization for Windows のインストールフォルダを削除します。
  11. たとえば、C:¥Program Files¥Sun¥mps¥isw-example のようなフォルダです。


    手順 10 に進む前に、手順 8 で説明した方法で Windows レジストリを編集する必要があります。


  12. パスワードフィルタ DLL を削除します。
  13. C:¥winnt¥system32 フォルダから passflt.dll ファイルを検索し、ファイル名を passflt.dll.old に変更します。

  14. マシンを再起動し、すべての変更を適用します。


その他の移行例

配備によっては別のトポロジが採用されるため、単一ホストの配備を例に説明した移行プロセスとは若干異なるプロセスが必要になることもあります。

ここでは、その他の 2 つの配備例を紹介し、それぞれの移行方法について説明します。ここで説明する配備例は、次のとおりです。

マルチマスターレプリケーション配備

マルチマスターレプリケーション (MMR) 配備では、異なるホストに 2 つの Directory Server インスタンスがインストールされます。ホストを異なるオペレーティングシステムで実行することも可能ですが、ここでは、両方のホストが同じオペレーティングシステムで稼動している例について説明します。

表 7-2 は、2 つのホストの間で Identity Synchronization for Windows コンポーネントがどのように分散されているかを示しています。

表 7-2 マルチマスターレプリケーション配備でのコンポーネントの分散 

ホスト 1

ホスト 2

同期対象ユーザーの二次マスターとしての Directory Server (1 インスタンス)

同期対象ユーザーの優先マスターとしての Directory Server (1 インスタンス)

コア (Message Queue、セントラルロガー、システムマネージャ、コンソール)

Directory Server プラグイン

Active Directory コネクタ

 

Directory Server コネクタ

 

Directory Server プラグイン

 

移行プロセスでは、優先マスターまたは二次マスターで継続して実行されるオンデマンドパスワード同期が維持されます。


両方のホストを Solaris オペレーティングシステムで実行している場合、Active Directory がインストールされた Windows 2000 を実行する第 3 のホストが同期専用に必要となります。第 3 のホストにはコンポーネントはインストールされません。


次の図は、MMR 配備での Identity Synchronization for Windows の移行プロセスを示しています。

図 7-2 マルチマスターレプリケーション配備での移行

[D]

[D]

Windows NT を使用したマルチホスト配備

この配備例では、次の 3 つのホストが使用されます。

表 7-3 は、3 つのホストの間で Identity Synchronization for Windows コンポーネントがどのように分散されているかを示しています。

表 7-3 マルチホスト配備

ホスト 1

ホスト 2

ホスト 3

設定リポジトリが格納された Directory Server

同期対象ユーザー用の Directory Server

Windows NT コネクタ

コア (Message Queue、セントラルロガー、システムマネージャ、コンソール)

Directory Server コネクタ

Windows NT サブコンポーネント (パスワードフィルタ DLL と変更ディテクタサービス)

Active Directory コネクタ

Directory Server プラグイン

 

前述の例と同様に、ホスト 1、ホスト 2 は同一オペレーティングシステムで稼動しています。


両方のホストを Solaris オペレーティングシステムで実行している場合、Active Directory がインストールされた Windows 2000 を実行する第 4 のホストが同期専用に必要となります。第 4 のホストにはコンポーネントはインストールされません。


図 7-3 は、マルチホスト配備での Identity Synchronization for Windows の移行プロセスを示しています。

図 7-3 Windows NT を使用したマルチホスト配備での移行

[D]

[D]


ログのチェック

バージョン 1 2004Q3 への移行が完了したら、問題を示すメッセージが記録されていないかどうか、セントラル監査ログを調べます。特に、移行プロセス中に Directory Server ユーザーがパスワードの変更に失敗した場合、次のようなメッセージがログに記録されます。

[16/Apr/2004:14:23:41.029 -0500] WARNING    14  CNN101

ds-connector-host.example.com  "Unable to obtain password of user cn=JohnSmith,ou=people,dc=example,dc=com, because the password was encoded by a previous installation of Identity Synchronization for Windows Directory Server Plugin. The password of this user cannot be synchronized at this time.Update the password of this user again in the Directory Server."

このログメッセージは、Identity Synchronization for Windows 1 2004Q3 で同期を開始するまで確認できません。このため、移行プロセスの最後の手順は、ログの確認となります。



前へ      目次      索引      次へ     


Part No: 817-7846   Copyright 2004 Sun Microsystems, Inc. All rights reserved.