Go to main content

Oracle® ZFS Storage Appliance 관리 설명서, 릴리스 OS8.8.x

인쇄 보기 종료

업데이트 날짜: 2021년 8월
 
 

캐스케이드된 복제

캐스케이드된 복제를 통해 복제 패키지에 대해 복제 작업을 구성하여 복제된 데이터를 복제할 수 있습니다. 패키지를 여러 대상 어플라이언스에 복제하려는 경우 동일한 패키지에 여러 복제 작업을 만들 수 있습니다.

기본 설정

기본적인 캐스케이드된 복제 설정은 소스와 하나 이상의 중간 대상, 최종 대상으로 구성됩니다.

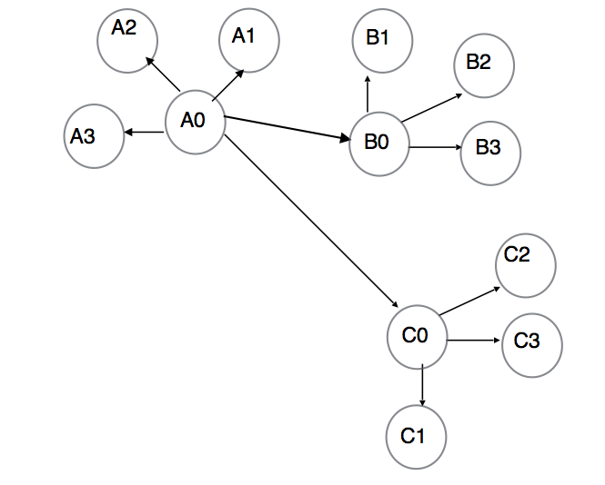
다음과 같은 캐스케이드된 복제 예는 프로젝트 중 하나를 노드 B의 특정 패키지에 복제하기 위한 작업이 설정되는 소스 노드 A로 구성됩니다. 노드 B에서는 이 패키지를 노드 C의 다른 패키지에 복제하기 위한 작업이 만들어지며, 노드 C에서는 이 패키지를 노드 D의 특정 패키지에 복제하기 위한 작업이 설정됩니다. 따라서 다른 그림에서와 같이 노드 B와 노드 C는 노드 A에서 노드 D로 복제본을 캐스케이드합니다.

image:캐스케이스된 복제 예 구성을 보여주는 이미지

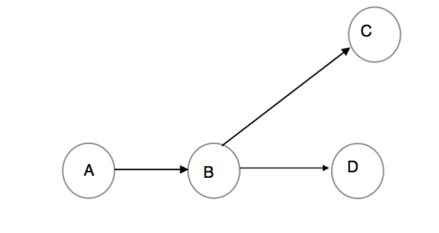
다음 그림에서와 같이 소스 노드 A에서는 프로젝트 중 하나를 노드 B의 특정 패키지에 복제하기 위한 작업이 설정됩니다. 노드 B에서는 이 패키지를 노드 C와 노드 D에 복제하기 위한 작업이 만들어집니다. 따라서 노드 B는 복제본을 노드 A에서 노드 CD로 캐스케이드합니다.

image:복제본을 노드 A에서 노드 C와 D로 캐스케이드하는 노드 B에 대한 캐스케이드된 복제를 보여주는 이미지

캐스케이드된 구성의 복제 방향 바꾸기는 소스(이전 예의 노드 B)에서 바로 복제 업데이트를 수신하는 노드에서만 지원되며, 방향 바꾸기는 다른 노드(노드 CD)에서 사용 안함으로 설정됩니다. 캐스케이드된 복제 설정에서 재해 복구를 계획할 때는 다중 대상 방향 바꾸기를 고려해야 합니다. 다중 대상 방향 바꾸기와 다음 절의 "방향 바꾸기 관리에 distant_target 등록 정보 사용"을 참조하십시오.

캐스케이드된 복제 관리

캐스케이드된 복제 관리는 두 가지 작업으로 구성됩니다.

  • 복제 패키지 아래에 작업 만들기

  • 캐스케이드된 복제 일정 구성

복제 패키지 아래에 작업 만들기

프로젝트 아래에 복제 작업을 만드는 것과 마찬가지로, 복제 패키지 아래에 복제 작업을 만들 수 있습니다. 다음 그림은 BUI를 사용하여 복제 패키지 아래에 작업을 만드는 방법을 보여줍니다.

공유 레벨 복제에 대해서는 캐스케이드된 복제가 지원되지 않습니다. 복제 패키지의 공유 아래에서 작업을 구성할 수 없으며, 공유 레벨 복제로 인해 만들어진 패키지 아래에서 작업을 구성할 수 없습니다.

image:BUI를 사용하여 복제 패키지 아래에 작업을 만드는 방법을 보여주는 이미지

다음 그림은 CLI를 사용하여 복제 패키지 아래에 작업을 만드는 방법을 보여줍니다.

image:CLI를 사용하여 복제 패키지 아래에 작업을 만드는 방법을 보여주는 이미지

캐스케이드된 복제 일정 구성

모든 작업에는 두 가지 일정이 있습니다.

  • 프로젝트의 일부로 구성된 작업에 대한 일정을 소스 일정이라고 합니다.

  • 패키지의 일부로 구성된 작업에 대한 일정을 캐스케이딩 일정이라고 합니다.

다음 그림은 CLI를 사용하여 복제 작업에 대한 새 캐스케이딩 일정을 구성하는 방법을 보여줍니다.

image:CLI를 사용하여 복제 작업에 대한 새 캐스케이딩 일정을 구성하는 방법을 보여주는 이미지

다음 그림은 BUI를 사용하여 복제 작업에 대한 새 캐스케이딩 일정을 구성하는 방법을 보여줍니다.

image:BUI를 사용하여 복제 작업에 대한 새 캐스케이딩 일정을 구성하는 방법을 보여주는 이미지

언제든지 두 일정을 구성할 수 있지만 작업이 구성된 위치에 따라 하나의 일정만 유효합니다. 복제 방향 바꾸기 또는 변환으로 인해 복제 토폴로지에 변경이 있을 경우 유효한 일정이 변경될 수 있습니다. 예를 들어, 복제 패키지에 대해 방향 바꾸기를 수행하면 방향이 바뀐 패키지에서 구성된 작업이 이제 프로젝트에서 구성되므로 관련 소스 일정이 활성화됩니다. 마찬가지로 프로젝트에 대해 복제 변환을 수행하면 프로젝트 아래에서 구성에 사용된 프로젝트 작업이 이제 패키지에서 구성되므로 관련 캐스케이딩 일정이 활성화됩니다.

다음 그림은 CLI를 사용하여 유효한 일정을 확인하는 방법에 대해 설명합니다.

image:CLI를 사용하여 유효한 일정을 확인하는 방법을 보여주는 이미지

다음 그림은 BUI를 사용하여 유효한 일정을 확인하는 방법에 대해 설명합니다. 작업에서 맨 왼쪽의 일정 탭이 유효한 일정입니다.

image:BUI를 사용하여 유효한 일정을 확인하는 방법을 보여주는 이미지

복제 방향 바꾸기 중 새 작업이 만들어질 때 소스 일정과 캐스케이딩 일정은 유지됩니다. 복제 방향 바꾸기다중 대상 방향 바꾸기를 참조하십시오.

캐스케이딩 일정에 대해 after_update 옵션을 사용할 수 있습니다. 설정할 경우 들어오는 업데이트가 완료된 후에만 업데이트가 시작됩니다.

update_cascade_delay 등록 정보를 사용하여 들어오는 복제 업데이트가 완료될 때부터 나가는 캐스케이딩 업데이트가 시작될 때까지의 지연을 지정할 수 있습니다. 이 등록 정보는 after_update 옵션이 선택된 경우에만 유효합니다.

다음 그림에서와 같이 after_update 옵션과 update_cascade_delay 등록 정보를 구성할 수 있습니다.

image:CLI에서의 옵션 설정을 보여주는 이미지

패키지 아래의 작업에 대해서는 연속 일정 옵션을 사용할 수 없으며 캐스케이딩 복제 작업은 새 복제 스냅샷을 만들지 않습니다. 새 업데이트가 소스에서 전달되면 캐스케이딩 작업이 최신 패키지 스냅샷을 사용하여 대상에 대해 복제 업데이트를 수행합니다. 따라서 소스에서 업데이트를 수신하지 않은 상태로 캐스케이딩 작업에 대해 업데이트를 수행하면 적용되지 않습니다. 성공 업데이트 상태가 설정되며 last_try 등록 정보가 업데이트됩니다.

방향 바꾸기 관리에 distant_target 등록 정보 사용

캐스케이드된 복제에서 두 노드 간의 원거리 대상 관계는 로컬 대상과 원거리 대상을 구별합니다. distant_target 등록 정보는 복제 방향 바꾸기 또는 변환으로 인한 토폴로지 변환 후 이 관계를 유지합니다.

다음 구성 시나리오는 distant_target 등록 정보를 보여줍니다.

  1. distant_target 등록 정보가 설정되어 있지 않으며 설정된 다중 대상 방향 바꾸기가 없는 경우. 이 경우 대상에 대해 방향 바꾸기가 수행되면 일부 작업만 유지됩니다. 자세한 내용은 다중 대상 방향 바꾸기를 참조하십시오. 다음 그림에서와 같이 노드 AB에는 원거리 대상 관계가 없으며, 노드 B가 잠재적 소스로 구성되어 있지 않습니다(작업 AB: potential_source=false, distant_target=false).

    image:distant_target 등록 정보가 설정되지 않고 다중 대상 방향 바꾸기가 설정되지 않았음을 보여주는 이미지

    A가 실패하고 B에 대해 방향 바꾸기가 수행되면, 다음 그림에서와 같이 A{1..3}에 대한 작업이 만들어지지 않습니다.

    image:A가 실패하고 B에 대해 방향 바꾸기가 수행됨을 보여주는 이미지
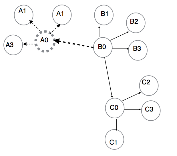
  2. distant_target 등록 정보가 설정되어 있지 않으며 설정된 다중 대상 방향 바꾸기가 있는 경우. 이 경우 잠재적 소스에 대해 방향 바꾸기가 수행되면 다중 대상 방향 바꾸기 그룹에서 모든 대상에 대해 작업이 만들어집니다. 원거리 대상 관계가 없으므로 로컬 대상과 원거리 대상이 구별되지 않습니다. 다음 그림에서와 같이 노드 A는 소스이며 노드 B는 잠재적 소스입니다. 노드 AB에 원거리 대상 관계가 없습니다(작업 AB: potential_source=true, distant_target=false).

    image:distant_target 등록 정보가 설정되지 않고 다중 대상 방향 바꾸기가 설정되었음을 보여주는 이미지

    단, 방향 바꾸기가 수행된 후 노드 A가 실패하고 노드 B가 새 소스로 바뀌면, 다음 그림에서와 같이 A{1..3}에 대한 작업이 만들어집니다.

    image:방향 바꾸기 후 노드 A0이 실패하고 노드 B0이 새 소스로 바뀌었음을 보여주는 이미지
  3. distant_target 등록 정보가 설정되어 있으며 설정된 다중 대상 방향 바꾸기가 있는 경우. 이 경우 잠재적 소스에 대해 방향 바꾸기가 수행되면 원거리 소스에 로컬인 대상에 대해 작업이 만들어지지 않습니다. 다음 그림에서와 같이 노드 A는 소스이며 노드 B는 잠재적 소스입니다. 노드 AB에 원거리 대상 관계가 있습니다(작업 AB: potential_source=true, distant_target=true).

    image:distant_target 등록 정보가 설정되고 다중 대상 방향 바꾸기가 설정되었음을 보여주는 이미지

    노드 A가 실패하고 노드 B에 대한 방향 바꾸기 후 노드 B가 새 소스로 바뀝니다. 따라서 AB 간의 원거리 대상 관계로 인해 A{1..3}에 대한 작업이 만들어지지 않습니다. A가 복구되면 패키지가 A{1..3}으로 캐스케이드됩니다.

    image:노드 B에 대한 방향 바꾸기 후 노드 A의 실패를 보여주는 이미지

다음 그림은 CLI를 사용하여 원거리 대상을 구성하는 방법을 보여줍니다.

image:CLI를 사용하여 원거리 대상을 구성하는 방법을 보여주는 이미지

다음 그림은 BUI를 사용하여 원거리 대상을 구성하는 방법을 보여줍니다.

image:BUI를 사용하여 원거리 대상을 구성하는 방법을 보여주는 이미지

캐스케이드된 복제를 사용하는 경우 잠재적 소스를 설정하여 다중 대상 방향 바꾸기를 구성하는 것이 좋습니다. 그렇지 않으면 다중 복제 방향 바꾸기 후 원래 캐스케이드된 구성으로 돌아가지 못할 수도 있습니다. 또한 잠재적 소스가 설정된 경우에만 원거리 대상을 설정할 수 있습니다. 자세한 내용은 다중 대상 방향 바꾸기를 참조하십시오.

실패 시나리오

캐스케이드된 복제에서 단일 노드가 실패하면 다중 어플라이언스 또는 복제 관계에 의해 서로 연결된 다중 데이터 센터가 영향을 받을 수 있습니다. 캐스케이드된 복제 토폴로지에는 제한이 없지만 다음과 같은 일반적인 실패 시나리오가 제공됩니다.

  • 원래 소스 실패

  • 중간 대상 실패

  • 소스 사이트 실패

원래 소스 실패

이 시나리오에서는 캐스케이딩 체인의 소스가 실패합니다. 이 실패로부터 복구를 수행하려면 소스에 대한 초기 다중 대상 방향 바꾸기 구성이 필요합니다. 복제 방향 바꾸기를 수행하면 대상에 대한 프로세스가 시작됩니다. 방향이 바뀐 대상은 소스로 바뀌며, 기타 모든 원래 대상과 원래 소스로 증분 업데이트를 계속 전송합니다. 자세한 내용은 다중 대상 방향 바꾸기를 참조하십시오.

다음 그림에서와 같이 A는 소스이며 A1은 잠재적 소스입니다. AA1B에 복제됩니다. BCD에 복제하면 소스 A가 실패합니다.

image:소스 A 실패를 보여주는 이미지

다음 그림에서와 같이 A1에 대해 방향 바꾸기가 수행되면 A(A 복구 시)와 B에 복제되고 B는 CD에 업데이트를 계속 전송합니다.

image:A1에 대해 수행된 방향 바꾸기를 보여주는 이미지

중간 대상 실패

이 실패 시나리오는 캐스케이드된 체인에서 중간 노드의 실패와 관련이 있습니다. 대상 변경 절차에 따라 이 시나리오에서 복구를 수행할 수 있습니다. 다음 그림에서와 같이 캐스케이드된 체인의 중간 노드 B가 실패합니다.

image:중간 대상 실패를 보여주는 이미지

다음 그림에서와 같이 대상 변경/무시 절차가 적용된 후 소스 A가 실패한 노드 B를 무시하고 노드 C에 업데이트를 계속 전송하면 C는 노드 D에 업데이트를 전송합니다.

image:소스 A가 실패한 노드 B를 무시하고 노드 C와 D에 업데이트를 계속 전송하고 있음을 보여주는 이미지

다음 그림에서와 같이 B가 복구될 때 BC 간의 작업이 무시된 상태로 유지되면서 AB 간의 작업이 복원됩니다.

image:A와 B 간의 작업 복원(B와 C의 작업이 무시된 상태로 유지됨)을 보여주는 이미지

CLI를 사용하여 실패한 노드 무시:

  1. 소스에서 실패한 노드에 대한 작업을 선택합니다.

  2. retarget을 입력합니다.

  3. retarget_mode 등록 정보를 bypass로 설정합니다.

  4. 다음 그림에서와 같이 무시 대상이 되도록 대상을 설정합니다.

    image:CLI에서 무시 대상이 되도록 대상을 설정하는 과정을 보여주는 이미지
  5. 무시 작업에 표시되는 bypassed_id 등록 정보를 사용하면 실패한 노드가 복구된 후 원래 작업을 선택하여 대상 변경 복원을 수행할 수 있습니다. 다음 그림에서와 같이 생성된 bypassed_id를 볼 수 있습니다.

    image:CLI에서의 bypassed_id 등록 정보 확인을 보여주는 이미지
  6. B가 복구된 경우 이후 단계에서는 다음 그림에서와 같이 대상 변경/복원 절차를 사용하여 원래 캐스케이드된 토폴로지로 돌아갑니다.

    image:CLI에서의 복원 절차를 보여주는 이미지

BUI를 사용하여 실패한 노드 무시:

  1. 소스 노드에서 실패한 노드에 대한 작업을 선택합니다.

  2. Edit Replication Action(복제 작업 편집) 대화 상자에서 Retarget(대상 변경)을 누릅니다.

  3. Replication Retarget(복제 대상 변경) 대화 상자에서 모드를 Bypass(무시)로 설정합니다.

  4. 다음 그림에서와 같이 무시 대상이 되도록 드롭다운 목록에서 대상을 선택합니다.

    image:BUI에서 무시 대상이 되도록 드롭다운 목록에서 대상을 선택하는 과정을 보여주는 이미지
  5. APPLY(적용)를 누릅니다.

  6. B가 복구된 경우 이후 단계에서는 다음 그림에서와 같이 복원 절차를 사용하여 원래 캐스케이드된 토폴로지로 돌아갑니다.

    image:BUI에서의 복원 절차를 보여주는 이미지

소스 사이트 실패

이 시나리오에서 소스와 모든 직접 로컬 대상은 사용할 수 없으며 원거리 대상 중 하나의 새 소스로 바뀝니다. 이 시나리오로부터 복구를 수행하려면 소스에 대한 다중 대상 방향 바꾸기 구성이 필요합니다. 자세한 내용은 다중 대상 방향 바꾸기를 참조하십시오. 또한 일부 대상을 원거리 대상으로 구성해야 합니다. 자세한 내용은 "방향 바꾸기 관리에 distant_target 등록 정보 사용"을 참조하십시오.

다음 그림에서와 같이 A0, B0C0은 다중 대상 방향 바꾸기 그룹을 구성합니다. 여기서 B0C0은 잠재적 소스와 원거리 대상입니다. A0,B0A0,C0은 원거리 대상 관계를 구성하지만(A0B0A0C0은 잠재적 소스 및 원거리 대상으로 구성되어야 함), A1,A2,A3A0과 로컬 관계를 구성하고 B1,B2,B3B0과 로컬 관계를 구성합니다.

image:소스와 모든 직접 로컬 대상은 사용할 수 없으며 원거리 대상 중 하나의 새 소스로 바뀜을 보여주는 이미지

B0에 대해 방향 바꾸기가 수행되는 경우 다음 그림에서와 같이 A1,A2,A3A0의 로컬 대상으로 처리되므로 A1,A2,A3에 대한 작업이 다시 만들어지지 않습니다. 다중 대상 방향 바꾸기의 등록 정보로 인해 B0C0으로 업데이트를 전송합니다.

image:방향 바꾸기 수행과 소스 사이트 실패를 보여주는 이미지

호환성 고려 사항

    캐스케이드된 복제를 구성할 때는 다음 호환성 규칙을 따르십시오.

  • OS8.7.0 이전 펌웨어를 실행하는 노드는 캐스케이드된 복제의 일부로 구성할 수 없습니다.

  • OS8.7.0 이상 펌웨어를 실행하는 노드는 최종 노드로 구성할 수 있습니다.

  • 캐스케이드된 복제를 지원하지 않는 펌웨어를 실행하는 최종 노드는 복제 방향 바꾸기를 수행할 수 있습니다. 단, 소스에 대해 복제 업데이트를 다시 수행할 수 없게 됩니다. 해당 시나리오에서는 복제 관계를 복구할 수 없습니다.

  • 캐스케이드된 복제를 지원하지 않는 펌웨어를 실행하는 최종 노드에 대해 대상 변경을 수행할 수 없습니다.

  • 캐스케이드된 체인에서 다른 펌웨어를 실행하는 대상에 대한 복제 호환성 규칙은 소스와 대상에 대해 동일합니다. 예를 들어, 대상이 소스에 사용된 기능을 지원하지 않는 경우 해당하는 소스에서 전달된 복제 업데이트가 실패할 수 있습니다.

  • 캐스케이드 복제를 지원하지 않는 펌웨어 버전으로 시스템을 롤백하면 캐스케이드된 모든 복제 작업이 삭제됩니다.

관련 항목