| Oracle Advanced Supply Chain Planningインプリメンテーションおよびユーザーズ・ガイド リリース12 E06012-01  | 目次  | 前へ  | 次へ  | 
この章のトピックは、次のとおりです。
Oracle ASCPでは、構成部品代替と最終品目レベル代替という2種類の代替がサポートされています。この項では、最終品目レベル代替について説明します。
最終品目という用語は、完成品、つまり販売可能な製品を指します。最終品目レベル代替は、多くの業界で許容されているビジネス慣行です。通常、要求品目が使用可能でなければ、より多くの機能を備えた製品で代替することで顧客需要を納期どおりに履行できます。また、同等の機能を備えた古い品目の既存在庫を使い切るためにも、代替が行われます。
最終品目代替には、次の機能があります。
一方向または双方向に有効なユーザー定義ルールに基づく代替が使用可能になります。代替関係のチェーンの定義は、既存の関係を推測することで単純化されます。
オーダー納期処理で代替ルールが考慮され、計画と同様に代替が提示されます。これは、代替を考慮しないロジックに基づくオーダー納期処理では不正確な納期や過剰な確約を生じる可能性があるため重要です。
品目の発注側の顧客/顧客サイトが考慮されます。たとえば、特定の品目を発注する際に、顧客が代替を受け入れない場合と代替を受け入れる場合があります。
代替の実行前に代替ルールの有効日が考慮されます。
計画のシミュレーションを実行することで代替ルールの候補の効果が評価されます。
要求品目と代替品目の組合せを使用してオーダーを充足できるか、または単一品目のみを使用してオーダーを充足できるかが定義されます。
この項では、最終品目代替を定義して使用するための一般的な手順について説明します。
Oracle Inventoryで品目間の代替関係を定義し、必要な場合は代替チェーン、代替方向および有効性を設定し、必要な場合は代替関係ごとに顧客および顧客サイトを設定します。
供給の生成を制御するための品目属性を設定します。
代替のウィンドウを設定するための品目属性を設定します。
データを収集します。
計画を実行して代替決定を分析します。
ワークフロー手順に従って実行を可能にします。
必要な場合は、ATP問合せを開始し、代替ロジックに基づいて納期を見積もります。
この項では、品目レベルで代替ルールまたは代替関係を定義するために必要な操作について説明します。通常は、次の情報を定義する必要があります。
代替元品目と代替先品目
代替が有効な方向
代替の有効日(オプション)
各代替関係の「一部の受注履行」フラグ(オプション)
代替のシミュレーションを可能にする代替セット(オプション)
代替関係の顧客および顧客サイト(オプション)
代替ルールまたは代替関係は、Oracle Inventoryの「品目関連」フォームで品目関連を介して定義できます。このフォームを使用すると、前述の特性をすべて定義できます。代替チェーン内の連鎖と最上位レベル品目を推測できます。
A > B(単方向)または A <> B(相互)など、単方向および双方向(相互)の関係を作成できます。ただし、A > B(単方向)の作成後は、B > A(単方向)を作成できません。A <> B(相互)は、単方向の関係A > B、B > C(品目Cはダミー品目)およびC > Aを順番に作成することでシミュレートできます。
最終品目レベル代替ルールを定義すると、その品目が有効化されている全組織に適用できます。
これらの代替ルールは、ターゲット収集モードと完全リフレッシュ・モードでは収集されますが、ネット・チェンジ・モードでは収集されません。
品目関連は営業単位レベルで定義されますが、計画エンジンでは計画内の全組織にグローバル・レベルで適用されます。
ナビゲータから、「在庫」->「品目」->「品目関連」を選択します。
「品目関連の検索」ウィンドウが表示されます。
定義済の品目を選択するか、または品目を検索します。
「品目関連」ウィンドウが表示されます。

このウィンドウを使用して、2つの品目間の代替関係を作成し、その関係が相互関係かどうかを指定できます。このウィンドウでは、代替関係について複数の有効日を入力することはできないことに注意してください。この入力は「計画詳細」ウィンドウで行います。
代替関係の詳細をさらに定義するには、品目行を選択して「計画詳細」ボタンを選択します。
「計画詳細 - 代替」ウィンドウが表示されます。

次の表に従って、この画面の各フィールドに情報を入力します。
| フィールド | 説明 | 
|---|---|
| 代替セット | 代替関連の出荷に使用する代替セットを1つ以上指定できます。代替セットを計画用のオプションとして選択すると、指定した計画に有効な代替関係セットを使用できます。これにより、可能な代替のシミュレーションを実行し、将来の代替候補を指定してパフォーマンス・インディケータを評価できます。詳細は、「可能な代替のシミュレーション」を参照してください。 | 
| 一部履行 | このチェック・ボックスを選択すると、受注全体を両方の品目からの供給で充足できます。このチェック・ボックスを選択しない場合、Oracle APSでは受注全体を両方の品目ではなく一方または他方の品目からの供給で充足する必要があります。 | 
| 有効日 | 代替関係を1つ以上の日付範囲内で有効にすることができます。このウィンドウで日付範囲を指定すると、「品目関連」ウィンドウで指定した有効日は無視されます。Oracle APSでは、有効日の異なる代替関係が考慮され、有効な日付範囲内でのみ代替されます。 | 
| 全顧客 | このチェック・ボックスを選択すると、すべての代替セットまたは有効日の範囲がすべての顧客に適用可能になります。顧客固有にする必要がある場合は、このチェック・ボックスの選択を解除して「顧客」フィールドにナビゲートし、顧客を1件以上入力できます。 | 
| 顧客 | ここで顧客と顧客サイトを定義すると、顧客サイト固有の代替ルールを設定できます。これにより、顧客が特定の代替関係を受け入れるか拒否するたびに顧客固有の代替を保守できます。同じ代替関係に複数の顧客を関連付けることができることに注意してください。 同じ品目セットについて、顧客固有の代替関係と顧客固有でない代替関係の両方の入力が必要になる場合があります。その場合は、「品目関連」ウィンドウでレコードを1つ入力し、「計画詳細」ウィンドウで最初の行に第1ルールの有効日を入力し、「全顧客」の選択を解除して、「顧客参照」セクションに顧客固有の関連を複数入力します。次に、「計画詳細」ウィンドウに汎用ルールの有効日を入力し、「全顧客」は選択したままにしておきます。レコードの1つを全顧客に適用でき、他のレコードは顧客固有のレコードとなります。 注意: いずれかの品目について顧客固有の代替ルールを入力した場合、その顧客には汎用ルールが適用されないため、その顧客に適用可能な関係をすべて明示的に指定する必要があります。  | 
| 所在地 | 顧客事業所の所在地を選択します。 | 
| タイプ | 事業所のタイプを示す表示専用フィールドです(現在は「出荷先」が表示されるのみです)。 | 
| 自および至 | 代替の有効日を顧客レベルで指定できます。代替関係の有効日を顧客レベルで指定すると、「計画詳細」ウィンドウと「品目関連」ウィンドウで指定した有効日が無視されます。 | 
次の情報に従って各種の代替シナリオを設定します。
次の表に従って「品目関連」ウィンドウで情報を入力または選択します。
| 品目:自 | 品目:至 | 関連タイプ | 相互 | 
|---|---|---|---|
| A | B | 代替 | <選択解除> | 
次の表に従って「計画詳細」ウィンドウで情報を入力または選択します。
| 代替セット | 一部履行 | 日付:自 | 日付:至 | 全顧客 | 
|---|---|---|---|---|
| <NULL> | <選択解除> | 日付1 | 日付50 | <選択> | 
| <NULL> | <選択解除> | 日付65 | 日付80 | <選択> | 
| <NULL> | <選択解除> | 日付101 | <NULL> | <選択> | 
次の表に従って「品目関連」ウィンドウで情報を入力または選択します。
| 品目:自 | 品目:至 | 関連タイプ | 相互 | 
|---|---|---|---|
| A | B | 代替 | <選択解除> | 
品目関連A --> Bについて、次の表に従って「計画詳細」ウィンドウで情報を入力または選択します。
| 代替セット | 一部履行 | 日付:自 | 日付:至 | 全顧客 | 
|---|---|---|---|---|
| <NULL>(デフォルト) | <選択解除> | <NULL> | <NULL> | <選択> | 
| SSET1 | <選択解除> | <NULL> | <NULL> | <選択> | 
| SSET2 | <選択解除> | <NULL> | <NULL> | <選択> | 
このウィンドウで定義した代替セットを計画オプションとして使用し、計画を実行できます。
次の表に従って「品目関連」ウィンドウで情報を入力または選択します。
| 品目:自 | 品目:至 | 関連タイプ | 相互 | 
|---|---|---|---|
| A | B | 代替 | <選択解除> | 
次の表に従って、「計画詳細」ウィンドウの「計画詳細」セクションで情報を入力または選択します。
| 代替セット | 一部履行 | 日付:自 | 日付:至 | 全顧客 | 
|---|---|---|---|---|
| <NULL> | <選択> | <NULL> | <NULL> | <選択解除> | 
| <NULL> | <選択> | <NULL> | <NULL> | <選択> | 
次の表に従って、「計画詳細」ウィンドウの「顧客参照」セクションの最初の行に値を入力します。
| 顧客 | 顧客サイト | 日付:自 | 日付:至 | 
|---|---|---|---|
| 顧客1 | サイト1 | <NULL> | <NULL> | 
| 顧客2 | サイト2 | <NULL> | <NULL> | 
顧客固有のルールを入力するには、「全顧客」の選択を解除する必要があることに注意してください。
次の表に従って「品目関連」ウィンドウで情報を入力または選択します。
| 品目:自 | 品目:至 | 関連タイプ | 相互 | 
|---|---|---|---|
| A | B | 代替 | <選択解除> | 
次の表に従って、「計画詳細」ウィンドウの「計画詳細」セクションで情報を入力または選択します。
| 代替セット | 一部履行 | 日付:自 | 日付:至 | 全顧客 | 
|---|---|---|---|---|
| <NULL> | <選択> | <NULL> | <NULL> | <選択解除> | 
次の表に従って、「計画詳細」ウィンドウの「顧客参照」セクションで情報を入力または選択します。
| 顧客 | 顧客サイト | 日付:自 | 日付:至 | 
|---|---|---|---|
| 顧客1 | サイト1 | 日付1 | 日付50 | 
| 顧客1 | サイト1 | 日付100 | <NULL> | 
ナビゲータから、「サプライ・チェーン計画」->「ワークベンチ」を選択します。
「サプライ・チェーン・プランナ・ワークベンチ」が表示されます。
ナビゲータで、「品目別表示」を選択します。
表示する品目を選択して右クリックします。
表示されるメニューから「品目」を選択します。
「品目」ウィンドウが表示されます。

品目を1つ選択します。
「代替」ボタンを選択します。複数選択ができないことに注意してください。複数の品目を選択すると、「代替」ボタンがグレー表示になります。
「代替チェーン」ウィンドウが表示されます。

次のリストに、このウィンドウの機能を示します。
「品目」ウィンドウで選択した品目がハイライト表示されます。
各品目間の矢印の色は、その関係が前工程であるか、パラレルであるか、または後工程であるかを示します。
品目および代替チェーンとともに、代替関係の方向とタイプ(単方向または双方向)を確認できます。
ウィンドウ内の各ノードは1つの品目を指し、展開機能が用意されています。
品目をダブルクリックすると、既存の展開関係が表示されます。
チェーンを上位へと展開すると、問題の品目の代替として上位レベル品目を使用できます。
チェーンを下位へと展開すると、問題の品目を下位レベル品目の代替として使用できます。
ツリーを横方向へ展開すると、問題の品目およびパラレル品目を相互に代替できます。
双方向の代替品目であるノードをダブルクリックすると、ツリー自体がリフレッシュされ、同時に複数のツリーが表示されるのではなくダブルクリックしたノードが最上位に表示されます。
最上位レベル品目とは、すべての矢印が指している品目です。
通常、最上位レベル品目は、最も多くの機能を備えた品目で、特定の産業では積極的に生産中の品目です。
品目を選択して右クリックすると、2つのメニュー・オプション「プロパティ」および「水平プラン」が表示されます。「プロパティ」を選択すると「代替プロパティ」ウィンドウが表示され、「水平プラン」を選択すると「水平プラン」が表示されます。

このウィンドウには3つのタブ「前工程」、「後工程」および「パラレル」があります。各タブには、代替関係のプロパティと、次のように他の可能な代替が表示されます。前工程、後工程またはパラレルの代替がない場合は、該当するタブが無効化されます。このウィンドウのオープン時には、デフォルトで「前工程」タブが有効化されています。
「代替プロパティ」ウィンドウには、次の情報が表示されます。
代替元品目と代替先品目
予想代替: 品目関連が予想であるか、直接指定されているか
代替チェーンの最上位レベル品目
関係の有効日
関係の失効日
代替を受け入れる顧客および顧客サイト
代替セット(指定されている場合)
一部履行が可能かどうか
この項では、代替ロジックの機能について説明します。内容は次のとおりです。
サプライ・チェーンの検索
連鎖
需要品目または代替品目は、サプライ・チェーン内の同じ組織または異なる組織で使用できます。サプライ・チェーン全体での供給(要求品目と代替品目の両方)の有効数量を使用し、品目を製造または購入するためのオーダーを処理する前に在庫を効率的に使い切ることができます。需要品目または代替品目を検索するために、計画エンジンは同じ組織内で需要品目および代替品目を検索してから、他の組織内で検索し、対象品目を見つけます。
次の図に、この検索方法を示します。

この方法では、使い切ることに重点が置かれています。当初品目と代替の有効数量データに従って検索が進みます。検索の重点は、需要品目または代替品目からの供給を探して、要求品目に対する供給を作成する前にできるかぎり効率的に使い切ることにあります。つまり、Oracle APSでは、1つの組織内で需要品目と代替の手持数量と計画受入が検索されてから、次の組織に進んで同じ検索が繰り返されます。
プロファイル・オプション「MSC: 代替関係で供給を作成する品目の選択」が「品目属性の追跡」に設定されている場合、計画エンジンでは需要品目の生産能力が考慮されます。「供給の作成」フラグが「Yes」に設定されていて、使用可能生産能力があるかぎり、チェーン内ですべての品目の計画オーダーを作成できます。「供給の作成」フラグが「Yes」に設定されていても、代替チェーン内の次の品目が使用されるとはかぎりません。
ここで重要なポイントは、複数レベルのソースが関係する場合の検索方向です。次のダイアグラムでは、アトランタ施設はダラスとマイアミから調達し、ダラスはダラス-1から調達し、マイアミはマイアミ-1から調達しています。
代替のサプライ・チェーン

このサプライ・チェーンの全組織に品目Aと代替品目A1があり、アトランタで需要が発生した場合、検索順序は次のようになります。
アトランタで、品目Aと代替A1の手持在庫と計画受入が検索されます。
ダラスで、品目Aと代替A1の手持在庫と計画受入が検索されます。
マイアミで、品目Aと代替A1の手持在庫と計画受入が検索されます。
ダラス-1で、品目Aと代替A1の手持在庫と計画受入が検索されます。
マイアミ-1で、品目Aと代替A1の手持在庫と計画受入が検索されます。
組織間の検索は、ソース・ルール、物流構成表および各ソースに対応するランクに厳密に従って行われます。検索プロセスをまとめると、Oracle APSでは範囲優先検索により、需要品目(要求品目)とその可能な代替すべてが単一施設内で検索されてから、他の施設で需要品目(要求品目)と代替が検索されます。このダイアグラムでは、検索順序は次のようになります。
アトランタ、ダラス、マイアミ、ダラス-1、マイアミ-1
範囲優先検索方法が制約付き計画に使用されることに注意する必要があります。最適化済計画では、検索には原価(品目原価、需要を遅延充足するためのペナルティ原価、輸送費など)のみが使用されます。最適化済計画では、計画全体の目的と前述の原価に基づいて転送と代替が提示されます。
Oracle APSでは、最適化済計画におけるソーシング分割の施行がサポートされています。つまり、分割の費用効果が高くない場合にも、システムをソース・ルールまたは物流構成表で指定したソーシング分割に(様々なソースに供給を割り付ける際に)従わせることができます。
使い切りを意図してサプライ・チェーン全体で需要品目または代替品目について見つかった供給が、ソーシング分割の施行のロジックに違反する場合があります。使い切り機能が必要な場合、少なくとも供給を効率的に使い切ると予想されるソースについては、ソーシング分割は施行されません。ソーシング分割の施行は、ソース・ルールまたは物流構成表レベルで有効化されます。したがって、ソーシング分割を必要なソースにのみ適用し、必要でないソースには適用しないことは容易です。
ソーシング分割の施行が代替の使い切りルールと矛盾する場合があります。たとえば、次の表に組織1と組織2のソーシング分割と供給を示します。
| 組織 | ソーシング分割 | 供給 | 
|---|---|---|
| 組織1 | 50% | 100単位の品目A | 
| 組織2 | 50% | 0単位の品目A | 
品目Aの需要が100単位であれば、ソーシング分割に従って品目Aのうち50単位を組織1から、残り50単位を組織2から調達する必要があります。ただし、組織2には品目Aの供給がないため、この調達はできません。代替プロセスでは、使い切りによりソーシング分割の施行が上書きされ、100単位の品目Aの需要を充足するために組織1の100単位がすべて使用されます。
代替に複数の品目が関係する場合は、有効な代替チェーンを設定できます。
品目Aを品目Bで代替でき、品目Bを品目Cで代替できる場合、品目Aを品目Cで代替できるものと推測できます。
より大きい代替チェーンで品目間の代替関係を設定して保守します。たとえば、最大80品目の場合、この作業は煩雑で長時間かかります。したがって、前述の例では最初の2つの関係からA --> Cが推測されるように、特定の代替を推測する必要があります。
このような関係が設定されていて、品目Aが要求された場合は、A、BまたはCからの供給で充足できます。品目Bが要求された場合は、BまたはCで充足できます。Cが要求された場合、充足に使用できるのはCの供給のみです。
「代替関係の定義」で示したように有効性を追加すると、すべての関係の有効日またはすべての日付の交差に基づいて代替の推測が有効になります。次の表は、品目AおよびBの間の代替ルールが日付2から日付10まで有効であることを示しています。品目BおよびCの間の第2の代替ルールは、日付6から日付22まで有効です。したがって、品目AおよびCの間に推測される代替ルールは、日付6から日付10まで有効です。
| 品目:自 | 品目:至 | 日付:自 | 日付:至 | 推測 | 
|---|---|---|---|---|
| A | B | 日付2 | 日付10 | No | 
| B | C | 日付6 | 日付22 | No | 
| A | C | 日付6 | 日付10 | Yes | 
この項では、Oracle ASCPで使用可能な代替機能について説明します。説明する機能は、次のとおりです。
相互 - 単方向代替と双方向代替
計画オーダー生成の作業環境
代替ウィンドウ
一部の受注履行
有効性(期間別)
顧客固有の代替ルール
可能な代替のシミュレート
需要の転送による供給代替
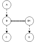
前述の例のように、Aの需要はBの供給で充足できますが、Bの需要をAの供給で充足することはできません。これを単方向代替と呼びます。Bの需要をAの供給で充足できる場合もあります。これを双方向代替と呼びます。
次のダイアグラムでは、品目X、YおよびZは単方向関係にあり、品目YおよびYYは双方向関係にあります。品目Yには2つの関係があるため、Oracle APSでは品目Yの需要があると品目Zまたは品目YYからの供給が割り付けられます。
図のタイトル

代替品目グループの場合、代替品目に対する供給の作成方法には大きなばらつきがあり、業種によって異なります。
フィールド・サービス修理/交換ビジネス
このビジネスでは、当初品目の供給または代替供給を見つけて定義済の物流チャネル全体で品目を配分することに大きな重点が置かれています。品目の需要は、代替チェーン内のいずれか1つの品目に対して発生する場合があります。物流ネットワーク上で供給が見つからなければ、必要な品目を購入できますが、古い品目は製造業者が製造を中止したために購入できません。このような場合は、現行品目を購入する必要が生じます。言い換えれば、代替チェーン内の最上位レベル品目についてのみ供給を作成することになります。
この例では、代替チェーンに4つの品目A1、A2、A3およびA4があるとします。このプール内で最上位の改訂はA4(最上位レベル品目)です。この4つの品目のいずれかに需要が発生するとします。A2の需要が発生した場合は、連鎖と方向をA1 --> A2 --> A3 --> A4を想定してA2、A3およびA4の供給の可用性を評価することになります。需要品目に対する供給が見つからない場合は、最上位レベル品目A4に対する供給を生成できます。
そのためには、プロファイル・オプション「MSC: 代替関係で供給を作成する品目の選択」を「最上位レベル品目」に設定します。
半導体ビジネス
半導体ビジネスの場合、代替品目は通常は連産品です。このシナリオでも、代替関係にある品目のいずれか1つについて需要が発生する可能性があります。前述のシナリオとは異なり、この場合は顧客から要求された品目を製造できます。製品が連産品になる場合は、連産品関連にある残りの品目について連産品供給の作成が必要になる可能性があります。
連産品の一部である1品目のみを製造することはできないため、Oracle APSでは特定のオーダーについて連産品をすべて製造するための生産能力が計画されます。
この例では、代替チェーンに4つの品目A1、A2、A3およびA4があるとします。このプール内で最上位の改訂もA4(最上位レベル品目)です。A2の需要が発生した場合は、連鎖と方向をA1 --> A2 --> A3 --> A4を想定してA2、A3およびA4の供給の可用性を評価することになります。供給が見つからない場合は、需要品目A2に対する供給を生成できます。
品目A1、A2、A3およびA4が連産品関連にある場合、Oracle ASCPでは品目A1、A3およびA4に対する連産品供給が生成されます。
前述の2つの供給生成モード(現行品目の購入が強制され、連産品供給の作成が必要)に加えて、新規の計画供給を作成するかどうかを管理する品目属性の設定という一般要件があります。これは、計画して販売する可能性はあるが、これ以上は品目を製造しない既存の供給がある場合に役立ちます。
これらの要件はすべて、プロファイル・オプションと品目属性の組合せで対処されます。プロファイル・オプション「MSC: 代替関係で供給を作成する品目の選択」を使用して、次のいずれかの供給生成方法を選択できます。
需要品目
最上位レベル品目
品目属性の追跡
このプロファイル・オプションを「品目属性の追跡」に設定すると、Oracle ASCPでは品目-組織レベルで設定した「供給の作成」品目属性が追跡されます。
プロファイル・オプションの詳細は、「プロファイル・オプション」を参照してください。
プロファイル・オプションと品目属性の組合せを使用する場合、矛盾する値を設定できます。
この例では、3つの品目A、BおよびCがあるとします。品目Cは代替チェーンの最上位レベル品目です。この例では、品目属性とプロファイル・オプションで矛盾する値を設定すると、予期しない結果になることを示します。
プロファイル・オプション「代替関係で供給を作成する品目の選択」は、次の値に設定できます。
需要品目
最上位レベル品目
品目属性の追跡
各品目の品目属性「供給の作成」は、「Yes」または「No」に設定できます。
「需要品目」または「最上位レベル品目」を選択すると、Oracle APSでは品目属性が無視されます。
このプロファイル・オプションを「品目属性の追跡」に設定した場合に予想される結果については、後述の表を参照してください。
計画オプション「需要納期の施行」を使用した計画の実行は、需要を納期どおりに充足する必要があることを意味します。ただし、プロファイル・オプション「代替関係で供給を作成する品目の選択」を「品目属性の追跡」に設定し、代替チェーン内の全代替品目の品目属性「供給の作成」を「No」に設定すると、供給は作成されず、「需要納期の施行」違反になります。
A --> B --> Cという代替チェーンがある場合に、プロファイル・オプション「代替関係で供給を作成する品目の選択」を「最上位レベル品目」に設定している場合、Oracle APSでは品目Cに対する供給が作成される必要があります。ただし、供給を作成しようとする組織内で品目Cが有効化されている必要があります。その組織で品目Cが有効化されていなければ、Oracle APSでは品目B(代替チェーン内の次の最上位レベル品目)に対する供給が作成され、品目Cに対する供給は作成されません。
代替はビジネス・プロセスの一部になっていますが、需要に対し、過度に先行して代替を行うことは適切でない場合があります。たとえば、需要に先行して4週間先までの代替供給があるとしても、次の3週間で需要品目に対する供給を生産する機会が十分あるとすれば、その代替を使用しようとは考えません。
代替ウィンドウを使用すると、代替へのタイム・フレームを制限できます。品目の代替ウィンドウは、Oracle Inventoryの品目属性フォームを使用して定義できます。代替ウィンドウは、各需要から見て順方向で有効になります。需要に先立つすべての代替供給は代替にとって適確です。代替ウィンドウは代替にのみ適用可能であり、同じ品目から需要と供給を算入する場合、代替ウィンドウは適用されません。
次の表に示す期間別供給データでは、品目Aで品目Bが代替されます。タイムバケット1に品目Bについて30単位の需要があるとします。代替を即時に発生させる必要がある場合は、Bの需要にAの供給を使用して納期どおりに充足できます。複数のタイムバケットを待機できれば、期間3にBに対する供給があることがわかります。したがって、代替を回避できます。ここでの前提は、品目Aの需要があることと、Aの需要に対してAを出荷して利益の逸失を回避できることです。
| 品目 | タイムバケット1 | タイムバケット2 | タイムバケット3 | タイムバケット4 | タイムバケット5 | タイムバケット6 | 
|---|---|---|---|---|---|---|
| 品目A | 25 | 2 | 3 | 4 | 5 | 6 | 
| 品目B | 5 | 0 | 25 | 0 | 0 | 25 | 
同時に、搬送実績を考慮すると代替を即時に使用する必要があるため、期間3にある25単位の供給を使用できない場合、期間6で品目Bの供給を選択するまで待機することはできません。
代替ウィンドウには、指定の期間内の固有の需要と供給をすべて評価し、各品目からの超過供給のみを可能な代替供給として考慮するという側面もあります。
引き続き前述の例を使用して、期間1に品目Aに20単位の需要もあるとします。この場合、品目Bの需要充足に品目Aの供給を使用しないとします。固有の需要を充足してから代替を適用するまでに、超過を見つける必要があります。したがって、品目Bの需要を満たすには、期間1の品目Bの供給5単位、期間1の品目Aの供給のうち5単位、期間3の品目Bの供給のうち20単位を使用するしかありません。
固有の需要を充足することは、制約付き計画での優先度付き需要に違反する場合があります。次の表に、品目Bの需要を品目Aの供給で充足できる場合の需要/供給データを示します。どちらの品目の代替ウィンドウも3日です。
| 品目 | タイムバケット1 | タイムバケット2 | タイムバケット3 | タイムバケット4 | タイムバケット5 | タイムバケット6 | 
|---|---|---|---|---|---|---|
| 品目A(需要) | 20(優先度10) | 10(優先度20) | 0 | 0 | 0 | 0 | 
| 品目A(供給) | 0 | 20 | 5 | 0 | 0 | 0 | 
| 品目B(需要) | 50(優先度1) | 0 | 0 | 0 | 0 | 0 | 
| 品目B(供給) | 5 | 10 | 0 | 0 | 0 | 25 | 
制約付き計画のロジックでは、各需要を関連する需要優先度に基づいて充足しようとします。前述のシナリオでは、固有需要の充足と需要優先度の遵守が競合します。優先度に従えば、品目Bの供給をすべて消し込み、品目Aからの10単位で代替して品目Bの需要を充足することになります。これは、品目Aの製造または購入が必要になるため、品目Aの需要を納期どおりに充足できないことを意味します。
ビジネス・シナリオで代替ウィンドウ内の固有需要の充足を優先する必要がある場合は、システム・レベルのプロファイル・オプションをそのように設定できます。固有需要の充足を優先するようにプロファイル・オプションを設定した場合、前述の例の品目Bは品目Aからの供給で代替できません。固有需要は、システム・レベルのプロファイル・オプションを設定することで充足できます。詳細は、「プロファイル・オプション」を参照してください。
最終品目代替は最適化済計画での原価のみに基づくため、最適化済計画には代替ウィンドウを適用できません。
「需要納期の施行」計画(制約付きおよび最適化済の両方)では、代替ウィンドウは考慮されません。
代替ウィンドウは最大許容遅延日数で上書きされます。需要には代替が割当てられるのではなく、未対応になるか計画水平に移動します。
一部の受注履行。このタイプの代替の場合は、需要を1タイプの品目のみで充足する必要があります。たとえば、品目Aと品目A1が代替品目の場合、100単位の品目Aの需要を50単位の品目Aと50単位の品目A1で充足することはできません。100単位の品目Aまたは100単位の品目A1を供給する必要があります。
この機能は、「計画詳細」ウィンドウで使用可能です。
Oracle Inventoryで「計画詳細」フォームを使用して代替関係の「一部の受注履行」属性を指定できます(このフォームには、「品目関連」フォームからアクセス可能です)。
この例では、品目AおよびA1は代替品目です。次の表に示す需要/供給データに基づいて、品目A1からの供給を割り付けることで需要を代替して充足します。品目A単独では需要を充足できず、需要全体を品目AまたはA1で充足する必要があるため、このように施行されます。
| レコード・タイプ | 日付2 | 日付15 | 日付18 | 
|---|---|---|---|
| Aの需要 | 0 | 50 | 0 | 
| Aの供給 | 0 | 40 | 0 | 
| A1の供給 | 0 | 0 | 60 | 
A1に対する供給が不十分で需要を充足できない場合は、品目Aの既存供給40単位と品目Aの新規供給10単位を使用して需要を充足できます。
代替の有効期間を確認するのが一般的です。通常、これは在庫の使い切り、期間別の製品制限および設計変更などの制限をモデル化するために使用されます。代替の定義とともに有効開始日と有効終了日を指定できます。
代替の有効日は「計画詳細」フォームで指定できます。
代替の有効日が需要納期(提示納期)と比較検証されて、有効な代替が導出されます。次の代替表を考えてみます。
| 品目:自 | 品目:至 | 顧客 | 出荷先所在地 | 日付:自 | 日付:至 | 
|---|---|---|---|---|---|
| X1 | X2 | 会社A | 75 Hill Street | 2002年3月1日 | 2002年9月30日 | 
| X1 | X3 | 会社B | 219 Revere Blvd. | 2002年4月1日 | 2002年10月30日 | 
| X2 | X3 | 会社B | 219 Revere Blvd. | 2002年6月1日 | <NULL> | 
2002年4月1日に会社A/75 Hill Streetに品目X1の需要がある場合は、品目X2で代替できます。需要が2002年9月30日より後になると、X1とX2の間の代替はできなくなります。同様に、2002年6月1日に会社B/219 Revere Blvd.に品目X1の需要がある場合は、品目X3で代替できます。2002年6月1日より後に品目X2の需要がある場合は、品目X3で代替できます。
制約付き計画を実行すると、需要充足日が提示納期と異なる場合があることに注意してください。代替の検証は、需要充足日ではなく提示納期を有効日と比較することで導出されます。
品目を発注する顧客サイトに応じて代替ルールを変更できます。通常、顧客は品目の製造プラントを認定します。通常の設定では、同一品目の場合でも、品目の原産国に基づいて異なる品目番号を発行します。品目の原産国を表すために発行される品目番号は、顧客固有の代替を指定するための基礎となります。
単一顧客に固有または全顧客向けの代替を設定できます。
3件の顧客A、BおよびCがあるとします。いずれも能力(IC200、IC300およびIC400)の異なる集積回路を購入します。顧客から適用される制限は、次のとおりです。
顧客Aは、IC200とIC300を受入可能ですが、IC400は受入不可です。
顧客Bは、IC200とIC400を受入可能ですが、IC300は受入不可です。
顧客Cは、3つの品目をすべて受入可能です。
前述の代替を次のように設定できます。
| 自 | 至 | 顧客 | 所在地 | 
|---|---|---|---|
| IC200 | IC400 | 顧客B | 所在地B | 
| IC200 | IC300 | 顧客C | 所在地C | 
| IC200 | IC400 | 顧客C | 所在地C | 
| IC200 | IC300 | 顧客A | 所在地A | 
Oracle Inventoryでは、顧客および顧客出荷先所在地固有の代替を指定できます。
顧客および顧客サイトを使用した代替定義と使用しない代替定義
同じ品目セットに対して顧客固有の代替関係と汎用代替関係が存在する可能性があります。ただし、顧客固有のルールを記録すると、その顧客には汎用ルールが適用されなくなります。顧客が受け入れる代替ごとに品目関連を定義する必要があります。
前述の説明をふまえた上で、意図した動作を明確化する例を示します。
| 品目:自 | 品目:至 | 全顧客 | 顧客 | 所在地 | 
|---|---|---|---|---|
| X1 | X2 | Y | <空白> | <空白> | 
| X2 | X3 | Y | <空白> | <空白> | 
| X1 | X3 | Y | <空白> | <空白> | 
| X1 | X4 | Y | <空白> | <空白> | 
| X1 | X2 | N | 会社1 | 会社1の所在地 | 
| X1 | X3 | N | 会社2 | 会社2の所在地 | 
| X2 | X3 | N | 会社2 | 会社2の所在地 | 
| X1 | DUMMY | N | 会社3 | 会社3の所在地 | 
この表の最初の4行は、汎用代替関係を示しています。つまり、X1でX2を代替できます。次の4行は会社固有の代替です。会社1はX2についてX1以外の代替を受け入れません。会社2は、X3についてはX1、X3についてはX2以外の代替を受け入れません。汎用代替関係が存在していても、顧客固有のルールにより、その顧客に関する他のルールがすべて上書きされます。
この表の最終行は、代替をまったく受け入れない顧客を示しています。この顧客の場合は、その顧客についてはシステムで品目の代替を考慮させないように、ダミー品目を作成する必要があります。
他のすべての顧客は、代替表の最初の4行ですべての汎用ルールを受け入れます。
顧客に関連付けられている代替ルールが見つかった場合、その顧客に対して有効な代替のみが顧客固有のルールです。
この例では、例8の定義の最上位に有効日が追加されます。
| 品目:自 | 品目:至 | 顧客 | 顧客所在地 | 日付:自 | 日付:至 | 
|---|---|---|---|---|---|
| X1 | X2 | <空白> | <空白> | <NULL> | <NULL> | 
| X2 | X3 | <空白> | <空白> | <NULL> | <NULL> | 
| X1 | X3 | <空白> | <空白> | <NULL> | <NULL> | 
| X1 | X4 | <空白> | <空白> | <NULL> | <NULL> | 
| X1 | X2 | 会社1 | 会社1の所在地 | 2002年3月1日 | <空白> | 
| X1 | X3 | 会社2 | 会社2の所在地 | 2002年4月1日 | 2003年4月1日 | 
| X2 | X3 | 会社2 | 会社2の所在地 | 2002年6月1日 | <空白> | 
| X1 | DUMMY | 会社3 | 会社3の所在地 | <NULL> | <NULL> | 
前述の代替表で、会社1は2002年3月1日までは代替をまったく受け入れません。会社2は2002年4月1日までは代替をまったく受け入れず、2002年4月1日から2003年4月1日まではX3のかわりにX1を受け入れ、2002年6月1日からはX3のかわりにX2を受け入れます。会社3は、前述のように代替をまったく受け入れません。
代替定義セットを指定して計画を実行すると、近い将来に他の代替定義も可能になることが判明する場合があります。可能な代替を使用して計画を実行し、搬送実績や他のキー・パフォーマンス・インディケータを評価する必要があります。
Oracle Inventoryで各代替定義に代替セットを関連付けることができます。代替セットは、代替セットを作成するために設定できる英数字フィールドの値です。代替セットはグローバル・エンティティであり、様々なインスタンス間で同じ代替セットを設定できることを意味します。次の表に、代替定義の例を示します。この表の「自」および「至」列は「品目関連」ウィンドウで定義します。残りの列は「計画詳細」ウィンドウで定義します。
| 自 | 至 | 代替セット | 顧客 | 
|---|---|---|---|
| X1 | X2 | <NULL> | 会社X | 
| X1 | X2 | <NULL> | 会社Y | 
| X1 | X3 | SIM1 | 会社X | 
| X1 | X4 | SIM2 | 会社X | 
| X1 | X3 | SIM1 | 会社Y | 
| X1 | X5 | SIM2 | 会社Y | 
代替セットを使用せずに計画を実行すると、会社Xと会社Yの両方について品目X1で品目X2を代替できます。品目X1で品目X3を代替した結果を評価する場合は、計画オプションで代替セットSIM1を選択して計画を実行できます。同様に、代替セットSIM2を選択して計画を実行すると、会社Xについて品目X1で品目X4を代替できるかどうかと、会社Yについて品目X1で品目X5を代替できるかどうかを評価できます。
前述のように、計画に使用する代替セットは計画オプション・レベルで選択できます。Oracle APSでは、代替セットに関連付けられている代替定義が計画に使用されます。他の可能な代替を使用してシミュレートする必要がある場合は、計画に別の代替セットを関連付けて実行できます。代替セットを選択しなければ、Oracle Inventoryで代替セットが定義されていない代替関係のみが計画で考慮されます。
注意: 代替セットを使用するには、オンライン計画ではなくバッチ計画を実行する必要があります。
需要品目と供給品目は異なるため、需要に対して識別された代替供給がある場合にペギングと需要/供給詳細を表示する機能が重要になります。
データを最も明確に表示できる方法の1つは、すべての代替について当初品目から代替品目に需要を転送する場合です。
次の表に、品目AおよびBの需要と供給を示します。この例では、30単位の品目Bの需要を充足するために、25単位の品目Aと5単位の品目Bの供給を使用できます。
| レコード・タイプ | 品目 | 日付1 | 
|---|---|---|
| 需要 | A | 0 | 
| 需要 | B | 30 | 
| 供給 | A | 25 | 
| 供給 | B | 5 | 
品目Bと品目Aの間に代替が関係するため、Oracle APSでは代替を考慮するために品目Bから品目Aに25単位の需要が転送されます。品目Bで代替できる品目が複数存在する場合は、その種の全品目の需要が表示されます。つまり、代替が関係する場合、当初需要は可能な複数の需要に分割されます。
顧客固有の代替、一部の受注履行、期間別の例
この例では、3件の顧客を使用します。これらの顧客はいずれも、単一出荷では当初品目と代替品目の混在を受け入れません(つまり、受注の一部履行は許可されません)。したがって、後述の受入ルールに基づいて、出荷全体を当初品目または許可される代替品目の1つで構成する必要があります。代替方向は、常に上位レベルから下位レベルへです。つまり、品目A1からの供給を使用して品目Aの需要を充足できます。
次の例では、次のプロファイル・オプションと品目関連ルールが設定されているとします。
プロファイル・オプション
品目関連ルール
一部履行 = No
相互関係 = No
会社Sの例
日付6まではAをA1で代替するための顧客固有の品目関連が定義されています。品目属性「代替ウィンドウ」は4日です。
次の表に示すように、日付1の製品Aの需要は、製品Aの日付4の手持在庫(数量=5)、供給(数量=10)および5単位の新規計画オーダーで充足できます。代替品目A1からの供給はオーダー全体を構成するには不十分で、日付6の供給は4日の代替ウィンドウがあるため範囲外です。品目A1の代替は6日後に有効ではないため、日付7の需要は製品Aの日付8の10単位の供給と40単位の計画供給で充足できます。代替供給は受注需要を充足するには不十分だったため、代替は発生していません。
| レコード・ タイプ  | 品目 | 日付0 | 日付1 | 日付2 | 日付3 | 日付4 | 日付5 | 日付6 | 日付7 | 日付8 | 日付9 | 
|---|---|---|---|---|---|---|---|---|---|---|---|
| 需要 | A | 0 | 20 | 0 | 0 | 0 | 0 | 0 | 50 | 0 | 0 | 
| 供給 | A | 5(手持) | 0 | 0 | 0 | 10 | 0 | 0 | 0 | 10 | 0 | 
| 供給 | A1 | 0 | 2 | 0 | 10 | 0 | 0 | 8 | 50 | 0 | 0 | 
会社Rの例
CをDで、AをBで代替するために、日付6まで有効な顧客固有の品目関連が定義されています。品目属性「代替ウィンドウ」は1日です。
次の表に示すように、品目Aの日付1の需要(数量=20)は、一部の受注履行が許可されていないため、代替では充足できません。品目Bの在庫(数量=15)はこの需要を充足するには不十分で、日付3の5単位の供給は代替ウィンドウ1日の範囲外です。したがって、この需要は5単位の手持在庫、日付8からの10単位の供給および5単位の計画供給で充足されます。
日付6にある30単位の品目Aの需要は、代替で充足できます。つまり、15単位の手持在庫、日付3からの5単位の供給および日付6からの50単位のうち10単位が使用されます。
日付2にある品目Cの数量=10の需要は、8単位の手持在庫と日付2に計画されている品目Dの2単位の供給で充足できます。日付7にある品目Cの60単位の需要は、品目Dに対する日付7の60単位の既存の計画供給で充足できます。代替ウィンドウは1日のため、供給が需要と同じ日に使用可能になる必要があることに注意してください。先日付の計画受入は使用されません。
| レコード・ タイプ  | 品目 | 日付0 | 日付1 | 日付2 | 日付3 | 日付4 | 日付5 | 日付6 | 日付7 | 日付8 | 日付9 | 
|---|---|---|---|---|---|---|---|---|---|---|---|
| 需要 | A | 0 | 20 | 0 | 0 | 0 | 0 | 30 | 0 | 0 | 0 | 
| 供給 | A | 5(手持) | 0 | 0 | 0 | 0 | 0 | 0 | 0 | 10 | 0 | 
| 供給 | B | 15(手持) | 0 | 0 | 5 | 0 | 0 | 50 | 0 | 0 | 0 | 
| 需要 | C | 0 | 0 | 10 | 0 | 0 | 0 | 0 | 60 | 0 | 0 | 
| 供給 | C | 0 | 0 | 0 | 0 | 0 | 10 | 0 | 0 | 0 | 0 | 
| 供給 | D | 8(手持) | 0 | 2 | 0 | 0 | 0 | 0 | 60 | 0 | 0 | 
会社Qの例
今後5日間はAをBで代替し、今後10日間はCをDで代替するために、顧客固有の品目関連が定義されているとします。品目属性「代替ウィンドウ」は2日です。
次の表に示すように、日付1にある品目Aの20単位の需要は、品目Bの2つの計画供給(日付1および3に10単位)で代替することで完全に充足できます。日付7にある品目Aの需要は、代替ルールが日付6の後は無効なため、日付8にある10単位の供給と日付7にある40単位の新規計画供給を使用して充足できます。品目Cの需要は、代替ルールが日付10まで有効なため、両方の需要の代替で充足できます。
| レコード・ タイプ  | 品目 | 日付0 | 日付1 | 日付2 | 日付3 | 日付4 | 日付5 | 日付6 | 日付7 | 日付8 | 日付9 | 
|---|---|---|---|---|---|---|---|---|---|---|---|
| 需要 | A | 0 | 20 | 0 | 0 | 0 | 0 | 0 | 50 | 0 | 0 | 
| 供給 | A | 8(手持) | 0 | 2 | 0 | 0 | 0 | 0 | 0 | 10 | 0 | 
| 供給 | B | 0 | 10 | 0 | 10 | 0 | 0 | 0 | 50 | 0 | 0 | 
| 需要 | C | 0 | 0 | 10 | 0 | 0 | 0 | 0 | 60 | 0 | 0 | 
| 供給 | C | 0 | 0 | 0 | 0 | 0 | 0 | 0 | 0 | 0 | 0 | 
| 供給 | D | 0 | 0 | 10 | 0 | 0 | 0 | 0 | 60 | 0 | 0 | 
固有需要の充足、代替ウィンドウ、一部の受注履行の例
次の例では、A2の供給をA1の需要で代替できます。代替ウィンドウは2日です。
次の表に示すように、日付1には、A1とA2の両方の需要があります。固有需要の充足ルールがあるため、代替に使用できるのは固有需要の充足後の超過供給のみです。したがって、日付1には、A1の需要はA2の供給で充足されません。状況は日付2も同じで、A1の需要を充足するためのA2の超過供給がありません。日付1にあるA1の需要は、日付3にあるA1の供給とA1の3単位の計画供給で充足されます。これは、一部の受注履行ルールによるものです。
日付2にあるA1の需要は、3単位のA2(日付3からのA2の超過供給)と2単位のA2の計画供給で充足されます。一部の受注履行ルールが適用されるため、A2の計画供給が必要です。日付6にあるA2の供給は、代替ウィンドウがあるため未対応となります。
| レコード・ タイプ  | 品目 | 日付1 | 日付2 | 日付3 | 日付4 | 日付5 | 日付6 | 
|---|---|---|---|---|---|---|---|
| 需要 | A1 | 5 | 5 | ||||
| 需要 | A2 | 15 | 10 | 5 | 10 | 5 | |
| 供給 | A1 | 2 | |||||
| 供給 | A2 | 15 | 10 | 8 | 20 | 
サプライ・チェーンでの代替、代替ウィンドウ、使い切りの検索例
この例では、3つの施設1、2および3があるとします。施設間の転送時間は2日で、代替ウィンドウは2日です。次の表に、3つの品目A1、A2およびA3の需要および供給データを示します。A3は最下位レベルで、A1またはA2の供給を受け入れることができます。A2はA1の供給を受け入れることができますが、A1はどの代替も受け入れることができません。
検索ルールでは、最初に施設1、次に施設2、最後に施設3を検索します。
| レコード・ タイプ  | 品目 | 日付1 | 日付2 | 日付3 | 日付4 | 日付5 | 日付6 | 日付7 | 日付8 | 日付9 | 日付10 | 日付11 | 日付12 | 
|---|---|---|---|---|---|---|---|---|---|---|---|---|---|
| 需要 | A3 | 10 | 3 | ||||||||||
| 供給 | A2 | 3 | 
| レコード・ タイプ  | 品目 | 日付1 | 日付2 | 日付3 | 日付4 | 日付5 | 日付6 | 日付7 | 日付8 | 日付9 | 日付10 | 日付11 | 日付12 | 
|---|---|---|---|---|---|---|---|---|---|---|---|---|---|
| 需要 | A2 | 10 | |||||||||||
| 供給 | A1 | 2 | 5 | ||||||||||
| 供給 | A2 | 5 | 
| レコード・ タイプ  | 品目 | 日付1 | 日付2 | 日付3 | 日付4 | 日付5 | 日付6 | 日付7 | 日付8 | 日付9 | 日付10 | 日付11 | 日付12 | 
|---|---|---|---|---|---|---|---|---|---|---|---|---|---|
| 需要 | A1 | 10 | |||||||||||
| 供給 | A1 | 10 | 5 | ||||||||||
| 供給 | A3 | 3 | 3 | 
施設1で日付3にあるA3の需要は、施設2にあるA1の2単位の供給と5単位の供給、および施設3にあるA3の3単位の供給で充足されます。施設2は、ルールに基づいて検索される次の論理施設です。
施設2で日付3にある10単位のA2の需要は、施設3から10単位のA1を転送することで充足されます。つまり、期日どおりに転送して代替できるように、オーダーを日付1に再計画するように推奨されます。A1の5単位の供給は、代替ウィンドウの範囲外であることに注意してください。
日付6にある3単位のA3の需要は、施設3からA3の供給を転送することで充足できます。日付8にある10単位のA1の需要は、施設2から5単位のA1を転送し、施設3で使用可能な5単位の供給を使用することで充足できます。どちらの場合も、需要を期日どおり充足できるようにオーダーの再計画が推奨されます。
需要品目と代替品目の供給の関連付け
品目AおよびA1は代替品目です。品目Aの需要を充足するためにA1の供給を使用できます。これは、単方向の代替です。代替ウィンドウは5日に設定されています。
次の表に示すように、日付2の需要について考慮される供給が2つ(日付50にある60単位の品目Aの供給と日付2にある代替品目の供給)あります。作業環境は即時代替で、品目Aの60単位の需要を充足するために日付2に60単位の代替供給が適用されます。これは、日付50に供給を選択するという品目別計画による通常の計画ロジックに反しています。
A1の供給が日付15にある場合、代替供給は代替ウィンドウの範囲外のため選択できません。時間的な余裕がなく、需要品目と代替品目の両方が同じ日に使用可能な場合は、需要品目の供給(A1の供給)を選択します。
| レコード・タイプ | 品目 | 日付2 | 日付15 | 日付16から日付49まで | 日付50 | 
|---|---|---|---|---|---|
| 需要 | A | 60 | 0 | 0 | 0 | 
| 供給 | A | 0 | 0 | 0 | 60 | 
| 供給 | A1 | 60 | 0 | 0 | 0 | 
次のダイアグラムにサプライ・チェーンを示します。このダイアグラムでは、M1、S1、D2、M2、P1およびV1は組織です。V1は仕入先です。組織M1はS1およびD2からランク順に調達します。組織D2は3つの異なるソース(製造場所、移動元、購買元)から調達します。必要な検索順序はM1、S1、D2、M2、P1およびV1です。
図のタイトル

次の表に、このダイアグラム内の組織の供給と需要を示します。
この例では、2つの品目AおよびA1があります。代替ルールによりAにA1の供給を使用できます。品目AおよびA1は、どちらも全組織で有効化されています。組織M2、P1および仕入先V1には供給がないとします。
| レコード・タイプ | 品目 | 日付2 | 日付5 | 日付10 | 日付20 | 
|---|---|---|---|---|---|
| 需要 | A | 100 | 0 | 0 | 0 | 
| 供給 | A | 0 | 5 | 0 | 10 | 
| 供給 | A1 | 0 | 0 | 15 | 0 | 
| レコード・タイプ | 品目 | 日付2 | 日付5 | 日付10 | 日付20 | 
|---|---|---|---|---|---|
| 需要 | A | 0 | 0 | 0 | 0 | 
| 供給 | A | 20 | 0 | 0 | 0 | 
| 供給 | A1 | 10 | 0 | 0 | 0 | 
| レコード・タイプ | 品目 | 日付2 | 日付5 | 日付10 | 日付20 | 
|---|---|---|---|---|---|
| 需要 | A | 0 | 0 | 0 | 0 | 
| 供給 | A | 0 | 10 | 0 | 0 | 
| 供給 | A1 | 0 | 0 | 10 | 0 | 
日付2に組織M1にある品目Aの100単位の需要から始めて、AおよびA1からの30単位の供給を消し込み、残りの正味需要が70単位となります。品目Aの計画オーダー需要が作成されて組織S1にプッシュされ、そこで品目Aからの20単位の供給と品目A1からの10単位の供給を消し込みます(A1のかわりにAの需要がプッシュされることに注意してください。A1の需要をプッシュすると、品目Aからの供給を使用しないリスクがあります)。これで、残りの正味需要は40となり、この数量について品目Aの計画オーダー需要を作成して組織D2にプッシュします。AおよびA1の両方からの10単位の供給を消し込み、残りは正味20単位の不足となります。
これで、サプライ・チェーン内の当初品目の供給と代替供給をすべて使い切ったことになりますが、まだ20単位を製造する必要があります。20単位の供給は、通常の計画ロジックに従って作成されます。
これまでは、Oracle APSにおけるルール・ベース代替の動作について説明しました。このロジックは、最適化済計画での代替決定に役割を果たす様々な原価ではなく、ルール・セットに基づきます。代替ロジックの基礎として原価のみを使用する場合は、原価に基づく最適化済計画を実行できます。代替定義は同じですが、前述の多数のルールは適用できません。代替ロジックには、品目の標準原価、保管費、遅延需要を充足するためのペナルティ原価および計画時に選択した目的が影響します。
計画中に代替が発生すると、例外メッセージが生成されます。代表的な計画プロセスは、計画により生成された例外の分析、例外詳細へのドリルイン、「需要/供給」ウィンドウ、垂直プランおよびペギングを使用した需要/供給レコードの分析で構成できます。このプロセス中に、代替の定義と特性に何度かアクセスできます。ユーザーは水平プランにアクセスして、代替により処理される需要と代替ロジックの一部として受け入れられた供給の詳細情報を取得し、その情報に基づいて解決策を改善する可能性を分析できます。
システムにより代替が実行されると、「最終品目代替を使用して充足された需要」という例外メッセージが生成されます。これらの例外は、「代替および代替使用」例外グループにまとめられています。次のスクリーンショットに、この例外メッセージを示します。
例外メッセージ

Oracle APSでは、代替供給が検出されると、当初品目から代替品目に需要が変換されます。「例外詳細」ウィンドウにアクセスすると、代替品目により充足された需要を確認できます。

次の表の情報を使用して、各フィールドとオプションを指定します。
| フィールド | 説明 | 
|---|---|
| 組織 | 例外が発生した組織。 | 
| 品目 | 需要が発生している品目。例外はこの品目についてのものです。 | 
| 数量 | 当初オーダー数量。 | 
| オーダー番号 | 転送元品目の受注番号またはMDS/予測名。 | 
| 代替品目 | 需要の転送先品目。 | 
| 代替数量 | 需要の転送数量。 | 
| 代替組織 | 供給が見つかった組織。 | 
最終品目例外から、「品目」または「需要/供給」ウィンドウを選択できます。
例外詳細から右クリックすると、メニュー「需要」、「ソース」、「搬送先」、「水平プラン」および「垂直プラン」が表示されます。
これらの需要を表示するには、例外メッセージを選択し、「需要/供給」ボタンを選択します。選択したレコードの各需要が「需要」ウィンドウに表示されます。

「需要」ウィンドウから各レコードのペギングを調べて、各需要の補充を分析できます。「当初品目」および「当初数量」は「需要」ウィンドウで使用可能なフィールドで、代替例外を理解する際に役立ちます。これらは、「フォルダ」->「フィールドの表示」を選択してウィンドウに追加できるオプション・フィールドです。
別の組織で代替供給が見つかった場合は、その需要のペギング詳細で当初組織を確認できます。
Oracle ASCPでは、代替供給が見つかると、当初品目から代替品目に需要が変換されます。次の例では、プラグイン・カード100をプラグイン・カード150およびプラグイン・カード200で代替できます。プラグイン・カード150および200が在庫に50単位あり、プラグイン100に100単位の需要が発生するとします。Oracle ASCPでは100単位の当初需要(プラグイン・カード100)が2つに分割され、最初の需要は50単位のプラグイン・カード150に関するもので、第2の需要は50単位のプラグイン・カード200に関するものとなります。需要は代替品目に転送されています。これ以降は、例外詳細のレビュー方法について説明します。
例外から需要が代替品目で充足されたことを確認した後、「例外詳細」ウィンドウから「需要」ウィンドウにナビゲートできます。レコードを選択して右クリックし、ドロップダウン・メニューから「需要」を選択します。これは、「最終品目代替を使用して充足された需要」例外メッセージの行ごとに使用できます。「需要」ウィンドウには、当初需要に関連した需要分割がすべて表示されます。
プラグイン・カード100という品目に関する例外メッセージ「最終品目代替を使用して充足された需要」から「需要」画面にナビゲートすると、「需要」ウィンドウには2つのレコードが表示されます。一方は50単位のプラグイン・カード150の需要、他方は50単位のプラグイン・カード200の需要に関するレコードです。プラグイン・カード100が在庫に10単位あると、次のように3つのレコードが表示されます。
プラグイン・カード100の10単位の需要
プラグイン・カード150の40単位の需要
プラグイン・カード200の50単位の需要
代替を計画する場合、論理的なのは計画から代替の実行を開始することのみです。計画エンジンにより一般ワークフローが開始され、組織内の関係者に代替決定が通知されます。
例外メッセージ「最終品目代替を使用して充足された需要」が発生するたびに、ワークフローが開始され、当初品目に関連する計画担当に送信されます。この時点でワークフローを終了するか、営業担当または顧客担当に代替を通知できます。
次のダイアグラムに、計画エンジンにより開始されるワークフローを示します。ワークフローに基づいて明細品目を変更する代替方法が存在しないことがわかります。オーダーが記帳前段階にあるかぎり、ユーザーは明細品目を手動で変更できます。
計画エンジンにより開始されるワークフロー

ワークフローのヘッダーは「最終品目代替を使用して充足された需要」です。ワークフローには、次の詳細が表示されます。
品目:自: 需要が発生している品目で、例外はこの品目についてのものです。
計画名: 計画名。
オーダー番号: 需要のタイプに基づくオプション。
明細番号: 需要のタイプに基づくオプション。
当初数量: 要求数量
代替品目: 需要の転送先の代替品目。複数の品目が表示される場合があります。
組織: 例外が発生した組織。
代替数量: 転送済みの需要数量
代替供給組織: 供給が検出された組織。
代替チェーンの下位レベル品目の需要を代替チェーンの上位レベル品目の供給で代替するかどうかの決定は、Oracle Global Order Promisingで開始する必要があります。ASCPのプロセスとOracle Global Order Promisingのプロセスの両方で同じデータが分析されるため、代替の実行に使用するロジックが一貫している必要があります。Oracle Global Order Promisingでは、「最終品目代替の機能」で説明した機能をほぼすべてサポートしています。Oracle Global Order Promisingによる製品代替機能のサポート方法が、計画エンジンとは少し異なる場合もあります。
詳細は、『Oracle Global Order Promising Implementation and User's Guide』の最終品目代替に関する項を参照してください。
この項では、次のトピックについて説明します。
制約付き計画に対するユーザー定義の代替決定ルール
最適化済計画に対するユーザー定義の代替決定ルール
計画検索ロジック
この機能を使用すると、代替工順、生産資源、部品構成表、品目およびソースを自動的に選択できます。
そのためには、次の操作を実行できる決定ルールを提供します。
データ入力に関する最小限の前提条件で代替を適切に選択すること。代替工順、部品構成表、生産資源、仕入先、内部ソース、最終品目および構成部品を、最小限の入力で自動的に選択するサプライ・チェーン計画を実行できます。
意思決定処理(プロセスを通じて計画担当による問題解決を模倣)を指定の順序で施行すること。計画エンジンにより標準のOracle Applications機能を使用して供給が検索される順序は、ユーザーに対して透過的です。(たとえば、代替ソースではなく特定の構成部品の代替を指定できます)。需要を充足できる供給ソースが複数存在する場合は、グローバル決定ルールを指定できます。(たとえば、代替と代替ソースの両方を指定した場合は、一方を他方より優先的に選択できます。)
意思決定プロセスの透過性が高まるため、APS計画の決定を容易にすること。主供給ソースで需要を充足できない場合に代替を選択できます。これにより、作業環境を、代替供給と代替構成部品を検索する前に代替生産資源を使用する必要があるなどのビジネス・ルールとして表現できます。
承認済の意思決定処理の範囲内に計画を限定すること(指定の品目に対するルールがソース・レベルで指定されていても、代替工順と代替品目の展開は許可するがソーシングは許可しないか、代替構成部品は許可するが最終品目代替は許可しないなど)。
制約付き計画にユーザー定義の決定ルールを使用するように選択した場合、最終品目代替、代替構成部品、代替部品構成表(BOM)/工順および代替供給ソースについて完全な原価データと原価ペナルティ・ファクタを設定する必要はありません。最適化により有効な結果を得るには全エンティティの正確な原価計算が必要ですが、ユーザー定義の決定ルールでは原価は考慮されません。選択はソース・インスタンスに入力した優先度に基づいて行われます。たとえば、代替構成部品の場合、選択した主構成部品が使用可能でなければ、計画エンジンでは優先度2の代替が考慮されます。優先度2の代替が使用可能でなければ、優先度3の代替が考慮されます。
制約付き計画と代替ルール: 2つの方法
制約付き計画には2つの異なる方法があり、どちらの方法を使用するかはサイト・プロファイル・オプション「MSO: 決定ルールの使用可能」によって決まることに注意してください。「MSO: 決定ルールの使用可能」を「No」(デフォルト)に設定すると、代替生産資源と一部の代替仕入先の場合を除いて代替ルールを使用できません。「MSO: 決定ルールの使用可能」を「Yes」に設定すると、代替ルールを選択および定義できます。計画エンジンでは、「計画オプション」ウィンドウの「決定ルール」タブに表示される順序に従って各ルールが使用されます。詳細は、「制約基準の計画」を参照してください。
次のステップおよびダイアグラムでは、制約付き計画用の代替を選択する手順について説明します。各ステップでは、ダイアグラムに示した手順の詳細を説明します。
ソース・データの設定を実行します。
「計画オプション」ウィンドウを定義またはオープンします。

このウィンドウの該当するタブをすべて使用して、必要な計画オプションを設定します。
プロファイル・オプション「MSO: 決定ルールの使用可能」を「No」に設定した場合、次の手順は該当しません。手順7に進みます。
このプロファイル・オプションを「Yes」に設定した場合、次の表に示すデフォルト設定の変更が必要であれば、「決定ルール」タブを選択できます。
| 決定ルール | ステータス | 
|---|---|
| 最終品目代替の使用 | <選択解除> | 
| 代替生産資源の使用 | <選択> | 
| 代替構成部品の使用 | <選択> | 
| 代替部品構成表/工順の使用 | <選択> | 
| 代替ソースの使用 | <選択> | 
決定ルールを有効化または無効化します。
制約付き計画に対して決定ルールを有効化または無効化できます。これらの決定ルールは制約付き計画の導出に使用されますが、作業環境が考慮されます。いずれかのルールを無効化すると、計画エンジンではそのルールに関連する供給を検索できなくなります。
次の表に、決定ルールの内容を示します。
| 決定ルール | ステータス | 内容 | 
|---|---|---|
| 代替ソースの使用 | <選択> | できるかぎり主ソースを使用し、必要な場合にのみ代替ソースを使用します。 | 
| 代替ソースの使用 | <選択解除> | 主ソースのみを使用します。代替ソース(ランク2以上のソース)は、供給ソースとして使用されません。 | 
| 代替部品構成表/工順の使用 | <選択> | できるかぎり基本工順を使用し、必要な場合にのみ代替工順を使用します。 | 
| 代替部品構成表/工順の使用 | <選択解除> | 基本部品構成表/工順のみを使用します。 | 
| 代替生産資源の使用 | <選択> | できるかぎり主生産資源を使用し、必要な場合にのみ代替生産資源を使用します。 | 
| 代替生産資源の使用 | <選択解除> | 主生産資源のみを使用します。 | 
| 最終品目代替の使用 | <選択> | 新規計画オーダーを作成する前に、主品目と最終品目代替(有効化されている場合)を使用します。 | 
| 最終品目代替の使用 | <選択解除> | 需要品目のみを使用します。最終品目代替は使用しません。 | 
| 代替構成部品の使用 | <選択> | できるかぎり主品目を使用し、必要な場合にのみ代替構成部品を使用します。 | 
| 代替構成部品の使用 | <選択解除> | 主品目/構成部品のみを使用します。 | 
ユーザー定義の決定ルールからの代替生産資源、工順およびソースについて、計画エンジンでの使用を増やす必要がある場合は、プロファイル・オプション「MSO: 代替へのオフロードを改善する生産資源調整ファクタ」を設定します。0以上1以下の数値を使用してください。
このファクタにより、生産資源可用性を削減する生産資源制約が追加されます。たとえば、0.8と入力すると、生産資源可用性が20%削減されます。計画エンジンにより代替供給方法にオフロードされる作業量が大きくなります。
このファクタは、計画エンジンによる代替選択の決定に影響します。最終的な計画および生産資源ロード・プロセスには影響しません。
主な機能は次のとおりです。
決定ルール用のデータ設定
ユーザーが有効化した決定ルールに基づく制約付き計画
現行のAPSエンジンの制約付き計画に対するロジックと動作のサポート
サイト・レベルのプロファイル・オプション「MSO: 決定ルールの使用可能」を使用して、「計画オプション」ウィンドウの「決定ルール」タブを使用可能または使用不可にします。このプロファイル・オプションを「Yes」に設定すると、「決定ルール」タブが使用可能になり、このタブを使用して設定した決定ルールが使用されます。「No」に設定すると、「決定ルール」タブが使用不可になり、APSエンジンでは現行のエンジン・ロジックが計画に使用されます。
「決定ルール」タブのデフォルトの表示ステータスは、計画の前回実行時のタブのステータスに依存します。前回の実行時に、このプロファイル・オプションが「No」に設定されていた場合、「決定ルール」タブにはデフォルト・ステータス(すべての決定ルールが選択されている状態)が表示されます。前回の実行時に「Yes」に設定されていた場合、「決定ルール」タブには前回の計画実行時のタブのステータスが表示されます。
制約付き計画に使用する決定ルールの実装
制約付き計画の主要目的は、需要を適時に充足することです。制約計画モードには、「需要納期の施行」および「生産能力制限の施行」という2つのオプションが用意されています。これらのオプションは、「計画オプション」ウィンドウの「制約」タブで選択できます。これらのオプションを使用して、制約計画の目的を記述します。
「計画オプション」ウィンドウの「制約」タブを使用して、様々な制約(資材または生産資源、あるいはその両方)を定義できます。
この制約付き計画に対する決定ルールの使用オプションを起動するには、サイト・レベルのプロファイル・オプション「MSO: 決定ルールの使用可能」を「Yes」に設定します。このプロファイルのデフォルトは「No」です。このプロファイル・オプションが「No」に設定されている場合、制約付き計画は現行の制約付き計画エンジンに基づくものになります。
代替の選択基準
ソース、代替構成部品、生産資源および部品構成表/工順に複数の代替を使用できます。この項では、ソース・データ設定を使用して代替を選択する操作について説明します。
ソース・ルールでソースの優先度を定義できます。計画エンジンでは、デフォルトで代替ソースの使用が最小限に抑えられます。ただし、代替ソースを使用する必要がある場合、ソースに割当てたランクを使用して計画エンジンにより代替が選択されます。たとえば、上位ランクのソースからの供給を使い切ってから、下位ランクのソースを選択するようにする場合などです。同じランクに複数のソースが設定されている場合、計画では供給が次の順序で検索されます。
製造
振替
購買
同じタイプの供給ソースを複数指定した場合、計画では供給が任意に使用されます。(たとえば、2つの製造ソースがあり、どちらも優先度1の場合)。
前述の検索では、ソーシング分割を施行していないことを想定しています。次の画面は、代替ソースのランクを定義できる場所を示しています。最初の画面には、ソース・ルールを使用したランクが表示されています。次の2つの画面の詳細は、『Oracle Master Scheduling/MRPおよびOracle Supply Chain Planningユーザーズ・ガイド』を参照してください。

第2のスクリーンショットは、物流構成表を使用するランクを示しています。

代替構成部品
代替構成部品の優先度を定義できます。計画では、デフォルトで代替の使用が最小限に抑えられます。また、計画エンジンには、部品構成表内で製品完了に近いレベル代替よりも下位レベルにある代替を使用しようとするロジックが組み込まれています。計画では、定義した優先度は各種代替からの供給の検索中に考慮されます。
次のスクリーンショットは、代替構成部品の優先度を定義できる場所を示しています。

この項のスクリーンショットの詳細は、『Oracle Bills of Materialユーザーズ・ガイド』を参照してください。
次のダイアグラムは、代替構成部品B1を持つ構成部品Bの計画ロジックを示しています。ダイアグラムが示すように、計画では品目Bの予定使用可能供給(手持在庫と既存供給)が検索されてから、品目B1の予定使用可能供給が検索されます。その後、主部品構成表/工順と代替生産資源を使用して、品目Bに対する計画オーダーを作成するように推奨されます。次に、計画では主部品構成表/工順と代替生産資源を使用して、品目B1に対する計画オーダーが生成されます。追加供給が必要な場合は、品目Bの代替部品構成表/工順が使用されてから、品目B1の代替部品構成表/工順が使用され、その後に代替ソース/施設からの品目BおよびB1が調達用に検索されます。
代替構成部品の計画ロジック

代替生産資源
計画エンジンでは、デフォルトで代替生産資源の使用が最小限に抑えられます。ただし、代替の使用が必要な場合は、代替生産資源からの生産能力を使用して供給を作成する間に代替生産資源に割当てた優先度が使用されます。同じランクで複数の生産資源が指定されている場合、計画では制約付き計画が任意に検索されます。
次のスクリーンショットは、代替生産資源の優先度を定義できる場所を示しています。

「代替工程生産資源」画面で「代替 グループ」に指定するランクは、代替生産資源の優先度です。
代替部品構成表/工順
計画では、特定品目の部品構成表定義と工順の組合せを使用してプロセスが定義されます。部品構成表と工順の交差部は、代替指標の定義に基づきます。部品構成表と工順が交差して有効なプロセスが作成されるのは、代替指標が一致する場合のみです。
計画プロセスでは、デフォルトで下位優先度の部品構成表/工順の使用が最小限に抑えられます。優先度は「工順詳細」フォームで指定できます。
注意: 「工順詳細」フォームでは、工順の優先度が一意であるため、異なる品目に使用する2つの異なる工順に同じ優先度を割当てることはできません。ただし、内部的には2つの異なる工順について同じ優先度を取得する場合があります。これがどのように発生するかは、後述します。
次のスクリーンショットは、代替部品構成表/工順の優先度を定義できる場所を示しています。

デフォルトの部品構成表/工順優先度
「工順詳細」フォームで部品構成表/工順の優先度を指定しなければ、デフォルト優先度の計算には次のルールが適用されます。
代替指標がNULLの場合、デフォルト優先度は内部的に1とみなされます。
部品構成表/工順の代替指標を指定すると、デフォルト優先度は内部的に2とみなされます。
ユーザー指定の部品構成表/工順優先度
特定の部品構成表/工順の優先度を指定できます。計画では、供給を導出するために優先度を使用して特定の部品構成表/工順がロードされます。部品構成表/工順の優先度を指定する機能を使用すると、代替部品構成表/工順に上位優先度を柔軟に割当てることができます。
たとえば、代替指標がNULLの部品構成表/工順を優先度2に指定し、有効な代替指標ALT_ROUTE_2を持つ部品構成表/工順を優先度1に指定できます。計画では優先度が考慮され、代替指標がNULLの部品構成表/工順が使用される前に、代替指標ALT_ROUTE_2で定義された部品構成表/工順が提示されます。
注意: 同じランクの代替が複数存在する場合、計画では供給が任意に使用されます。次に品目Aの例を示します。
部品構成表/工順1: 代替指標 = NULL、優先度 = 1
部品構成表/工順2: 代替指標 = ALT_ROUTE_2、優先度1
部品構成表/工順3: 代替指標 = ALT_ROUTE_3、優先度2
この場合、計画エンジンは最初に工順1または工順2を使用しようとします。次に、必要な場合は工順2または工順1を使用しようとします。次に、必要な場合は工順3に移動します。
注意: 最終品目代替の詳細は、「最終品目レベル代替」を参照してください。
この項では、3つのシナリオを使用して代替決定ルールの使用方法を説明します。
次の表に、3つのシナリオの背景情報を示します。
日付0の需要情報
| 製品 | 需要 | 納期 | 生産能力 | 
|---|---|---|---|
| A | 60単位 | 1 | 100単位/日 | 
| A | 120単位 | 2 | 100単位/日 | 
| A | 80単位 | 3 | 100単位/日 | 
品目Aの部品構成表
| 構成部品(製造/購買) | 工程連番 | 数量 | 代替 | 
|---|---|---|---|
| B(製造) | 10 | 1 | D(製造) | 
| C(購買) | 20 | 2 | E(製造) | 
品目Aの工順
| 工程連番 | 工程 | 生産資源 | 代替 | 
|---|---|---|---|
| 10 | 製粉 | M10 | M20 | 
| 20 | 研磨 | G10 | G20 | 
生産能力情報
| 生産資源 | 生産能力 | 
|---|---|
| M10 | 60単位/日 | 
| M20 | 60単位/日 | 
| G10 | 100単位/日 | 
| G20 | 100単位/日 | 
日付2の予定使用可能数量
| タイプ | 数量 | 
|---|---|
| 品目A | 0 | 
| 構成部品B | 90 | 
| 構成部品C | 200 | 
| 代替構成部品D | 30 | 
| 代替構成部品E | 100 | 
品目Aのソース・ルール
| ルール | 組織 | % | 優先度 | 生産能力 | 
|---|---|---|---|---|
| 組織Mで製造 | M | 100 | 1(主) | 100/日 | 
| 組織Sから調達 | S | 100 | 2(代替) | 60/日(リード・タイム1日) | 
仕入先と生産能力
| 仕入先 | 品目 | 生産能力 | 優先度 | ソーシング% | 
|---|---|---|---|---|
| テスト1 | C | 50 | 1(主) | 50 | 
| テスト2 | C | 100 | 2(主) | 50 | 
次の表に、デフォルト・ランクを示します。
| ランク | 目的 | 
|---|---|
| 1 | 最終品目代替の使用 | 
| 2 | 代替生産資源の使用 | 
| 3 | 代替構成部品の使用 | 
| 4 | 代替部品構成表/工順の使用 | 
| 5 | 代替ソースの使用 | 
計画エンジンでは、次の2つの処理を組み合せて日付2に120単位の品目Aが計画されます。
主生産資源(M10/G10)とともに代替生産資源(M2/G10)を使用します。
B(B 90 + D 30)とC(C 200 + E 40)に構成部品代替を使用します。
日付2の需要が90のみであれば、主生産資源(M10/G10)とともに代替生産資源(M20/G10)のみを選択することで解決されます。
決定ルール「代替構成部品の使用」の選択が解除されています。これにより、デフォルト・ランクは次のようになります。
| ランク | 目的 | 
|---|---|
| 1 | 最終品目代替の使用 | 
| 2 | 代替生産資源の使用 | 
| 3 | 代替部品構成表/工順の使用 | 
| 4 | 代替ソースの使用 | 
計画エンジンでは、次の2つの処理を組み合せて日付2に120単位の品目Aが計画されます。
90単位製造するために、主生産資源(M10/G10)とともに代替生産資源(M20/G10)を使用します。
組織Sから30単位の品目Aを調達します。
計画エンジンでは、構成部品代替からの使用可能供給の機会が完全に無視されます。
次の表の情報を参照すると、「ソーシング分割の施行」および「生産能力制約の施行」の役割を理解しやすくなります。品目Cの正味需要は200です。
| 仕入先 | 生産能力 | 「需要納期の施行」と「ソーシング分割の施行」を選択 | 「生産能力制約の施行」を選択、「ソーシング分割の施行」を選択解除 | 「生産能力制約の施行」と「ソーシング分割の施行」を選択 | 
|---|---|---|---|---|
| テスト1 | 50単位 | 供給100 | 供給50 | 供給50 | 
| テスト2 | 100単位 | 供給100 | 供給100 | 供給100 | 
仕入先テスト1の品目Cの生産能力が50単位で、仕入先テスト2の品目Cの生産能力が100単位であるとします。また、品目Cの正味需要が200単位であるとします。ソーシング分割を施行すると、テスト1は100単位を供給する必要があり、テスト2も100単位を供給する必要があります。(「需要納期の施行」が有効化されている場合)。
「生産能力制約の施行」が有効化されている場合、仕入先テスト1は50単位を供給する必要があり、仕入先テスト2は100単位を供給する必要があります。50単位の供給は別の日になります。(「ソーシング分割の施行」が無効化されている場合)。
「生産能力制約の施行」と「ソーシング分割の施行」の両方が有効化されている場合、仕入先テスト1は50単位を供給し、仕入先テスト2は100単位を供給し、残りの50単位の供給は別の日になります。「需要納期の施行」と「生産能力制約の施行」が「ソーシング分割の施行」より優先されることに注意してください。ソーシング分割はランク1のソースにのみ有効で、デフォルトでは制約付き計画に対して有効化されます。
この項では、次の2つに基づくネットワーク工順の代替の選択について、2つのシナリオを使用して説明します。
プライマリ・パス
計画率
(詳細は、「ネットワーク工順」を参照してください)。ユーザー定義の決定ルールを使用する制約付き計画の場合、最適化スケジューリング方法はサポートされていません。次のダイアグラムと最初の表に、2つのシナリオの背景情報を示します。
次のダイアグラムに、品目Aの部品構成表を示します。B1はBの代替です。
部品構成表

次のダイアグラムに、品目Bのネットワーク工順を示します。工程20の生産能力は1日当たり80で、工程30の生産能力は1日当たり40です。工程10での分割率は、工程20および30に対してそれぞれ50%です。
品目Bのネットワーク工順

次のダイアグラムに、品目B1のネットワーク工順を示します。工程30の生産能力は1日当たり80で、工程40の生産能力は1日当たり40です。工程10での分割率は、工程20に25%、工程30に50%、工程40に25%です。
品目B1のネットワーク工順

次の表に、品目Aの需要を示します。
| 需要 | 日付 | 数量 | 
|---|---|---|
| A | 1 | 80 | 
| A | 2 | 120 | 
| A | 3 | 160 | 
次の表に、計画方法が「プライマリ・パス」の場合に供給が受ける影響を示します。
| 品目 | 日付 | 供給 | 
|---|---|---|
| A | 1 | 80 | 
| A | 2 | 120 | 
| A | 3 | 160 | 
| B | 1 | 80 | 
| B | 2 | 80 | 
| B | 3 | 80 | 
| B1 | 2 | 40 | 
| B1 | 3 | 80 | 
品目Aの需要はすべて納期どおり充足されます。日付2および3の需要を充足するために、代替品目B1が選択されます。日付2に、120単位の需要が80単位の品目Bの供給と40単位の品目B1の供給で充足されますが、日付3になると、160単位の品目Aの需要には80単位の品目Bと80単位の品目B1が必要で、いずれも主工程連番のみを使用します。
計画方法がプライマリ・パスに基づいている場合、代替パスから使用可能な供給がないことに注意してください。
次の表に、計画方法が「計画率」の場合に供給が受ける影響を示します。
| 品目 | 日付 | 供給 | 代替 | 
|---|---|---|---|
| B | 1 | 40 | 10-20 | 
| B | 1 | 40 | 10-30 | 
| B | 2 | 40 | 10-20 | 
| B | 2 | 40 | 10-30 | 
| B1 | 2 | 10 | 10-20 | 
| B1 | 2 | 20 | 10-30 | 
| B1 | 2 | 20 | 10-40 | 
品目Aの需要はすべて納期どおり充足されますが、ネットワーク計画方法が「計画率」に基づいているため、需要を納期どおり充足するために主ノードと代替ノードの両方が使用されます。たとえば、品目Bは、各ノード当たり40単位の需要を処理することで、ノード10-20とノード10-30の両方で製造されます。
最大生産能力は、ネットワーク工順で生産能力制約が最大のノードにより制約されることに注意してください。
制約付きASCP計画をシミュレートする際には、サイト・レベルのプロファイル・オプション「MSO: 決定ルールの使用可能」を変更しないでください。このプロファイル・オプションの値を変更してオンライン計画を実行すると、エラーになる可能性があります。
需要優先度の変更をシミュレートする際には、優先度の連続性を維持してください。たとえば、需要品目に対する需要1、需要2および需要3の当初の需要優先度がそれぞれ1、2および3であれば、需要1、需要2および需要3の需要優先度を2、1および3に変更することはできますが、2、1および18には変更できません。
計画のシミュレーションの詳細は、「シミュレーション」を参照してください。
この機能を使用すると、代替工順、生産資源、部品構成表、品目およびソースを自動的に選択できます。最適化済計画では、計画に関して最も費用効果の高い解決策が提供されます。
そのためには、次の操作を実行できる決定ルールを提供します。
データ入力に関する最小限の前提条件で代替を適切に選択すること。代替工順、部品構成表、生産資源、仕入先、内部ソース、最終品目および構成部品を、最小限の入力で自動的に選択するサプライ・チェーン計画を実行できます。
意思決定処理(プロセスを通じて計画担当による問題解決を模倣)を指定の順序で施行すること。計画エンジンにより標準のOracle Applications機能を使用して供給が検索される順序は、ユーザーに対して透過的です。(たとえば、代替ソースではなく特定の構成部品の代替を指定できます)。需要を充足できる供給ソースが複数存在する場合は、グローバル決定ルールを指定できます。(たとえば、代替と代替ソースの両方を指定した場合、ASCPでは最適な解決策が選択されます。費用効果の高い解決策が複数存在する場合、ASCPでは決定ルールの順序を使用して解決策に到達します。)
承認済の意思決定処理の範囲内に計画を限定すること。(指定の品目に対するルールがソース・レベルで指定されていても、代替工順と代替品目の展開は許可するがソーシングは許可しないか、代替構成部品は許可するが最終品目代替は許可しないなど)。
注意: サイト・レベルのプロファイル・オプション「MSO: 決定ルールの使用可能」は、最適化済計画には影響しません。最適化済計画には、常に「計画オプション」ウィンドウの「決定ルール」タブを使用できます。
次のステップおよびダイアグラムでは、最適化済計画用の代替を選択する手順について説明します。各ステップでは、ダイアグラムに示した手順の詳細を説明します。
必要な動作をモデル化するために、様々なレベルで原価とペナルティ・ファクタを定義します。
データ設定を実行します。
「計画オプション」ウィンドウを定義またはオープンします。

該当するタブをすべて使用して計画パラメータを設定します。
「制約」タブを選択し、「制約付き計画」チェック・ボックスを選択します。
「最適化」タブを選択し、「最適化」チェック・ボックスを選択します。
計画目的とペナルティ・ファクタの必須パラメータを設定します。
デフォルトの決定ルールを変更する場合は、「決定ルール」タブを選択します。変更しない場合は、手順10に進みます。
決定ルールを有効化または無効化します。
決定ルールを有効化または無効化できます。これらの決定ルールは最適化済計画の導出に使用されますが、作業環境が考慮されます。いずれかのルールを無効化すると、計画エンジンはそのルールに関連する供給を検索できなくなります。
次の表に、決定ルールの内容を示します。
| 決定ルール | ステータス | 内容 | 
|---|---|---|
| 代替ソースの使用 | <選択> | できるかぎり主ソースを使用し、必要な場合にのみ代替ソースを使用します。 | 
| 代替ソースの使用 | <選択解除> | 主ソースのみを使用します。代替ソース(ランク2以上のソース)は、供給ソースとして使用されません。 | 
| 代替部品構成表/工順の使用 | <選択> | できるかぎり基本工順を使用し、必要な場合にのみ代替工順を使用します。 | 
| 代替部品構成表/工順の使用 | <選択解除> | 基本部品構成表/工順のみを使用します。 | 
| 代替生産資源の使用 | <選択> | できるかぎり主生産資源を使用し、必要な場合にのみ代替生産資源を使用します。 | 
| 代替生産資源の使用 | <選択解除> | 主生産資源のみを使用します。 | 
| 最終品目代替の使用 | <選択> | 新規計画オーダーを作成する前に、主品目と最終品目代替(有効化されている場合)を使用します。 | 
| 最終品目代替の使用 | <選択解除> | 需要品目のみを使用します。最終品目代替は使用しません。 | 
| 代替構成部品の使用 | <選択> | できるかぎり主品目を使用し、必要な場合にのみ代替構成部品を使用します。 | 
| 代替構成部品の使用 | <選択解除> | 主品目/構成部品のみを使用します。 | 
ユーザー定義の決定ルールからの代替生産資源、工順およびソースについて、計画エンジンでの使用を増やす必要がある場合は、プロファイル・オプション「MSO: 代替へのオフロードを改善する生産資源調整ファクタ」を設定します。0以上1以下の数値を使用してください。
このファクタにより、生産資源可用性を削減する生産資源制約が追加されます。たとえば、0.8と入力すると、生産資源可用性が20%削減されます。計画エンジンにより代替供給方法にオフロードされる作業量が大きくなります。
このファクタは、計画エンジンによる代替選択の決定に影響します。最終的な計画および生産資源ロード・プロセスには影響しません。
主な機能は次のとおりです。
最適化用に重み付けした目的の設定
決定ルール用のデータ設定
目的に対するユーザー定義の重みとユーザーが有効化した決定ルールに基づく最適化
計画目的の定義
計画目的に重みとしての優先度を設定できます。次の表に計画目的のリストを示します。最適化済計画ごとに目的の重みを定義して設定できます。
| 目的 | 重み | 
|---|---|
| 在庫回転率の最大化 | 0から1 | 
| 計画収益の最大化 | 0から1 | 
| 納期搬送の最大化 | 0から1 | 
詳細は、「最適化」を参照してください。
決定ルールのユーザー定義優先度に基づく最適化
特定の計画を起動する前に、その計画に対する決定ルールを無効化する機能が用意されています。
指定した目的に基づく最も最適な計画を推奨するために、品目、部品構成表およびソース・ルールなどの基本的なデータ設定が使用されます。ユーザー定義の決定ルールと決定ルールの優先度は、費用効果の高い各種解決策の候補がタイブレークの場合に考慮されます。たとえば、ASCPでは、代替生産資源の方が主生産資源より費用効果が高ければ、主生産資源のかわりに代替生産資源の使用を提示できます。これを次の例に示します。
まず、「代替決定ルールの使用例」の例で、組織Mにおける品目Aの製造原価が$100、仕入先Sからの購買原価がわずか$60であるとします。日付2の120単位の需要は、仕入先1から60単位を調達し、生産資源M10およびG10と60単位の品目Bおよび120単位の品目Cを使用して品目Aをさらに60単位製造することで充足されます。
制約付き計画では、下位ランクのソース(仕入先S)を使用する前に上位ランクのソース(組織M)を使用するように推奨されますが、最適化済計画では最も費用効果の高いソースを使用するように推奨されます。
ただし、組織Mでの製造原価と仕入先Sからの購買原価がどちらも$100であれば、組織Mが上位ランクのソースであるため、最適化済計画では組織Mの使用が推奨されます。
この項では、最適化済計画と制約付き計画の両方に使用されるユーザー定義の代替決定ルールの計画検索ロジックについて説明します。計画ロジックでは、計画に使用される制約に応じて一連のステップが使用さされます。ここでは、最終品目代替品目A1を持つ組立品目Aのサプライ・チェーンを使用して計画検索ロジックを示します。品目Aは品目BおよびCで構成され、品目BおよびCには代替構成部品B1およびC1があります。品目BおよびCには、それぞれ品目DおよびEが必要です。検索を単純化するために、代替構成部品B1およびC1は展開せず、製造11と製造21では全品目の部品構成表と工順が同じであるとします。さらに、次の2つを想定します。
物流センターで処理される上位需要があります。
最適化済計画の場合、特定のサプライ・チェーン全体で各ノードの費用効果は同じです。
品目Aのサプライ・チェーン

計画エンジンでは、需要品目に対する新規計画オーダーの作成前に、各層で手持数量と計画受入(品目Aと最終品目代替A1)が検索されます(「最終品目代替」を参照)。需要品目と最終品目代替の手持数量と計画受入を検索するために、ASCPでは次の検索ロジックが使用されます。
物流センターで品目A
物流センターで品目A1
倉庫1で品目A
倉庫1で品目A1
製造11で品目A
製造11で品目A1
製造21で品目A
製造21で品目A1
次のダイアグラムに、最終品目の手持数量と計画受入に関する層別の検索ロジックを示します。
図のタイトル

AおよびA1の手持在庫または計画受入がないか、需要を十分に充足できる手持数量がなければ、ASCPではA、B、C、DおよびEの正味需要を充足するための計画オーダーが次の方法で作成されます。
Aに対する計画オーダーを作成する場合
品目Aを倉庫1から物流センターに転送します。
製造11で、主生産資源と主部品構成表/工順および主構成部品B(製造11でのBの計画を参照)、C(製造11でのCの計画を参照)、D(製造11でのDの計画を参照)およびE(製造11でのEの計画を参照)を使用してAを製造します。
製造11で代替生産資源を使用してさらにAを製造します。
製造11で代替構成部品(B1、必要な場合はC1)を使用してさらにAを製造します。
製造11で代替工順/部品構成表を使用してAを製造します。
製造21で、主生産資源と主部品構成表/工順および主構成部品B(製造21でのBの計画を参照)、C(製造21でのCの計画を参照)、D(製造21でのDの計画を参照)およびE(製造21でのEの計画を参照)を使用してAを製造します。
製造21で代替生産資源を使用してさらにAを製造します。
製造21で代替構成部品(B1、C1)を使用してAを製造します。
製造21で代替工順/部品構成表を使用してAを製造します。
製造11でBの手持在庫/計画受入を使用します。
製造11でB1の手持在庫/計画受入を使用します。
製造11で、主生産資源、部品構成表/工順および構成部品D(製造11でのDの計画を参照)を使用してBを製造します。
製造11で代替生産資源を使用してBを製造します。
製造11で主生産資源、部品構成表/工順および構成部品を使用してB1を製造します。
製造11で代替生産資源を使用してB1を製造します。
製造11で代替部品構成表/工順を使用してBを製造します。
製造11で代替構成部品を使用してB1を製造します。
製造11で代替部品構成表/工順を使用してB1を製造します。
製造21でBの手持在庫を使用します。
製造21でB1の手持在庫を使用します。
製造21で、主生産資源、部品構成表/工順および構成部品D(製造21でのDの計画を参照)を使用してBを製造します。
製造21で代替生産資源を使用してBを製造します。
製造21で主生産資源、部品構成表/工順および構成部品を使用してB1を製造します。
製造21で代替生産資源を使用してB1を製造します。
製造21で代替部品構成表/工順を使用してBを製造します。
製造21で代替構成部品を使用してB1を製造します。
製造21で代替部品構成表/工順を使用してB1を製造します。
製造21から転送します。
製造11でCの手持在庫を使用します。
製造11でC1の手持在庫を使用します。
製造11で、主生産資源、部品構成表/工順および構成部品E(製造11でのEの計画を参照)を使用してCを製造します。
製造11で代替生産資源を使用してCを製造します。
製造11で主生産資源、部品構成表/工順および構成部品(E)を使用してC1を製造します。
製造11で代替生産資源を使用してC1を製造します。
製造11で代替部品構成表/工順を使用してCを製造します。
製造11で代替構成部品を使用してC1を製造します。
製造11で代替部品構成表/工順を使用してC1を製造します。
製造21でCの手持在庫を使用します。
製造21でC1の手持在庫を使用します。
製造21で、主生産資源、部品構成表/工順および構成部品E(製造21でのEの計画を参照)を使用してCを製造します。
製造21で代替生産資源を使用してCを製造します。
製造21で主生産資源、部品構成表/工順および構成部品(E)を使用してC1を製造します。
製造21で代替生産資源を使用してC1を製造します。
製造21で代替部品構成表/工順を使用してCを製造します。
製造21で代替構成部品を使用してC1を製造します。
製造21で代替部品構成表/工順を使用してC1を製造します。
製造11でDの手持在庫/計画受入を使用します。
仕入先1からDを購入します。
代替供給ソースを検索します。
製造21でDの手持在庫/計画受入を使用します。
仕入先1からDを購入します。
代替供給ソースを検索します。
製造11でEの手持在庫/計画受入を使用します。
仕入先2からEを購入します。
代替供給ソース(未定義)を検索します。
製造21でEの手持在庫/計画受入を使用します。
仕入先2からEを購入します。
代替供給ソース(未定義)を検索します。
サイト・レベルのプロファイル・オプション「MSO: 決定ルールの使用可能」を「Yes」に設定して制約付き計画を実行すると、ASCPでは次の情報が使用されます。
品目属性として定義されている品目リード・タイム
組織間に定義されている移動中リード・タイム
生産資源と組立品の工順により定義されている生産資源可用性と使用量
リード・タイム品目属性は、前処理、処理、後処理、固定および変数の各リード・タイムで構成されています。
ここでは、ユーザー定義の決定ルールに関して、製造品目と購買品目の処理リード・タイム合計と累積リード・タイムがどのように計算されるかを示します。
処理リード・タイム合計 = ((1 + キュー時間ファクタ) * 処理リード・タイム) --結果を端数処理--
キュー時間ファクタは、サイト・レベルのプロファイル・オプション「MSO: キュー時間ファクタ」の値です。
製造品目の工順が定義されていない場合、累積リード・タイム = 固定リード・タイム + (計画数量 * 可変リード・タイム)となります。
購買品目の場合、処理リード・タイムは最も限定的な定義に基づきます。品目仕入先関連に割当てられた処理リード・タイムがある場合、ASCPではそれが処理リード・タイムとして使用されます。このような処理リード・タイムがない場合は、処理リード・タイムの品目属性が使用されます。
処理リード・タイム合計 = 前処理リード・タイム + 後処理リード・タイム + 処理リード・タイム
累積リード・タイム = 前処理 + 固定リード・タイム + (計画数量 * 可変リード・タイム) + 後処理リード・タイム
固定リード・タイムと可変リード・タイムが設定されていない場合、固定リード・タイムは品目属性で定義された処理リード・タイムの値であるとみなされます。
移動中リード・タイムは、ソース組織と搬送先組織の間のすべての移動に使用されます。
計画エンジンで事前定義済の順序で代替が選択されるようにするには、処理リード・タイム合計と累積リード・タイムの導出値が同じである必要があります。2つのリード・タイムの合計値が一致しないと、ASCPは事前定義済の代替選択順序に従いません。
代替の選択順序の決定には、ペギングを調べるという方法を使用しない方がよい場合があります。これは、制約のあるタイムバケット全体で需要合計と供給合計を調べる際には、代替の選択順序の方が明白であるためです。
たとえば、品目Bについて日付1と日付2に2つの需要D1(150単位)およびD2(50単位)があり、この需要を充足する唯一の方法が、主生産資源/工順/部品構成表を使用して100単位を製造し、代替構成部品B1を使用して50単位を製造し、代替部品構成表/工順を使用してBを50単位製造することであるとします。このため、日付1の需要が主生産資源/工順/部品構成表を使用する100単位の品目Bと、代替部品構成表/工順を使用する50単位の品目Bにペグされます。日付2の需要は、50単位の代替構成部品B1にペグされます。
D1のペギングのみを調べると、50単位の代替構成部品は使用されていません。かわりに、50単位の代替部品構成表/工順がD1にペグされています。そのため、ASCPがユーザー定義順序に従っていないように見えます。しかし、需要が150単位のみであれば、供給は100単位の品目Bと150単位の代替構成部品B1となり、ユーザー定義順序に従っています。
計画エンジンの実行後に、エンジンにより代替が推奨された複数のインスタンスに気づくことがあります。この場合は、例外メッセージが生成されます。典型的なフローは、計画により生成された例外の分析、例外詳細へのドリルイン、「需要/供給」ウィンドウ、垂直プランおよびペギングを使用した需要/供給レコードの分析で構成されます。ユーザーは水平プランにアクセスし、代替で処理された需要とユーザー定義の決定ルールの一部として受け入れた供給の詳細を把握し、その知識に基づいて解決策を改善できる可能性を分析できます。
システムから代替の使用が提示される場合は、使用する代替のタイプを指す必須の例外メッセージも生成されます。これらの例外は、「代替および代替使用」例外グループにまとめられています。
典型的な例外メッセージ

この機能により、計画情報にアクセスするユーザーを、承認された個人に限定できます。Oracle ASCPでは、ユーザーが役職の職責をセキュリティのために組織に関連付けることができます。これにより、ユーザーが組織内の計画データを表示または変更できるのは、その組織に関連付けられた役職の職責を持っている場合のみとなります。
例:
ユーザー1は組織M2に限定されています。
ユーザー2には、組織M1およびM2を含めて全組織にアクセスするためのグローバル承認が付与されています。
ユーザー2が組織M1およびM2(所有組織はM1)の計画を作成します。ユーザー1は、この計画にアクセスし、組織M2に関連する部分のみを表示して実行できます。
次のダイアグラムに、ユーザーと役職の職責を組織に割当てる手順のフローを示します。

計画サーバー上でカスタム職責を定義します。そのためには、「システム管理者」職責を使用してサインインします。ナビゲータから、「セキュリティ」->「職責」->「定義」を選択します。該当するフィールドに適切な情報を入力します。
ユーザーを定義して職責を割当てます。そのためには、ナビゲータから「セキュリティ」->「ユーザー」->「定義」を選択します。該当するフィールドに入力します。
「アドバンスト・プランニング管理者」の職責でサインオンします。
注意: 「組織セキュリティ」にアクセスして表示できるのは、「APS管理」職責を持つユーザーのみです。
ナビゲータから、「管理」->「組織セキュリティ」を選択します。
「職責への組織の割当」ページが表示されます。
職責への組織の割当

「職責」フィールドで、組織に関連付ける職責を選択します。「職責」フィールドの値リストには、計画サーバーの「職責」フォームで定義されている職責がすべて含まれています(Oracle ASCPでの職責に限定)。
「使用可能組織」列から組織を選択し、「移動」ボタンを使用して「割当済組織」列に移動します。「すべて移動」ボタンを使用すると、全組織を指定の職責について選択できます。「削除」ボタンを使用すると、選択した組織を「割当済組織」列から削除できます。また、「すべて削除」ボタンを使用して、選択した組織をすべて削除することもできます。
「保存」ボタンを選択します。
Oracle ASCPでは、ユーザーは承認された在庫組織に限定されます。ユーザーがOracle ASCPでフォームを初めてオープンしようとすると、「組織」検索フォームには承認された組織のみが表示されます。
注意: 「インスタンス/組織の変更」メニュー項目の選択時にも、承認された組織に限定されます。
選択したインスタンス/組織について、「サプライ・チェーン計画名」フォームで計画名を表示および作成できます。システムでは、計画へのアクセスと表示は、所有組織の承認済ユーザーに限定されます。
「組織」フィールドで計画対象の組織を選択できます。このフィールドの値リストは、ユーザーがアクセスできる承認済組織に限定されています。つまり、「組織」検索フォームの値リストは、ユーザーに関連付けられている組織に限定されます。
注意: 通常、「計画オプション」フォームを表示および更新できるのは、ユーザーが計画の所有組織へのアクセス権を付与されている場合のみです。
組織M1およびM2を計画するために、M1(所有組織)で計画1が作成されました。これは、M1の「計画名」フォームには計画1が表示されますが、M2の「計画名」フォームには計画1が表示されないことを意味します。
次の表に、様々なユーザー権限について「計画名」、「計画オプション」および「プランナ・ワークベンチ」の組織セキュリティの動作を示します。
| ユーザー | 承認対象 | 計画名 | 計画オプション | ワークベンチ | 
|---|---|---|---|---|
| ユーザー1 | M2 | 「計画名」フォームでは計画1の表示およびアクセスができません。 | ナビゲータの「計画オプション」メニュー項目を介して「計画オプション」にアクセスすることはできません。 | 「プランナ・ワークベンチ」の左ペインで計画1を表示できますが、組織M2に限定されます。ただし、「プランナ・ワークベンチ」のツールバーから「計画」メニュー項目を選択して、「計画オプション」フォームの「組織」タブで計画済の全組織(M1およびM2)を表示できます。 | 
| ユーザー2 | M1およびM2 | 組織M1から「計画名」フォームで計画1を表示およびアクセスできます。計画1をコピーして起動できます。 | 「ナビゲータ」ウィンドウの「計画オプション」メニュー項目を介して「計画オプション」にアクセスできます。 | 「プランナ・ワークベンチ」に組織M1およびM2の両方を表示して、左ペインに計画1を表示できます。 | 
| ユーザー3 | M1 | 組織M1から「計画名」フォームで計画1を表示およびアクセスできます。計画1をコピーして起動できます。 | 「計画オプション」フォームで計画1を表示およびアクセスできます。 計画済組織M2を削除できますが、組織M2の追加はできません。 「計画オプション」フォームに組織M1を追加することのみが可能です。  | 「プランナ・ワークベンチ」に組織M1およびM2の両方を表示して、左ペインで計画1を表示できます。 | 
Oracle ASCPは、Oracle Business Intelligence System(BIS)実績管理システムと統合されています。BISにより、目的を組織別に設定できます。これらの目的は、BISでは「パフォーマンス測定」、Oracle ASCPでは「キー・パフォーマンス・インディケータ」(KPI)と呼ばれます。
KPIは、企業の継続的な改善を促すために使用されます。実績ターゲットと例外の許容範囲をビジネス単位別または期間別に設定し、例外が発生した場合は該当する担当者に自動的に通知できます。ターゲットの設定方法は、『Oracle Business Intelligenceインプリメンテーション・ガイド』を参照してください。
プランナ・ワークベンチを使用して、複数の計画のシミュレーション用にKPIを比較することもできます。
Oracle Advanced Supply Chain Planningでは、次のキー・パフォーマンス・インディケータが表示されます。
在庫回転率
マージン率
計画負荷率
納期搬送
マージン
原価ブレークダウン
サービス・レベル


各KPIについては後述します。
計画レベルと組織レベルのキー・パフォーマンス・インディケータは、計画に対して「計画パーティション」コンカレント要求を実行するまで正しく表示されません。
キー・パフォーマンス・インディケータには、週グループと期間グループについて、サプライ・チェーン計画内の組織間の統一性に関する情報が表示されます。これらは、プロファイル・オプション「MSC: バケット用カレンダ参照」に指定したカレンダに従ってグループ化されます。このプロファイル・オプションに値が設定されていなければ、計画所有組織の製造カレンダに従ってグループ化されます。
期間t1から期間t2までの特定の計画の在庫回転率は、次のように計算されます。
年間在庫回転率 = \{期間[t1,t2]におけるMDS需要の金額/期間[t1,t2]における平均在庫価額\} * 365/(t2 - t1)
期間[t1、t2]における平均在庫金額 = (t1の在庫 + t2の在庫)/2
t1およびt2は日数です。
t2の在庫 = t1の在庫 + 期間[t1,t2]の発注 + 期間[t1,t2]の購買依頼 + 期間[t1,t2]の計画オーダー + 期間[t1,t2]のショップ型製造オーダー + 期間[t1,t2]のライン型製造オーダー + 期間[t1,t2]の基準計画需要
注意: この計算には、品目の標準原価が使用されます。標準原価システムでは、在庫システムと工程管理システム内のすべての資材および生産資源取引の原価が、1つの値を使用して計算されます。
マージン率は、計画収益と計画生産原価との正味差異です。
マージン率 = [(出荷数量合計 * 標準価格 * 標準割引) - (出荷数量合計 * 標準原価)] / [出荷数量合計 * 標準価格 * 標準割引]
出荷数量合計には、受注と需要予測が含まれます。
計画タイムバケット中の生産資源または仕入先の計画負荷率は、次のように計算されます。
計画負荷率 = (実際に使用された能力時間数/使用可能な能力時間数) * 100
注意: 生産ラインおよび仕入先の生産能力の場合は、時間数のかわりに数量を使用します。
どの階層レベルでも、総計レベルの負荷率は平均負荷率に基づいています。たとえば、生産資源の計画負荷率は次のように計算されます。
生産資源の計画負荷率 = [すべての計画タイムバケットの計画負荷率]の合計/計画タイムバケット数
計画レベルの計画負荷率には、仕入先の負荷率は含まれません。
顧客サービス・レベルまたは搬送実績は、次のように計算されます。
((オーダー合計数 - 遅延オーダー数) * 100) / オーダー合計数
マージンは、次のように計算されます。
最終組立品のマージン = (出荷数量合計 * 標準価格) - (出荷数量合計 * 標準原価)
総計レベルのマージン = 最終組立品のマージンの合計
計画/組織レベルKPI(収益対原価対利益)に、またはKPIトレンドにドリル・ダウンできます。マージンKPIの場合はターゲットを使用できません。
マージンKPIでは値引は考慮されません。
原価ブレークダウンKPIは、次の原価で構成されます。
生産原価
在庫保管費
ペナルティ原価
購買原価
生産原価は、所要生産資源時間とそれに対応する原価に基づいて計算されます。計算式は、次のとおりです。
生産原価 = 組織内のすべての生産資源の(所要生産資源時間 * 生産資源原価)の合計
在庫保管費は、各タイムバケットの平均在庫レベルに基づいて計算されます。計算式は、次のとおりです。
在庫保管費(期間i) = 期間iの平均在庫 * 保管費率
ペナルティ原価は、次のように計算されます。
ペナルティ原価 = 需要遅延原価 * (需要充足日 - 所要日) * 需要数量 * 品目の定価
品目の標準原価は、品目に定価がない場合にペナルティ原価の計算式に使用されます。
購買原価は、品目の標準原価と供給数量に基づいて計算されます。
購買原価 = すべての品目の[品目の定価 * 供給数量]の合計
品目の標準原価は、品目に定価がない場合に購買原価の計算式に使用されます。
計画/組織KPIまたはKPIトレンドにドリルダウンできます。原価ブレークダウンKPIの場合はターゲットを使用できません。
サービス・レベルの総計は、制約付き計画および最適化済計画に対して計算されます。計算処理では、安全在庫を除くすべての独立需要が、品目別に需要納期に基づいてBIS期間に分類されます。サービス・レベルは、まず、各BIS期間の品目ごとに計算されてから、次の順序で上位レベルに向かって集積されます。
その品目全体
単一組織における全品目
単一計画における全組織
計算式: (期日までに充足される需要数量 / 需要数量) * 100
次の表は、BIS期間ごとの品目Aの独立需要に対する計算と、その1つ上のレベルの品目A全体に対する計算を示しています。
| 品目 | BIS期間 | 需要納期 | 需要数量 | 需要納期までに充足される需要数量 | サービス・レベル | 
|---|---|---|---|---|---|
| A | - | - | - | - | 95% [(100 + 90 + 100 +190 + 280) / (100 + 100 + 100 + 200 + 300)] * 100 = (470 / 500) * 100 | 
| - | 1月1日から1月 31日 | - | - | - | 97% [(100 + 90 + 100) / (100 + 100 + 100)] * 100 = (290 / 300) * 100 | 
| - | - | 1月10日 | 100 | 100 | - | 
| - | - | 1月15日 | 100 | 90 | - | 
| - | - | 1月20日 | 100 | 100 | - | 
| - | 2月1日から2月 28日 | - | - | - | 94% [(190 + 280) / (200 + 300)] * 100 = (470 / 500) * 100 | 
| - | - | 2月10日 | 200 | 190 | - | 
| - | - | 2月20日 | 300 | 280 | - | 
次の操作を実行できます。
計画、組織および品目の各レベルにおける、計画サービス・レベルとターゲット・サービス・レベルの比較の表示
サービス・レベルのトレンドを示すグラフへのドリル・ダウン
需要がない場合、サービス・レベルは100%になります。サービス・レベルが0%になると、不必要な例外が生成されるからです。
制約なしの計画では、サービス・レベルは常に100%になります。
在庫計画用に階層内で選択したレベルの交差部分(月別の品目または製品ファミリと組織など)について、最もリスクの小さい在庫価額を期間別にグラフ形式で表示できます。
注意: KPIの使用方法の詳細は、「プランナ・ワークベンチ」を参照してください。
現在、次のKPIまたはパフォーマンス測定に対するターゲットは、BISアプリケーション内に設定されています。BISアプリケーションにアクセスすると、次のように各ディメンションでKPI(今は、パフォーマンス測定と呼ばれています)を設定できます。
組織合計ディメンションと時間合計ディメンションでのMRP売上総利益%
組織合計ディメンションと時間合計ディメンションでのMRP在庫回転率
組織合計ディメンションと時間合計ディメンションでのMRP納期搬送%
組織合計ディメンションと時間合計ディメンションでのMRP計画負荷率%

BISパーソナル・ホームページで、「実績管理フレームワーク (全アクセス)」をクリックします。
「パフォーマンス測定」をクリックします。
「パフォーマンス測定」ドロップダウン・ボックスで、適切なパフォーマンス測定(MRP売上総利益%」など)を選択します。
「ターゲット・レベルの表示」ボタンをクリックします。
適切なディメンション(「組織合計」、「時間合計」など)を示す行の「BIS_EDIT_VIEW」をクリックします。
アクセス・セクションまで下方へスクロールします。選択した「職責」に「実績管理フレームワーク (全アクセス)」と「実績管理フレームワーク (ターゲット・アクセス)」が含まれていることを確認します。
「ターゲットの保存および表示」ボタンをクリックします。
「組織」ドロップダウン・ボックスで「組織合計」を選択します。
「ターゲットの検索」ボタンをクリックします。
「抽出」ボタンをクリックします。
「ビジネス・プラン」ドロップダウン・ボックスで「標準」を選択します。
「リフレッシュ」ボタンをクリックします。
ターゲットが未設定で、設定する必要がある場合は、「新規ターゲット」ボタンをクリックします。
既存のターゲットを編集する場合は、編集するターゲットの「BIS_EDIT_VIEW」をクリックします。
ターゲットを入力します。
「保存」ボタンをクリックします。
「実績ターゲット詳細」バーの「ホーム」ボタンを使用して、次のターゲットの設定に進みます。
Oracle ASCPでは、KPIに基づいて計画実績をトラッキングできます。詳細は、「プランナ・ワークベンチ」を参照してください。
安全在庫違反に関するペナルティ・ファクタを減らします。
「計画オプション」->「最適化」タブを選択し、在庫回転率の最大化の目的に対する重み付けを増やし、その他の目的に対する重み付けを減らします。
計画担当または計画対象組織が制御する資材ソース(在庫など)が反映されるように、計画に使用するソース・ルールを変更します。たとえば、ソース・ルールに指定されている多数の在庫を使用して計画を実行すると、少数の在庫ソースのみを使用した場合に比べて在庫回転率が低下します。
生産資源生産能力の超過に関するペナルティ・ファクタを減らします。
生産資源稼働率の最大化の目的に対する重み付けを増やし、その他の目的に対する重み付けを減らします。
計画対象となる需要を増やします。資材生産能力不足のために需要をサポートできない場合は、この需要の増加によって、その他KPI(納期搬送など)が減少する場合があるため注意してください。
マージン率の計算で考慮されるペナルティ・ファクタを減らします。
マージン率の最大化の目的に対する重み付けを増やし、その他の目的に対する重み付けを減らします。
資材または生産資源、あるいはその両方の生産能力に制約がある場合、需要は要求日までに満たされず、受注はペナルティ原価が失われるか、遅延需要となります。「納期搬送の増加」で説明する処理を参照してください。
納期搬送が予定どおりに実行されないのは、資材生産能力または生産資源生産能力、あるいはその両方が足りないために、要求された搬送日を満たせない場合です。計画の実行後に発生した例外を調べると、資材生産能力と生産資源生産能力のうち、どちらが問題の要素であるかを判断できます。
需要に関する要求搬送日をすべて満たすために必要な資材生産能力と生産資源生産能力を決定するには、資材および生産能力による制約がない計画を実行して、生産資源および資材生産能力の総所要量を決定します(資材制約と生産資源制約を指定するには、「計画オプション」->「制約」タブを選択します)。
資材生産能力が不足している場合は、次の処理を実行します。
ボトルネックの仕入先に生産能力を追加します。
主要(制約付き)構成部品が使用できない場合は、使用可能な代替構成部品を指定します。
半組立品を供給する供給工場に生産能力を追加します。
生産資源生産能力が不足している場合は、次の処理を実行します。
ボトルネックの生産資源に生産能力を追加します。たとえば、シフト、アウトソーシング・プロバイダ、労働力を追加します。
使用可能な代替生産資源を指定します。
資材生産能力と生産資源生産能力に制約がない場合は、次の処理を実行します。
未達需要と遅延需要に関するペナルティ・ファクタを増やします。
納期搬送の目的に対する重み付けを増やし、他の目的に対する重み付けを減らします。
資材所要日が、仕入先から提供された資材使用可能日とは異なる場合があります。計画エンジンでは、計画の生成時にいずれか一方の日付を考慮できます。通常は、仕入先から資材が供給される日付として発注上の納期を使用します。ただし、回答納期がない場合、計画エンジンでは発注で指定された希望入手日が使用されます。仕入先が納期に関係なく常に希望入手日を満たしている場合は、「MSC: 発注納入予定日計算環境」プロファイル・オプションの値を「希望入手日」に設定できます。
次のダイアグラムに、仕入先による確認サイクルを示します。

計画エンジンに対して発注搬送の到着に使用する日付(納入予定日)を指示する手順は、次のとおりです。
「MSC: 発注納入予定日計算環境」プロファイル・オプションを設定します。このプロファイル・オプションに有効な値は、「希望入手日」または「納期」です。このプロファイル・オプションを「納期」に設定すると、計画エンジンでは仕入先からの納期が資材到着日とみなされます。このプロファイル・オプションの値を「希望入手日」に設定すると、計画エンジンでは発注で指定された希望入手日が資材使用可能日とみなされます。詳細は、「MSCプロファイル・オプション」を参照してください。
指定リフレッシュ・モードで収集を実行します。
「プランナ・ワークベンチ」で、収集された発注の計画を実行して納期と当初入手希望日を表示します。
次のステップでは、情報のフロー詳細を説明します。
計算された納入予定日を受け入れて発注をOracle Purchasingにリリースすると、Oracle Purchasingでは提示納入予定日が新規の希望入手日として使用され、当初納期は変更されません。仕入先に対して、再計画発注の確認を求める発注変更通知が送信されます。
仕入先はOracle iSupplier Portalを使用して、希望入手日を納期として受け入れるか、別の納期を指定できます。仕入先が希望入手日を受け入れた場合、Oracle iSupplier Portalではその日付が納期として使用されます。仕入先が新規の納期を指定すると、Oracle iSupplier Portalから購買担当に変更要求通知が送信されます。
購買担当は、Oracle Purchasingで発注の希望入手日と納期をレビューして更新できます。
次回の計画実行時には、提示納入予定日、当初希望入手日および新規納期を「プランナ・ワークベンチ」で表示できます。
仕入先から発注確認時に受注番号が提供されると、Oracle Collaborative Planningにより発注にペグされる受注が作成されます。納期は配送日として設定されます。仕入先が納期または数量を変更すると、Oracle Collaborative Planningで例外が作成されます。
発注が非確定であるか計画タイム・フェンス内にない場合、Oracle Advanced Planning and Schedulingでは、計画の再実行時に発注の再計画を推奨できます。
次の表に、特定のシナリオでOracle Collaborative Planningにより生成される例外メッセージを示します。
Oracle Advanced Supply Chain PlanningとOracle Demand Planningの間のコラボレーションを設定して、公開する予測シナリオに基づいて制約なしサプライ・チェーン計画を自動的に起動できます。
プロファイル・オプション「MSC: 新規需要予測自動計画」を、制約なしサプライ・チェーン計画に設定します。プロファイル・オプション「MSD: デフォルトDPシナリオ」で設定した需要計画シナリオが公開されると、プロファイル・オプション「MSC: 新規需要予測自動計画」で指定した制約なしサプライ・チェーン計画の実行が開始されます。
次の図に、顧客がOracle Collaborative Planningで予測をアップロードした後に実行される活動を示します。
Demand PlanningからSupply Planningへの自動化のサイクル

顧客からフラット・ファイルまたはユーザー・インタフェースを使用してオーダー予測がアップロードされた後、例外をレビューして、生成した予測と顧客予測の不一致に対処できます。予測をOracle Demand Planningに受け入れるために、「顧客からの予測を受入」プログラムが自動的に実行されます。Oracle Demand Planningエンジンにより、Oracle Demand Planningエンジン・サーバーに新規需要計画シナリオが公開されます。この処理により、プロファイル・オプションで指定した制約なしサプライ・チェーン計画が自動的に起動されます。
Oracle Advanced Planning and Schedulingを使用すると、仕入先とのコラボレーションを通じて供給不足による例外を追跡し、仕入先に通知を発行し、仕入先からの通知を受信できます。
自社と仕入先が次のタスク・リストを実行して、Oracle Advanced Supply Chain PlanningとOracle Collaborative Planningの間でコラボレーションを有効化する必要があります。
プロファイル・オプション「MSC: SCEMエンジン起動イベント」を「全て」に設定します。これにより、仕入先がオーダー予測をロードするか、自社が計画サーバーからオーダー予測を公開すると、サプライ・チェーン・イベント・マネージャ(SCEM)が自動的に起動します。このプロファイル・オプションを「公開」に設定すると、Oracle Advanced Supply Chain Planningから計画が公開される場合にのみ、サプライ・チェーン・イベント・マネージャが起動します。このプロファイル・オプションを「ロード」に設定すると、フラット・ファイルを使用してデータがロードされる場合にのみ、サプライ・チェーン・イベント・マネージャが起動します。
プロファイル・オプション「MSC: 構成」が値「APS & CP」に設定されていることを確認します。これにより、Oracle Advanced Supply Chain PlanningとOracle Collaborative Planning間のコラボレーションが有効化されます。
プロファイル・オプション「MSC: 新規供給コミット自動計画」で、自動的に起動する計画の名称を指定します。制約付き計画を指定することをお薦めします。
「プランナ・ワークベンチ」から仕入先にオーダー予測を公開します。これにより、サプライ・チェーン・イベント・マネージャが起動して資材超過が計算され、不足例外が生成されます。
仕入先は、Oracle Collaborative Planningで需要および供給情報をアップロードする必要があります。これによりサプライ・チェーン・イベント・マネージャが起動し、資材超過が計算されて不足例外が生成されます。サプライ・チェーン・イベント・マネージャでは、通知も生成されます。
仕入先は、Oracle Collaborative Planningで予測をアップロードまたは入力できます。仕入先が「管理」タブ・リージョンで「顧客への供給コミットの送信」リンクをクリックすると、「仕入先生産能力の受入」コンカレント・プロセスが実行されます。このプロセスにより、計画サーバー上の仕入先生産能力情報が更新されます。プロファイル・オプション「MSC: 新規供給コミット自動計画」が有効な計画を指していれば、その計画が自動的に起動します。