| Oracle® Communications EAGLE Database Administration - GTT User's Guide Release 46.7 E97332-02 |
|
![]() Previous |
![]() Next |
This procedure is used to add global title address (GTA) information for applicable global title selectors required to specify a global title entry. This command adds the routing object (a destination address and a subsystem number) for messages requiring global title translation. The translation is performed on the basis of the GTA, global title indicator (GTI), numbering plan (NP), nature of address indicator (NAI), and translation type (TT) of each SS7 SCCP message directed to the STP with a routing indicator of 0, indicating that global title translation is required.
The
ent-gta command uses these parameters:
:gttsn – The GTT set
name
:gta – The global title
address or the beginning value of a range of global title addresses
:egta – The end of
global title address
:pc/pca/pci/pcn/pcn24 –
The translated point code
:ssn – The translated
subsystem number
:ri – The routing
indicator
:xlat – The translate
indicator
:ccgt – The cancel
called global title indicator
:force – The check
mated application override
:actsn – The name of
the GTT action set that will be assigned to the GTA entry as shown in the
rtrv-gttaset output.
:gtmodid – The name of
the GT modification identifier that will be assigned to the GTA entry as shown
in the
rtrv-gtmod output and provisioned in
the
Adding Global Title Modification Information
procedure. The GT modification identifier contains the information to modify
the numbering plan, nature of address indicator, and the prefix or suffix
digits in the called party address or calling party address portion of outbound
MSUs.
:ppmeasreqd – This
parameter specifies whether per-path measurements are required for the GTA
entry.
:mrnset – The MRN set
ID, shown in the
rtrv-mrn output. This parameter can be
specified only, and must be specified, if the Flexible GTT Load Sharing feature
is enabled and if the
ri=gt parameter is specified with the
ent-gta command. If the Flexible GTT
Load Sharing feature is enabled, the point code specified with the
ent-gta command must be assigned to
the MRN set specified by this parameter. The status of the Flexible GTT Load
Sharing feature is shown in the
rtrv-ctrl-feat output. To enable the
Flexible GTT Load Sharing feature, performActivating the Flexible GTT Load Sharing Feature.
:mapset – The MAP set
ID, shown in the
rtrv-map output. This parameter can be
specified only, and must be specified, if the Flexible GTT Load Sharing feature
is enabled and if the
ri=ssn parameter is specified with the
ent-gta command. If the Flexible GTT
Load Sharing feature is enabled, the point code and SSN specified with the
ent-gta command must be assigned to
the MAP set specified by this parameter. The status of the Flexible GTT Load
Sharing feature is shown in the
rtrv-ctrl-feat output. To enable the
Flexible GTT Load Sharing feature, perform
Activating the Flexible GTT Load Sharing Feature.
:optsn – The optional
GTT set name shown in the
rtrv-gttset output.
Table 4-23
shows the types of GTT sets that can be specified for the
optsn parameter based on the type of
GTT set that is specified for the
gttsn parameter and the features that
are enabled and turned on.
Table 4-23 GTTSN and OPTSN Combinations
| GTTSN Set Type | OPTSN Set Type |
|---|---|
| Origin-Based SCCP Routing Feature Enabled Only | |
| CDGTA |
CGGTA, CGPC The OPC GTT set type can be specified with a CDGTA GTT set,
but the OPC GTT set is specified with the
|
| CGGTA | CGSSN |
| CGPC | CGSSN |
| CGSSN | The
optsn parameter cannot be specified.
|
| OPC | CGSSN |
| Flexible Linkset Optional Based Routing Enabled and Turned On Only | |
| CDGTA | CDGTA, DPC, CDSSN |
| CDSSN | CDSSN, DPC, CDGTA |
| DPC | DPC, CDSSN, CDGTA |
| Origin-Based SCCP Routing Enabled and Flexible Linkset Optional Based Routing Enabled and Turned On Only | |
| CDGTA |
CDGTA, CGGTA, CGPC, CGSSN, CDSSN, DPC, OPC The OPC GTT set type can be specified with a CDGTA GTT set,
but the OPC GTT set is specified with the
|
| CGGTA | CDGTA, CGGTA, CGPC, CGSSN, OPC, CDSSN, DPC |
| CGPC | CDGTA, CGGTA, CGSSN, CGPC, OPC, CDSSN, DPC |
| CGSSN | CDGTA, CGGTA, CGSSN, CGPC, OPC, CDSSN, DPC |
| OPC | CDGTA, CGGTA, CGPC, CGSSN, OPC, CDSSN, DPC |
| CDSSN | CDGTA, CGGTA, CGPC, CGSSN, OPC, DPC, CDSSN |
| DPC | CDGTA, CGGTA, CGPC, CGSSN, OPC, CDSSN, DPC |
| Flexible Linkset Optional Based Routing and TCAP Opcode Based Routing Feature Enabled and Turned On Only | |
| CDGTA | CDGTA, OPCODE, DPC, CDSSN |
| CDSSN | CDSSN, OPCODE, DPC, CDGTA |
| OPCODE | OPCODE, CDSSN, DPC, CDGTA |
| DPC | DPC, OPCODE, CDSSN, CDGTA |
| Origin-Based SCCP Routing Enabled, Flexible Linkset Optional Based Routing and TCAP Opcode Based Routing Feature Enabled and Turned On | |
| CDGTA |
CDGTA, CGGTA, CGPC, CGSSN, CDSSN, OPCODE, DPC, OPC The OPC GTT set type can be specified with a CDGTA GTT set,
but the OPC GTT set is specified with the
|
| CGGTA |
CDGTA, CGGTA, CGPC, CGSSN, CDSSN, OPCODE, OPC, DPC The
|
| CGPC |
CDGTA, CGGTA, CGPC, CGSSN, CDSSN, OPCODE, OPC, DPC The
|
| CGSSN |
CDGTA, CGGTA, CGPC, CGSSN, CDSSN, OPCODE, OPC, DPC The
|
| OPC | CDGTA, CGGTA, CGPC, CGSSN, OPC, CDSSN, OPCODE, DPC |
| CDSSN |
CDGTA, CGGTA, CGPC, CGSSN, CDSSN, OPCODE, DPC, OPC The OPC GTT set type can be specified with a CDSSN GTT set,
but the OPC GTT set is specified with the
|
| OPCODE |
CDGTA, CGGTA, CGPC, CGSSN, CDSSN, OPCODE, DPC, OPC The OPC GTT set type can be specified with an OPCODE GTT set,
but the OPC GTT set is specified with the
|
| DPC |
CDGTA, CGGTA, CGPC, CGSSN, CDSSN, OPCODE, DPC, OPC The OPC GTT set type can be specified with a DPC GTT set, but
the OPC GTT set is specified with the
|
:opcsn – The OPC GTT
set name shown in the
rtrv-gttset output.
:cgssn – The CgPA
subsystem number or the beginning value of a range of CgPA subsystem numbers
:ecgssn – The end value
of a range of CgPA subsystem numbers
:cgpc/cgpca/cgpci/cgpcn/cgpcn24 – The CgPA point code
:opc/opca/opci/opcn/opcn24 – The originating point code
:dpc/dpca/dpci/dpcn/dpcn24 – The destination point code
:cdssn – The CdPA
subsystem number or the beginning value of a range of CdPA subsystem numbers
:ecdssn – The end value
of a range of CdPA subsystem numbers
:cgselid – The CgPA
selector ID
:cdselid – The CdPA
selector ID
:fallback – The action
to be taken when the final translation does not match while performing global
title translation using a FLOBR-specific GTT mode.
:testmode – This
parameter invokes a field-safe test tool to debug the rules used for the
Flexible Linkset Optional Based Routing or TCAP Opcode Based Routing features.
:transmeasrqd - GTT Translation Measurement
Required. This parameter specifies whether to perform per GTT Translation
Measurements.
:cgcnvsn – The CgPA
conversion set name
:family – The ANSI TCAP
family field in the incoming message
:opcode – The TCAP
opcode field in the incoming message
:pkgtype – The TCAP
package type.
Table 4-31
shows the ANSI and ITU TCAP package types.
:acn – The application
context name (ACN) field in the ITU TCAP message
:loopset - The value of
this parameter is the name of the loopset that is assigned to the GTA. This
parameter can be specified only if the SCCP Loop Detection feature is enabled.
Enter the
rtrv-loopset command to verify that
the SCCP Loop Detection feature is enabled. By default, the value of the
loopset parameter is “none” because no
loopset is assigned to the GTA.
:cggtmod - The calling
party GT modification indicator. This parameter specifies whether or not
calling party global title modification is required. The values for this
parameter are
yes (calling party global title
modification is required) or
no (calling party global title
modification is not required). This parameter can be specified only if the
AMGTT or AMGTT CgPA Upgrade feature is enabled. Enter the
rtrv-ctrl-feat command to verify that
either the AMGTT or AMGTT CgPA Upgrade feature is enabled.
Note:
The command line on the terminal can contain up to 150 characters. If the parameters and values specified with theent-gta command are too long to fit on
the
ent-gta command line, perform
Changing Global Title Address Information
to complete adding the GTA entry.
The Global Title Translation (GTT) feature and the
Enhanced Global Title Translation (EGTT) feature must be
on before using this command. Use the
rtrv-feat command to verify the
settings. If the features are off, turn them on using the
chg-feat:gtt=on:egtt=on command.
Note:
Once the Global Title Translation (GTT) feature and the Enhanced Global Title Translation (EGTT) feature are turned on with thechg-feat command, they cannot be
turned off.
The GTT feature and the EGTT feature must be purchased before you turn these features on. If you are not sure whether you have purchased the GTT feature and/or the EGTT feature, contact your Oracle Sales Representative or Account Representative.
If the Variable-Length Global Title Translation (VGTT)
feature is off, shown the entry
VGTT = off, the global title address
length must be equal to the number of digits specified by the given GTT set
name. The length of the global title address can be verified with the
rtrv-gttset command.
If the Variable-Length Global Title Translation (VGTT)
feature is on, shown the entry
VGTT = on, up to 10 different length
global title addresses can be assigned to a GTT set. If the Support for 16 GTT
Lengths in VGTT feature is enabled and turned on, up to 16 different length
global title addresses can be assigned to a GTT set. The length of the global
title address is only limited by the range of values for the
gta and
egta parameters, one to 21 digits, and
by the global title addresses already assigned to the GTT set name. The
ndgt parameter of the
ent-gttset command has no effect on
the length of the global title address. As global title addresses of different
lengths are assigned to a specific translation type, these lengths are
displayed in the
NDGT field of the
rtrv-gttset command output, as shown
in the following example.
rlghncxa03w 09-07-07 00:30:31 GMT EAGLE5 41.1.0 GTTSN NETDOM NDGT lidb ansi 3, 7, 10 t800 ansi 6 si000 itu 15 imsi itu 15 abcd1234 itu 12 GTT-SET table is (5 of 2000) 1% full.
In this example of the
rtrv-gttset command output, the GTT
set
lidb contains three different length
global title addresses; global title addresses containing three digits, seven
digits, and 10 digits.
If the GTT set contains the maximum number of different
length global title addresses, and another global title address is specified
for the GTT set name, the length of the global title address being added to the
GTT set name must be the same as one of the lengths already assigned to the GTT
set name. If the length of the global title address does not match one of the
lengths already assigned to the GTT set name, the
ent-gta command is rejected with this
message
E4008 Cmd Rej: Exceeding max GTA Lengths
supported per GTTSET
If the GTT set name has less than the maximum number of different length global title addresses assigned to it, and another global title address is specified for the GTT set name, the length of the global title address can be from one to 21 digits and does not have to match the length of the other global title addresses assigned to the GTT set name.
Refer to Variable-length Global Title Translation Feature for more information about this feature.
The range, as specified by the start and end global
title addresses, cannot already exist in the global title translation data for
the specified translation type. If the ranges overlap, the range of global
title addresses cannot be split and the
ent-gta command is rejected with this
message.
E2401 Cmd Rej:GTA range overlaps a current
range
Along with error message 2401, a list of the overlapped global title addresses is displayed as shown in the following example.
rlghncxa03w 06-10-24 08:29:15 GMT EAGLE5 36.0.0 The following GTA ranges overlap the input GTA range START GTA END GTA 8005550000 8005551999 8005552000 8005553999 8005554000 8005555999 ENT-GTA: MASP A - Command Aborted
The translate indicator (xlat) must be
DPCSSN if the
SSN parameter is specified. If the
translate indicator is set to
DPCNGT, the value of the
RI parameter must be
GT.
XLAT parameter must be set to
DPCSSN and the value of the
RI parameter must be set to
SSN. If the
SSN parameter is specified and a point
code is the STP’s True PC, then the subsystem number specified must exist in
the SS-APPL table. This can be verified with the
rtrv-ss-appl command. To execute the
rtrv-ss-appl command, these features
must be enabled, and turned on if necessary.
LNP TNs with a quantity greater than
zero in the
rtrv-ctrl-feat command output
ATINP in the
rtrv-ctrl-feat command output with
the status set to on
EIR in the
rtrv-ctrl-feat command output as
being permanently or temporarily enabled and with the status set to on.
INP in the
rtrv-ctrl-feat command output with
the status set to on.
VFLEX in the
rtrv-ctrl-feat command output with
the status set to on.
ANSI-41 INP Query in the
rtrv-ctrl-feat command output with
the status set to on.
ANSI41 AIQ in the
rtrv-ctrl-feat command output.
Note:
The Local Number Portability (LNP), Equipment Identity Register (EIR), INAP Number Portability (INP), V-Flex, ATINP, ANSI41 AIQ, or ANSI-41 INP Query features must be purchased before you can enable the LNP, ATINP, or ANSI41 AIQ features, or enable and turn on the EIR, INP, V-Flex, or ANSI-41 INP Query features. If you are not sure whether you have purchased the LNP, EIR, or INP, V-Flex, ATINP, or ANSI-41 INP Query feature, contact your Oracle Sales Representative or Account Representative.Once the LNP, ATINP, or ANSI41 AIQ feature is enabled
with the
enable-ctrl-feat command, or the
EIR, INP, V-Flex, and ANSI-41 INP Query features are turned on with the
chg-ctrl-feat command, they cannot
be turned off or disabled.
A point code must exist as a destination in the route table or reside in a cluster that exists as a destination in the route table (for global title routing) unless the point code is the STP’s true point code.
If a final GTT is specified (ri=ssn) with the
xlat=dpc parameter, and the value of
the
force parameter is
no, the point code must be in the
Remote Point Code/Mated Application table. Verify this by entering the
rtrv-map command. If this point code
and subsystem number is not defined as a mated application, perform one of
these procedures to add the point code and subsystem number to the database as
a mated application:
The point code and subsystem number do not have to be in
the mated application table when the
ent-gta command is executed when these
parameters are specified with the
ent-gta command.
ri=gt
xlat=dpcssn and
ri=ssn (provided the point code
value is not the STP’s true point code)
If the point code and subsystem are not in the mated
application table when either of these parameters are specified with the
ent-gta command, the EAGLE creates a
solitary mated application in the mated application table using the point code
and subsystem values specified in the
ent-gta command.
xlat=none parameter is specified for a
global title translation, the global title translation entry can contain any
data except for the routing data defined by these parameters.
pc/pca/pci/pcn/pcn24
ssn
ri
force=yes
The
GTA
Entries with the XLAT=NONE Parameter part of the
GTT Actions
section described the behavior of the
xlat=none parameter.
ent-gta command.
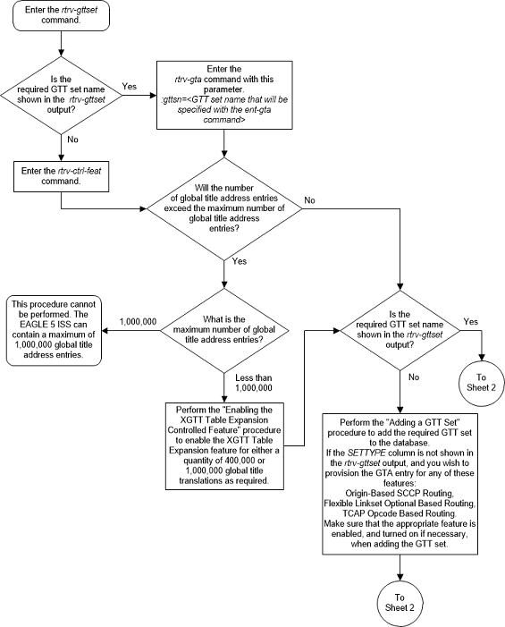
The EAGLE can contain 269,999, 400,000, or 1,000,000 global title addresses. The system default is 269,999 global title addresses. This quantity can be increased to 400,000 by enabling the feature access key for part number 893-0061-01, or to 1,000,000 by enabling the feature access key for part number 893-0061-10. For more information on enabling these feature access keys, refer to Enabling the XGTT Table Expansion Feature.
Canceling the
RTRV-GTA Command
Because the
rtrv-gta command used in this
procedure can output information for a long period of time, the
rtrv-gta command can be canceled and
the output to the terminal stopped. There are three ways that the
rtrv-gta command can be canceled.
F9 function key on the keyboard at
the terminal where the
rtrv-gta command was entered.
canc-cmd without the
trm parameter at the terminal where
the
rtrv-gta command was entered.
canc-cmd:trm=<xx>, where
<xx> is the terminal where the
rtrv-gta command was entered, from
another terminal other that the terminal where the
rtrv-gta command was entered. To
enter the
canc-cmd:trm=<xx> command, the
terminal must allow Security Administration commands to be entered from it and
the user must be allowed to enter Security Administration commands. The
terminal’s permissions can be verified with the
rtrv-secu-trm command. The user’s
permissions can be verified with the
rtrv-user or
rtrv-secu-user commands.
For more information about the
canc-cmd command, go to
Commands User's Guide.
Table 4-24 GTA Parameter Combinations - No SETTYPE Column in RTRV-GTTSET Output
| RI = GT XLAT=DPCNGT | RI = GT XLAT=DPCSSN | RI = GT XLAT=DPC | RI = SSN XLAT=DPCSSN | RI = SSN XLAT=DPC |
|---|---|---|---|---|
| Mandatory Parameters | ||||
| GTTSN | GTTSN | GTTSN | GTTSN | GTTSN |
|
PC/PCA/PCI/ PCN/PCN24 (See Notes 1, 2, and 6) |
PC/PCA/PCI/ PCN/PCN24 (See Notes 1, 2, and 6) |
PC/PCA/PCI/ PCN/PCN24 (See Notes 1, 2, and 6) |
PC/PCA/PCI/ PCN/PCN24 (See Notes 1, 2, and 6) |
PC/PCA/PCI/ PCN/PCN24 (See Notes 1, 2, and 6) |
| GTA (See Notes 3, 4, 5, and 7) | GTA (See Notes 3, 4, 5, and 7) | GTA (See Notes 3, 4, 5, and 7) | GTA (See Notes 3, 4, 5, and 7) | GTA (See Notes 3, 4, 5, and 7) |
| SSN | SSN | |||
|
If only the EGTT feature is on, the
There are other optional parameters that can be used with this entry. Refer to Table 4-33 for these parameters. |
||||
|
Parameter Values: GTTSN –
The GTT set name from the
GTA – 1 - 21 digits or 1 - 21 hexadecimal digits PC/PCA/PCI/PCN/PCN24 – See Note 1 SSN – 0 - 255 |
||||
|
Notes:
|
||||
Table 4-25 GTTSN = CDGTA GTT Set Parameter Combinations
| XLAT=DPCNGT, DPCSSN, or DPC | XLAT=NONE |
|---|---|
| Mandatory Parameters | |
GTTSN – The GTT set name from the
GTTSN column of the
rtrv-gttset output containing the value
CDGTA in the
SETTYPE column.
|
GTTSN – The GTT set name from the
GTTSN column of the
rtrv-gttset output containing the value
CDGTA in the
SETTYPE column.
|
| RI – GT, SSN (See Notes 6, 7, 8, and 9) | GTA – 1 - 21 digits or 1 - 21 hexadecimal digits (See Notes 3, 4, 5, and 10) |
| PC/PCA/PCI/PCN/PCN24 (See Notes 1, 2, and 6) | |
| GTA – 1 - 21 digits or 1 - 21 hexadecimal digits (See Notes 3, 4, 5, and 10) | |
| Optional Parameters | |
| SSN – 0 - 255. Default value – no SSN value is specified. (See Note 9) |
EGTA – 1 - 21 digits or 1 - 21 hexadecimal digits. (See Note 10) Default = same as the GTA value. The length of the EGTA value must be the same as the GTA
value. These parameters cannot be specified with the
xlat=none parameter.
|
OPTSN – The GTT set name from the
GTTSN column of the
rtrv-gttset output. Refer to
Table 4-23
for the valid GTT set types that can be specified. Default value – no GTT set
is specified.
|
|
OPCSN – The GTT set name from the
GTTSN column of the
rtrv-gttset output containing the value
OPC in the
SETTYPE column. Default value – no OPC GTT set
is specified.
|
|
| There are other optional parameters that can be used with this entry. Refer to Table 4-33 for these parameters. | |
|
Notes:
|
|
Table 4-26 GTTSN = CGGTA GTT Set Parameter Combinations
| XLAT=DPCNGT, DPCSSN, or DPC | XLAT=NONE |
|---|---|
| Mandatory Parameters | |
GTTSN – The GTT set name from the
GTTSN column of the
rtrv-gttset output containing the value
CGGTA in the
SETTYPE column.
|
GTTSN – The GTT set name from the
GTTSN column of the
rtrv-gttset output containing the value
CGGTA in the
SETTYPE column.
|
| RI – GT, SSN (See Notes 6, 7, 8, and 9) | GTA – 1 - 21 digits or 1 - 21 hexadecimal digits (See Notes 3, 4, 5, and 10) |
| PC/PCA/PCI/PCN/PCN24 (See Notes 1, 2, and 6) | |
| GTA – 1 - 21 digits or 1 - 21 hexadecimal digits (See Notes 3, 4, 5, and 10) | |
| Optional Parameters | |
| SSN – 0 - 255. Default value – no SSN value is specified. (See Note 9) |
EGTA – 1 - 21 digits or 1 - 21 hexadecimal digits. (See Note 10) Default = same as the GTA value. The length of the EGTA value must be the same as the GTA
value. These parameters cannot be specified with the
xlat=none parameter.
|
OPTSN – The GTT set name from the
GTTSN column of the
rtrv-gttset output. Refer to
Table 4-23
for the valid GTT set types that can be specified. Default value – no GTT set
is specified.
|
|
| There are other optional parameters that can be used with this entry. Refer to Table 4-33 for these parameters. | |
|
Notes:
|
|
Table 4-27 GTTSN = CGPC GTT Set Parameter Combinations
| XLAT=DPCNGT, DPCSSN, or DPC | XLAT=NONE |
|---|---|
| Mandatory Parameters | |
GTTSN – The GTT set name from the
GTTSN column of the
rtrv-gttset output containing the value
CGPC in the
SETTYPE column.
|
GTTSN – The GTT set name from the
GTTSN column of the
rtrv-gttset output containing the value
CGPC in the
SETTYPE column.
|
| RI – GT, SSN (See Notes 3, 4, 5, and 6) | CGPC/CGPCA/CGPCI/CGPCN/CGPCN24 (See Notes 1, 2, and 3) |
| PC/PCA/PCI/PCN/PCN24 (See Notes 1, 2, and 3) | |
| CGPC/CGPCA/CGPCI/CGPCN/CGPCN24 (See Notes 1, 2, and 3) | |
| Optional Parameters | |
| SSN – 0 - 255. Default value – no SSN value is specified. (See Note 3) |
These parameters cannot be specified with the
xlat=none parameter.
|
OPTSN – The GTT set name from the
GTTSN column of the
rtrv-gttset output. Refer to
Table 4-23
for the valid GTT set types that can be specified. Default value – no GTT set
is specified.
|
|
| There are other optional parameters that can be used with this entry. Refer to Table 4-33 for these parameters. The EGTA parameter cannot be specified with this entry. | |
|
Notes:
|
|
Table 4-28 GTTSN = CGSSN GTT Set Parameter Combinations
| XLAT=DPCNGT, DPCSSN, or DPC | XLAT=NONE |
|---|---|
| Mandatory Parameters | |
GTTSN – The GTT set name from the
GTTSN column of the
rtrv-gttset output containing the value
CGSSN in the
SETTYPE column.
|
GTTSN – The GTT set name from the
GTTSN column of the
rtrv-gttset output containing the value
CGSSN in the
SETTYPE column.
|
| RI = GT, SSN (See Notes 3, 4, 5, and 6) | CGSSN – 0 - 255 |
| PC/PCA/PCI/PCN/PCN24 (See Notes 1, 2, and 3) | |
| CGSSN – 0 - 255 | |
| Optional Parameters | |
| SSN – 0 - 255. Default value – no SSN value is specified. (See Note 3) |
ECGSSN – 0 - 255. Default value – no ECGSSN value is specified. The ECGSSN value must be greater than the CGSSN value. These parameters cannot be specified with the
xlat=none parameter.
|
| ECGSSN – 0 - 255. Default value – no ECGSSN value is specified. The ECGSSN value must be greater than the CGSSN value. | |
OPTSN – The GTT set name from the
GTTSN column of the
rtrv-gttset output. Refer to
Table 4-23
for the valid GTT set types that can be specified. Default value – no GTT set
is specified.
|
|
| There are other optional parameters that can be used with this entry. Refer to Table 4-33 for these parameters. The EGTA parameter cannot be specified with this entry. | |
|
Notes:
|
|
Table 4-29 GTTSN = OPC GTT Set Parameter Combinations
| XLAT=DPCNGT, DPCSSN, or DPC | XLAT=NONE |
|---|---|
| Mandatory Parameters | |
GTTSN – The GTT set name from the
GTTSN column of the
rtrv-gttset output containing the value
OPC in the
SETTYPE column.
|
GTTSN – The GTT set name from the
GTTSN column of the
rtrv-gttset output containing the value
OPC in the
SETTYPE column.
|
| RI – GT, SSN (See Notes 3, 4, 5, and 6) | OPC/OPCA/OPCI/OPCN/OPCN24 (See Notes 1, 2, and 3) |
| PC/PCA/PCI/PCN/PCN24 (See Notes 1, 2, and 3) | |
| OPC/OPCA/OPCI/OPCN/OPCN24 (See Notes 1, 2, and 3) | |
| Optional Parameters | |
| SSN – 0 - 255. Default value – no SSN value is specified. (See Note 3) |
These parameters cannot be specified with the
xlat=none parameter.
|
OPTSN – The GTT set name from the
GTTSN column of the
rtrv-gttset output. Refer to
Table 4-23
for the valid GTT set types that can be specified. Default value – no GTT set
is specified.
|
|
| There are other optional parameters that can be used with this entry. Refer to Table 4-33 for these parameters. The EGTA parameter cannot be specified with this entry. | |
|
Notes:
|
|
Table 4-30 GTTSN = CDSSN GTT Set Parameter Combinations
| XLAT=DPCNGT, DPCSSN, or DPC | XLAT=NONE |
|---|---|
| Mandatory Parameters | |
GTTSN – The GTT set name from the
GTTSN column of the
rtrv-gttset output containing the value
CDSSN in the
SETTYPE column.
|
GTTSN – The GTT set name from the
GTTSN column of the
rtrv-gttset output containing the value
CDSSN in the
SETTYPE column.
|
| RI = GT, SSN (See Notes 3, 4, 5, and 6) | CDSSN – 0 - 255 |
| PC/PCA/PCI/PCN/PCN24 (See Notes 1, 2, and 3) | |
| CDSSN – 0 - 255 | |
| Optional Parameters | |
| SSN – 0 - 255. Default value – no SSN value is specified. (See Note 3) |
ECDSSN – 0 - 255. Default value – no ECDSSN value is specified. The ECDSSN value must be greater than the CDSSN value. These parameters cannot be specified with the
xlat=none parameter.
|
| ECDSSN – 0 - 255. Default value – no ECDSSN value is specified. The ECDSSN value must be greater than the CDSSN value. | |
OPTSN – The GTT set name from the
GTTSN column of the
rtrv-gttset output. Refer to
Table 4-23
for the valid GTT set types that can be specified. Default value – no GTT set
is specified.
|
|
OPCSN – The GTT set name from the
GTTSN column of the
rtrv-gttset output containing the value
OPC in the
SETTYPE column. Default value – no OPC GTT set
is specified.
|
|
| There are other optional parameters that can be used with this entry. Refer to Table 4-33 for these parameters. The EGTA parameter cannot be specified with this entry. | |
|
Notes:
|
|
Table 4-31 GTTSN = OPCODE GTT Set Parameter Combinations
| XLAT=DPCNGT, DPCSSN, or DPC | XLAT=NONE | ||
|---|---|---|---|
| Mandatory Parameters | |||
GTTSN – The GTT set name from the
GTTSN column of the
rtrv-gttset output containing the value
OPCODE in the
SETTYPE column.
|
GTTSN – The GTT set name from the
GTTSN column of the
rtrv-gttset output containing the value
OPCODE in the
SETTYPE column.
|
||
| RI = GT, SSN (See Notes 3, 4, 5, and 6) | OPCODE – 0 - 255, *, none | ||
| PC/PCA/PCI/PCN/PCN24 (See Notes 1, 2, and 3) | ANSI TCAP Translation | ITU TCAP Translation | |
| OPCODE – See Notes 7, 10, and 11 | FAMILY – See Notes 8, 10, and 11 | ACN – The application context name – See Notes 9 and 10 | |
| ANSI TCAP Translation | ITU TCAP Translation | PKGTYPE – ansiabort, ansiumi, any, cwop, cwp, qwop, qwp, resp | PKGTYPE – any, bgn, cnt, end, ituabort, ituumi |
| FAMILY – See Notes 8, 10, and 11 | ACN – The application context name – See Notes 9 and 10 | ||
| PKGTYPE – ansiabort, ansiumi, any, cwop, cwp, qwop, qwp, resp | PKGTYPE – any, bgn, cnt, end, ituabort, ituumi | ||
| Optional Parameters | |||
| SSN – 0 - 255. Default value – no SSN value is specified. (See Note 3) |
These parameters cannot be specified with the
xlat=none parameter.
|
||
OPTSN – The GTT set name from the
GTTSN column of the
rtrv-gttset output. Refer to
Table 4-23
for the valid GTT set types that can be specified. Default value – no GTT set
is specified.
|
|||
|
OPCSN – The GTT set name from the
|
|||
|
There are other optional parameters that can be used with this entry. Refer to Table 4-33 for these parameters. The EGTA parameter cannot be specified with this entry. |
|||
|
Notes:
|
|||
Table 4-32 GTTSN = DPC GTT Set Parameter Combinations
| XLAT=DPCNGT, DPCSSN, or DPC | XLAT=NONE |
|---|---|
| Mandatory Parameters | |
GTTSN – The GTT set name from the
GTTSN column of the
rtrv-gttset output containing the value
DPC in the
SETTYPE column.
|
GTTSN – The GTT set name from the
GTTSN column of the
rtrv-gttset output containing the value
DPC in the
SETTYPE column.
|
| RI – GT, SSN (See Notes 3, 4, 5, and 6) | DPC/DPCA/DPCI/DPCN/DPCN24 (See Notes 1, 2, and 3) |
| PC/PCA/PCI/PCN/PCN24 (See Notes 1, 2, and 3) | |
|
DPC/DPCA/DPCI/DPCN/DPCN24 (See Notes 1, 2, and 3) |
|
| Optional Parameters | |
|
SSN – 0 - 255. Default value – no SSN value is specified. (See Note 3) |
These parameters cannot be specified with the
xlat=none parameter.
|
|
OPTSN – The GTT set name from the
|
|
|
There are other optional parameters that can be used with this entry. Refer to Table 4-33 for these parameters. The EGTA parameter cannot be specified with this entry. |
|
|
Notes:
|
|
Table 4-33 Optional GTA Parameters
EGTA – 1 - 21 digits or 1 - 21 hexadecimal digits. Default =
same as the GTA value. Hexadecimal digits (0-9, a-f, A-F) can be specified for
the
egta parameter only if the Hex Digit support
for GTT feature is enabled.
|
MRNSET – MRN set ID from the
rtrv-mrn output. The
mrnset parameter can be specified only, and
must be specified, if the Flexible GTT Load Sharing feature is enabled.
|
LOOPSET – Loopset name from the
rtrv-loopset output. The
loopset parameter can be specified only if the
SCCP Loop Detection feature is enabled.
|
CGGTMOD – yes, no. Default = no. The
cggtmod parameter can be specified only if the
AMGTT or AMGTT CgPA Upgrade feature is enabled.
|
CCGT – yes, no. Default = no. If the point code is the
EAGLE’s point code, then the value of the
ccgt parameter must be set to
no.
|
MAPSET – MAP set ID from the
rtrv-map output. The
mapset parameter can be specified only, and
must be specified, if the Flexible GTT Load Sharing feature is enabled.
|
FORCE – yes, no. Default = no. If the
pc/pca/pci/pcn/pcn24
parameter value is not shown in the
rtrv-map output, the
force=yes parameter must be specified with the
ent-gta command.
|
| TESTMODE – on, off. Default = off. |
| FALLBACK – sysdflt, yes, no. Default = sysdflt. The Flexible Linkset Optional Based Routing feature must be enabled and turned on to use this parameter. |
| CGSELID – 0 - 65534. Default = no CGSELID value is specified. The Origin-Based SCCP Routing feature must be enabled or the Flexible Linkset Optional Based Routing feature must be enabled and turned on to use this parameter. |
| CDSELID – 0 - 65534. Default = no CDSELID value is specified. The Flexible Linkset Optional Based Routing feature must be enabled and turned on to use this parameter |
CGCNVSN – GTT set name shown in the
rtrv-gttset output. Default = no CGCNVSN value
is specified. The ANSI/ITU SCCP Conversion feature must be enabled, and the
Flexible Linkset Optional Based Routing feature must be enabled and turned on
to use this parameter.
|
ACTSN – The name of the GTT action set name shown in the
rtrv-gttaset output. Default = no ACTSN value
is specified. The
actsn parameter can be specified only if the
GTT Action - DISCARD, GTT Action - DUPLICATE, GTT Action - FORWARD feature is
enabled.
|
GTMODID – The name of the GT modification identifier shown
in the
rtrv-gtmod output. Default = no GTMODID value
is specified. If the NGTI value in the global title modification entry is 4,
the point code that will be assigned to the GTA entry must be an ITU point
code.
|
|
PPMEASREQD – This parameter specifies whether per-path
measurements are required for the GTA entry. This parameter has two values.
|
Figure 4-12 Add Global Title Address Information - Sheet 1 of 9

Figure 4-13 Add Global Title Address Information - Sheet 2 of 9

Figure 4-14 Add Global Title Address Information - Sheet 3 of 9

Figure 4-15 Add Global Title Address Information - Sheet 4 of 9

Figure 4-16 Add Global Title Address Information - Sheet 5 of 9

Figure 4-17 Add Global Title Address Information - Sheet 6 of 9

Figure 4-18 Add Global Title Address Information - Sheet 7 of 9

Figure 4-19 Add Global Title Address Information - Sheet 8 of 9

Figure 4-20 Add Global Title Address Information - Sheet 9 of 9
