9 Allowed Destination Point Code (DPC) Screen Configuration
Chapter 9, Allowed Destination Point Code (DPC) Screen Configuration, contains the procedures necessary to configure allowed destination point code screens.
Introduction
The allowed destination point code (DPC) screen identifies a set of DPC's that are allowed to receive SS7 messages from another network. The gray shaded areas in Figure 9-4 shows the fields of the SS7 message that are checked by the allowed DPC screening function.
Gateway Screening Actions
If a match is not found, the message is discarded.
If a match is found, the nsfi is examined to determine the next step in the screening process. If the nsfi value is any value other than stop, the next screening reference (nsr) is identified and the screening process continues to the next screen identified by the nsfi and nsr parameter values.
nsfi is equal to stop, the screening process stops and the message is processed. If a gateway screening stop action set is specified with the screen, shown by the actname parameter value, the message is processed according to the gateway screening stop actions that are assigned to the gateway screening stop action set.
- If the
rdct(redirect) gateway screening stop action is specified,the message is diverted from the original destination and sent to another destination with the Database Transport Access feature, specified by global title translation, for further processing. - If the
cncfgateway screening stop action is specified, the PIP parameter in the incoming ISUP IAM message is converted to the GN parameter. The GN parameter in the incoming ISUP IAM message is converted to the PIP parameter. The message is then sent to the node specified by the DPC in the routing label in the message. For more information on the Calling Name Conversion Facility feature, see Calling Name Conversion Facility (CNCF) Configuration. - If the
tlnpgateway screening stop action is specified, ISUP IAMs that pass gateway screening are processed either by the ISUP NP with EPAP feature (if the ISUP NP with EPAP feature is enabled and turned on) or by the Triggerless LNP feature (if the Triggerless LNP feature is turned on). The ISUP NP with EPAP feature is discussed in more detail in G-Port User's Guide. The Triggerless LNP feature is discussed in more detail in ELAP Administration and LNP Feature Activation Guide. - If the
tinpgateway screening stop action is specified, ISUP IAMs that pass gateway screening are intercepted by the Triggerless ISUP based Number Portability (TINP) feature and converted to include the routing number (RN) if the call is to a ported number. The TINP feature is discussed in more detail in G-Port User's Guide. - If the
tif,tif2, ortif3gateway screening stop actions are specified, TIF processing is applied to the message. - If the
sccpgateway screening stop action is specified, MTP routed SCCP UDT/XUDT are forwarded to the service modules for further processing.
Allowed DPC Screening Actions
Figure 9-1 through Figure 9-3 show the screening actions of the allowed DPC screen.
Figure 9-1 Allowed DPC Screening Actions - Sheet 1 of 3

Figure 9-2 Allowed DPC Screening Actions - Sheet 2 of 3

Figure 9-3 Allowed DPC Screening Actions - Sheet 3 of 3

Figure 9-4 Allowed DPC Screening Functions

Adding an Allowed DPC Screen
This procedure is used to add an allowed destination
point code (DPC) screen to the database using the
ent-scr-dpc command. The parameters
used by the
ent-scr-dpc command are shown in the
Gateway Screening Attributes
section. The general rules that apply to configuring gateway screening entities
are shown in the
Gateway Screening Configuration
section.
The examples in this procedure are used to add the allowed DPC screen data shown in Table 9-1 and based on the example configurations shown in Figure 2-3, Figure 2-5, and Figure 2-9.
Table 9-1 Example Gateway Screening Allowed DPC Configuration Table
| Screening Reference | NI | NC | NCM | NSFI | NSR |
|---|---|---|---|---|---|
| gws9 | 003 | 003 | 003 | blkdpc | gw12 |
| iec | 070 | 070 | 025&&135 | blkdpc | gws9 |
| isp2 | 073 | 200 | 059 | isup | isp2 |
| tup1 | 050 | 034 | 049 | isup | tup1 |
Note:
If you using multiple-part ITU national point codes with gateway screening, see the 14-Bit ITU National Point Code Formats section.The allowed DPC screen can reference one of the following screens.
- Blocked DPC
- Allowed Affected Destination Field
- Allowed CGPA
- Allowed ISUP
Verifying the Gateway Screening Configuration
Enter the following commands to verify that these screens are in the database.
rtrv-scr-blkdpc:all=yesrtrv-scr-destfld:all=yesrtrv-scr-cgpa:all=yesrtrv-scr-isup:all=yes
Gateway Screening Configuration Procedures
If the desired screen is not in the database, perform one of these procedures to add the desired screen to the database or change an existing screen in the database.
- Adding a Blocked DPC Screen
- Adding an Allowed Affected Destination Field Screen
- Adding an Allowed Calling Party Address Screen
- Adding an Allowed ISUP Message Type Screen
- Changing a Blocked DPC Screen
- Changing an Allowed Affected Destination Field Screen
- Changing an Allowed Calling Party Address Screen
- Changing an Allowed ISUP Message Type Screen
Specifying a Range of Values
A range of values can be specified for the point code
parameters
ni,
nc, or
ncm.
If a range of values is specified for any of these parameters, and the value of the other parameters match existing values for the screening reference name, the range of values for the point code parameter cannot include any values for that parameter that are currently provisioned for the screening reference name.
For example, screening reference name
scr1 contains these entries:
SR NI NC NCM NSFI NSR/ACT
SCR1 240 001 010 CGPA ------
SCR1 241 010 020 STOP ------
Another entry for screening reference
scr1 with the
ni value of 240 and the
nc value of 001 cannot be specified if
the range of values for the
ncm parameter includes the value 010.
The ANSI point code parameter values can be specified as
a single value, a range of values, or with an asterisk (*). The asterisk
specifies all possible values for the
ni,
nc, and
ncm parameters.
Table 9-2
shows the valid combinations of these parameter values.
Table 9-2 Valid Value Combinations for ANSI Point Code Parameters
| NI | NC | NCM |
|---|---|---|
| Single Value | Single Value | Single Value |
| Single Value | Single Value | Range of Values |
| Single Value | Single Value | Asterisk |
| Single Value | Range of Values | Asterisk |
| Single Value | Asterisk | Asterisk |
| Range of Values | Asterisk | Asterisk |
| Asterisk | Asterisk | Asterisk |
A range of values can also be specified for an ITU-I or 24-bit ITU-N point code parameter using a combination of asterisks (*) and single values for the point code parameters. Table 9-3 shows the valid combinations of the ITU-I parameter values. Table 9-4 shows the valid combinations of the 24-bit ITU-N parameter values.
Table 9-3 Valid Value Combinations for ITU-I Point Code Parameters
| ZONE | AREA | ID |
|---|---|---|
| Single Value | Single Value | Single Value |
| Single Value | Single Value | Asterisk |
| Single Value | Asterisk | Asterisk |
| Asterisk | Asterisk | Asterisk |
Table 9-4 Valid Value Combinations for 24-Bit ITU-N Point Code Parameters
| MSA | SSA | SP |
|---|---|---|
| Single Value | Single Value | Single Value |
| Single Value | Single Value | Asterisk |
| Single Value | Asterisk | Asterisk |
| Asterisk | Asterisk | Asterisk |
Figure 9-5 Add an Allowed DPC Screen - Sheet 1 of 5

Figure 9-6 Add an Allowed DPC Screen - Sheet 2 of 5

Figure 9-7 Add an Allowed DPC Screen - Sheet 3 of 5

Figure 9-8 Add an Allowed DPC Screen - Sheet 4 of 5

Figure 9-9 Add an Allowed DPC Screen - Sheet 5 of 5

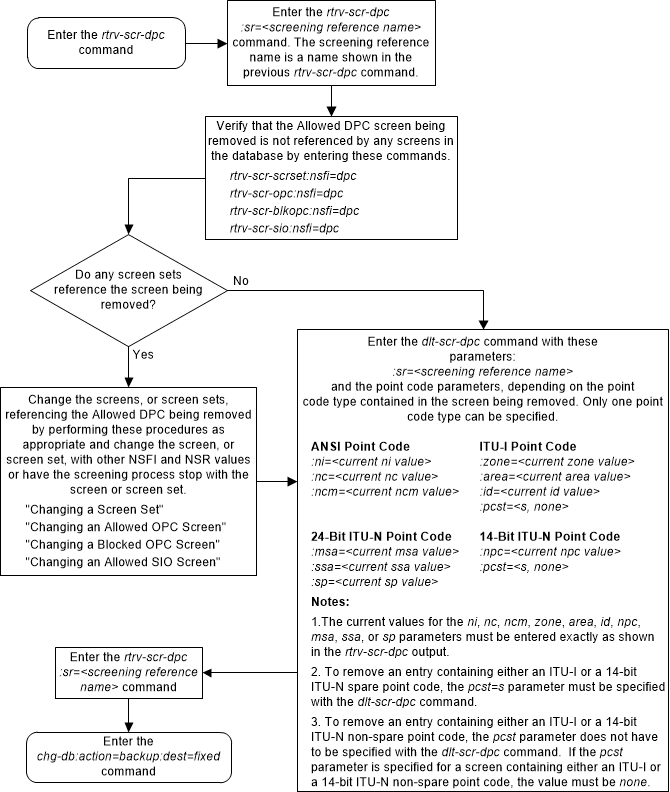
Removing an Allowed DPC Screen
This procedure is used to remove an allowed destination
point code (DPC) screen from the database using the
dlt-scr-dpc command. The parameters
used by the
dlt-scr-dpc command are shown in the
Gateway Screening Attributes
section. The general rules that apply to configuring gateway screening entities
are shown in the
Gateway Screening Configuration
section.
The example in this procedure removes the allowed DPC
screen
gws9 from the database.
Note:
If you using multiple-part ITU national point codes with gateway screening, see the 14-Bit ITU National Point Code Formats section.The allowed DPC screen can be referenced by one of the following screens.
- Screen Set
- Allowed OPC
- Blocked OPC
- Allowed SIO
Verifying the Gateway Screening Configuration
Enter the following commands to verify that none of these screens reference the allowed DPC screen being removed from the database.
-
rtrv-scrset:nsfi=dpc -
rtrv-scr-opc:nsfi=dpc -
rtrv-scr-blkopc:nsfi=dpc -
rtrv-scr-sio:nsfi=dpc
Gateway Screening Configuration Procedures
To change the NSFI of any of these screens, perform one of these procedures.
Figure 9-10 Remove an Allowed DPC Screen

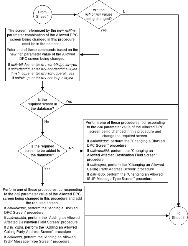
Changing an Allowed DPC Screen
This procedure is used to change the attributes of an
allowed destination point code (DPC) screen in the database using the
chg-scr-dpc command. The parameters
used by the
chg-scr-dpc command are shown in the
Gateway Screening Attributes
section. The general rules that apply to configuring gateway screening entities
are shown in the
Gateway Screening Configuration
section.
The example in this procedure change point code in the
allowed DPC screen
gws9 to 009-009-009 and change the
nsfi to
stop.
Note:
If you using multiple-part ITU national point codes with gateway screening, see the 14-Bit ITU National Point Code Formats section.The allowed DPC screen can reference one of the following screens.
- Blocked DPC
- Allowed Affected Destination Field
- Allowed CGPA
- Allowed ISUP Message Type
Verifying the Gateway Screening Configuration
Enter the following commands to verify that these screens are in the database.
rtrv-scr-blkdpc:all=yesrtrv-scr-destfld:all=yesrtrv-scr-cgpa:all=yesrtrv-scr-isup:all=yes
Gateway Screening Configuration Procedures
If the desired screen is not in the database, perform one of these procedures to add the desired screen to the database or change an existing screen in the database.
- Adding a Blocked DPC Screen
- Adding an Allowed Affected Destination Field Screen
- Adding an Allowed Calling Party Address Screen
- Adding an Allowed ISUP Message Type Screen
- Changing a Blocked DPC Screen
- Changing an Allowed Affected Destination Field Screen
- Changing an Allowed Calling Party Address Screen
- Changing an Allowed ISUP Message Type Screen
Specifying a Range of Values
A range of values can be specified for the point code
parameters
ni,
nc, or
ncm.
If a range of values is specified for any of these parameters, and the value of the other parameters match existing values for the screening reference name, the range of values for the point code parameter cannot include any values for that parameter that are currently provisioned for the screening reference name.
For example, screening reference name
scr1 contains these entries:
SR NI NC NCM NSFI NSR/ACT
SCR1 240 001 010 CGPA ------
SCR1 241 010 020 STOP ------
Another entry for screening reference
scr1 with the
ni value of 240 and the
nc value of 001 cannot be specified if
the range of values for the
ncm parameter includes the value 010.
The ANSI point code parameter values can be specified as
a single value, a range of values, or with an asterisk (*). The asterisk
specifies all possible values for the
ni,
nc, and
ncm parameters.
Table 9-5
shows the valid combinations of these parameter values.
Table 9-5 Valid Value Combinations for ANSI Point Code Parameters
| NI | NC | NCM |
|---|---|---|
| Single Value | Single Value | Single Value |
| Single Value | Single Value | Range of Values |
| Single Value | Single Value | Asterisk |
| Single Value | Range of Values | Asterisk |
| Single Value | Asterisk | Asterisk |
| Range of Values | Asterisk | Asterisk |
| Asterisk | Asterisk | Asterisk |
A range of values can also be specified for an ITU-I or 24-bit ITU-N point code parameter using a combination of asterisks (*) and single values for the point code parameters. Table 9-6 shows the valid combinations of the ITU-I parameter values. Table 9-7 shows the valid combinations of the 24-bit ITU-N parameter values.
Table 9-6 Valid Value Combinations for ITU-I Point Code Parameters
| ZONE | AREA | ID |
|---|---|---|
| Single Value | Single Value | Single Value |
| Single Value | Single Value | Asterisk |
| Single Value | Asterisk | Asterisk |
| Asterisk | Asterisk | Asterisk |
Table 9-7 Valid Value Combinations for 24-Bit ITU-N Point Code Parameters
| MSA | SSA | SP |
|---|---|---|
| Single Value | Single Value | Single Value |
| Single Value | Single Value | Asterisk |
| Single Value | Asterisk | Asterisk |
| Asterisk | Asterisk | Asterisk |
Figure 9-11 Change an Allowed DPC Screen - Sheet 1 of 6

Figure 9-12 Change an Allowed DPC Screen - Sheet 2 of 6

Figure 9-13 Change an Allowed DPC Screen - Sheet 3 of 6

Figure 9-14 Change an Allowed DPC Screen - Sheet 4 of 6

Figure 9-15 Change an Allowed DPC Screen - Sheet 5 of 6

Figure 9-16 Change an Allowed DPC Screen - Sheet 6 of 6
