10 Allowed Signaling Information Octet (SIO) Screen Configuration
Chapter 10, Allowed Signaling Information Octet (SIO) Screen Configuration, contains the procedures necessary to configure allowed signaling information octet screens.
Introduction
The allowed signaling information octet (SIO) screen identifies the type of MSUs (ISUP, TCAP, etc.) that are allowed into the network. The gray shaded areas in Figure 10-4 shows the fields of the SS7 message that are checked by the allowed SIO screening function.
Gateway Screening Actions
If a match is not found, the message is discarded.
If a match is found, the nsfi is examined to determine the next step in the screening process. If the nsfi value is any value other than stop, the next screening reference (nsr) is identified and the screening process continues to the next screen identified by the nsfi and nsr parameter values.
nsfi is equal to stop, the screening process stops and the message is processed. If a gateway screening stop action set is specified with the screen, shown by the actname parameter value, the message is processed according to the gateway screening stop actions that are assigned to the gateway screening stop action set.
- If the
rdct(redirect) gateway screening stop action is specified,the message is diverted from the original destination and sent to another destination with the Database Transport Access feature, specified by global title translation, for further processing. - If the
cncfgateway screening stop action is specified, the PIP parameter in the incoming ISUP IAM message is converted to the GN parameter. The GN parameter in the incoming ISUP IAM message is converted to the PIP parameter. The message is then sent to the node specified by the DPC in the routing label in the message. For more information on the Calling Name Conversion Facility feature, see Calling Name Conversion Facility (CNCF) Configuration. - If the
tlnpgateway screening stop action is specified, ISUP IAMs that pass gateway screening are processed either by the ISUP NP with EPAP feature (if the ISUP NP with EPAP feature is enabled and turned on) or by the Triggerless LNP feature (if the Triggerless LNP feature is turned on). The ISUP NP with EPAP feature is discussed in more detail in G-Port User's Guide. The Triggerless LNP feature is discussed in more detail in ELAP Administration and LNP Feature Activation Guide. - If the
tinpgateway screening stop action is specified, ISUP IAMs that pass gateway screening are intercepted by the Triggerless ISUP based Number Portability (TINP) feature and converted to include the routing number (RN) if the call is to a ported number. The TINP feature is discussed in more detail in G-Port User's Guide. - If the
tif,tif2, ortif3gateway screening stop actions are specified, TIF processing is applied to the message. - If the
sccpgateway screening stop action is specified, MTP routed SCCP UDT/XUDT are forwarded to the service modules for further processing.
Allowed SIO Screening Actions
The value of the
nsfi parameter is based on the value of
the service indicator (si) parameter.
Table 10-1
shows the valid combinations of
nsfi values and service indicator
values.
Table 10-1 Valid Parameter Combinations for the Allowed SIO Screening Function
| Service Indicator (SI) Values | Nest Screening Function Identifier (NSFI) Values |
|---|---|
| 0 | DPC, BLKDPC, DESTFLD |
| 3 | DPC, BLKDPC, CGPA, CDPA |
| 4, 5 | DPC, BLKDPC, ISUP |
| All other values (1, 2, 6-15) | DPC, BLKDPC |
Messages containing the service indicator value 4 are TUP messages, and messages containing the service indicator value 5 are ISUP messages. Both types of messages are screened using the allowed ISUP screen. TUP messages can be screened for point codes, after the SIO screen, with the allowed and blocked DPC screens. However, if the screen set does not contain an allowed SIO screen that screens for TUP messages (messages with the service indicator value of 4), the message will be treated by the allowed ISUP message type screen as an ISUP message, even if the message contains the service indicator value of 4.
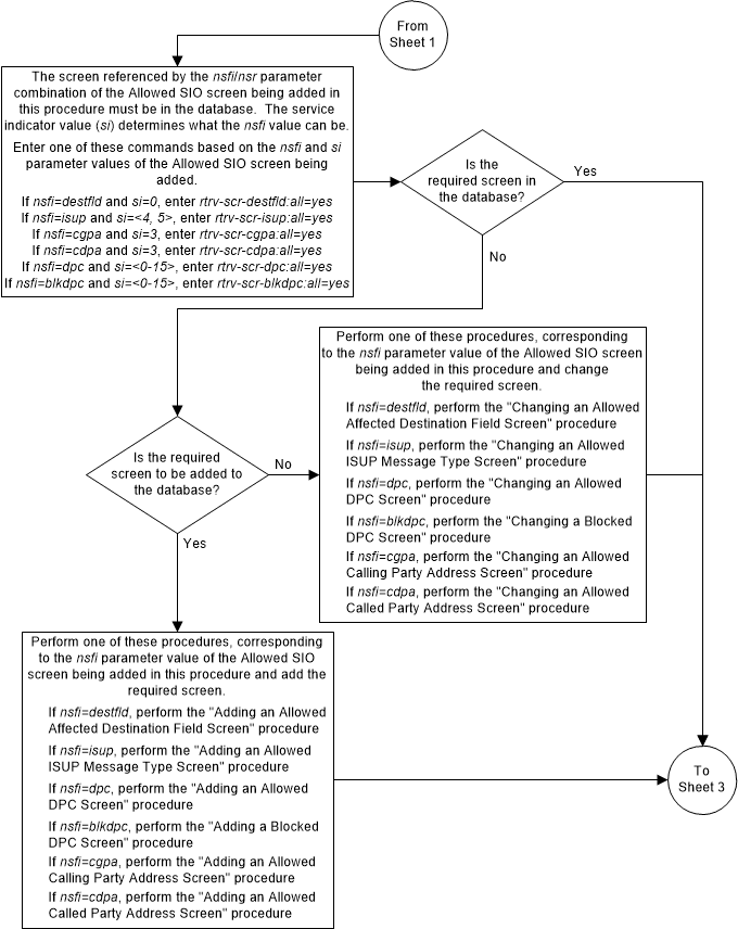
Figure 10-1 through Figure 10-3 shows the screening actions of the allowed SIO screen.
Figure 10-1 Allowed SIO Screening Actions - Sheet 1 of 3

Figure 10-2 Allowed SIO Screening Actions - Sheet 2 of 3

Figure 10-3 Allowed SIO Screening Actions - Sheet 3 of 3

Figure 10-4 Allowed SIO Screening Function

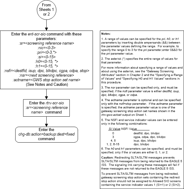
Adding an Allowed SIO Screen
This procedure is used to add an allowed signaling
information octet (SIO) screen to the database using the
ent-scr-sio command. The parameters
used by the
ent-scr-sio command are shown in the
Gateway Screening Attributes
section. The general rules that apply to configuring gateway screening entities
are shown in the
Gateway Screening Configuration
section.
The examples in this procedure are used to add the allowed SIO screen data shown in Table 10-2 and based on the example configurations shown in Figure 2-4, Figure 2-6, Figure 2-7, Figure 2-8, and Figure 2-9.
Table 10-2 Example Gateway Screening Allowed SIO Configuration Table
| Screening Reference | NIC | SI | H0 | H1 | PRI | NSFI | NSR |
|---|---|---|---|---|---|---|---|
| fld4 | 2 | 0 | 4 | 5 | 3 | destfld | fld5 |
| iec | 2 | 3 | -- | -- | 1&&3 | cgpa | gw11 |
| ls02 | 2 | 3 | -- | -- | 3 | cdpa | ls03 |
| isp1 | 2 | 5 | -- | -- | 3 | isup | isp1 |
| tup1 | 2 | 4 | -- | -- | 3 | dpc | tup1 |
| tup1 | 2 | 5 | -- | -- | 3 | dpc | isp2 |
The allowed SIO screen can reference one of the following screens.
- Allowed DPC
- Blocked DPC
- Allowed Affected Destination Field
- Allowed ISUP Message Type
- Allowed CGPA
- Allowed CDPA
Verifying the Gateway Screening Configuration
Enter the following commands to verify that these screens are in the database.
rtrv-scr-dpc:all=yesrtrv-scr-blkdpc:all=yesrtrv-scr-destfld:all=yesrtrv-scr-isup:all=yesrtrv-scr-cgpa:all=yesrtrv-scr-cdpa:all=yes
Gateway Screening Configuration Procedures
If the desired screen is not in the database, perform one of these procedures to add the desired screen to the database or change an existing screen in the database.
- Adding an Allowed DPC Screen
- Adding a Blocked DPC Screen
- Adding an Allowed Affected Destination Field Screen
- Adding an Allowed ISUP Message Type Screen
- Adding an Allowed Calling Party Address Screen
- Adding an Allowed Called Party Address Screen
- Changing an Allowed DPC Screen
- Changing a Blocked DPC Screen
- Changing an Allowed Affected Destination Field Screen
- Changing an Allowed ISUP Message Type Screen
- Changing an Allowed Calling Party Address Screen
- Changing an Allowed Called Party Address Screen
Specifying a Range of Values
A range of values can be specified for the
pri,
h0, and
h1 parameters. If a range of values is
specified for any of these parameters and the
nic and
si values in the screening reference
name are not changed, the range of values for the
pri,
h0, or
h1 parameters cannot include any
values that are currently provisioned for the screening reference name.
For example, screening reference name
scr1 contains these entries:
SR NIC PRI SI H0 H1 NSFI NSR/ACT
SCR1 2 3 1 4 5 DPC LS03
SCR1 2 2 1 2 7 BLKDPC LS04
Another entry for screening reference
scr1 with the same
nic and
si values cannot be specified if:
- The range of values for the
priparameter includes the values 2 or 3 - The range of values for the
h0parameter includes the values 2 or 4 - The range of values for the
h1parameter includes the values 5 or 7.
Specifying H0 and H1 Values
The
h0 and
h1 values must be specified if the
si value is 0, 1, or 2. If the
si value is 3 through 15, the
h0 and
h1 parameters cannot be specified.
The
h0 and
h1 parameters must be specified if
either parameter is specified.
The H0 and H1 heading code values can be a single value,
a range of values with the beginning and end of the range separated by double
ampersands (for example, a range of values from 2 to 9, 2&&9), or with
an asterisk (*). The asterisk specifies all possible values for the
h0 and
h1 parameters.
Table 10-3
shows the valid combinations of these parameter values.
Table 10-3 Valid Value Combinations for H0 and H1 Parameters
| H0 | H1 |
|---|---|
| Single Value | Single Value |
| Single Value | Range of Values |
| Single Value | Asterisk |
| Range of Values | Asterisk |
| Asterisk | Asterisk |
Figure 10-5 Add an Allowed SIO Screen - Sheet 1 of 3

Figure 10-6 Add an Allowed SIO Screen - Sheet 2 of 3

Figure 10-7 Add an Allowed SIO Screen - Sheet 3 of 3

Removing an Allowed SIO Screen
This procedure is used to remove an allowed signaling
information octet (SIO) screen from the database using the
dlt-scr-sio command. The parameters
used by the
dlt-scr-sio command are shown in the
Gateway Screening Attributes
section. The general rules that apply to configuring gateway screening entities
are shown in the
Gateway Screening Configuration
section.
The example in this procedure removes the allowed SIO
screen
ls02 from the database.
The allowed SIO screen can be referenced by one of the following screens.
- Screen Set
- Allowed OPC
- Blocked OPC
Verifying the Gateway Screening Configuration
Enter the following commands to verify that none of these screens reference the allowed SIO screen being removed from the database.
-
rtrv-scrset:nsfi=sio -
rtrv-scr-opc:nsfi=sio -
rtrv-scr-blkopc:nsfi=sio
Gateway Screening Configuration Procedures
To change the NSFI of any of these screens, perform one of these procedures.
Figure 10-8 Remove an Allowed SIO Screen

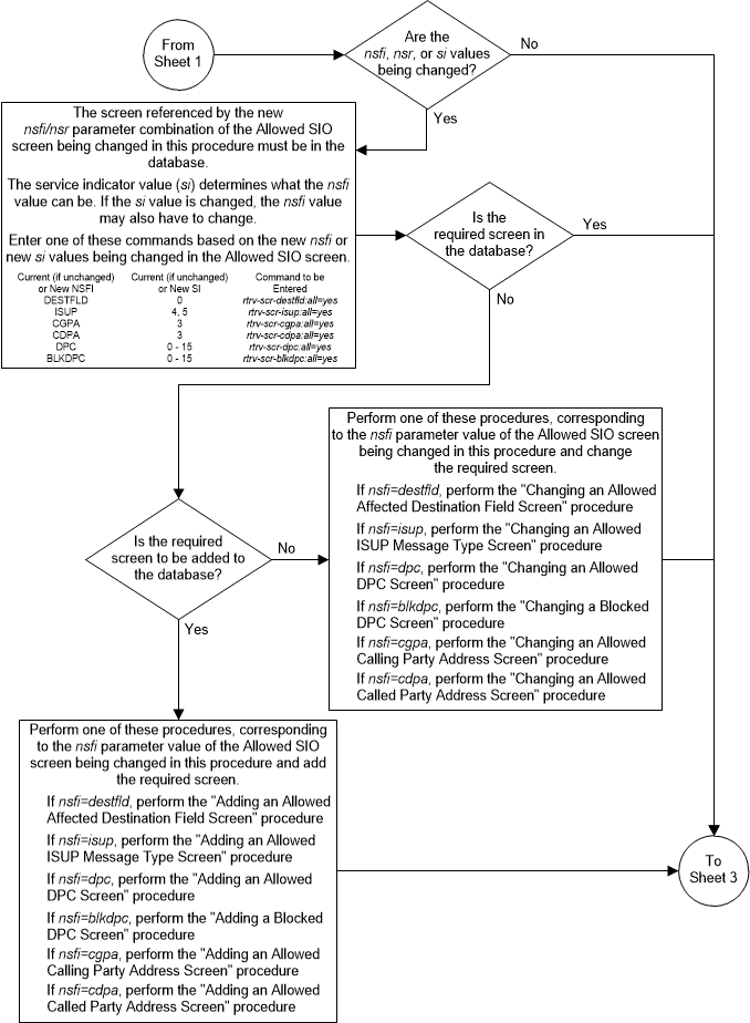
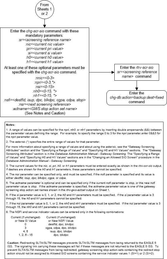
Changing an Allowed SIO Screen
This procedure is used to change the attributes of an
allowed signaling information octet (SIO) screen in the database using the
chg-scr-sio command. The parameters
used by the
chg-scr-sio command are shown in the
Gateway Screening Attributes
section. The general rules that apply to configuring gateway screening entities
are shown in the
Gateway Screening Configuration
section.
The example in this procedure change the allowed SIO
screen
ls02 to an
nic of 2, an
si of 14, and an
nsfi is stop.
The allowed SIO screen can reference one of the following screens.
- Allowed DPC
- Blocked DPC
- Allowed Affected Destination Field
- Allowed ISUP
- Allowed CGPA
- Allowed CDPA
Verifying the Gateway Screening Configuration
Enter the following commands to verify that these screens are in the database.
rtrv-scr-dpc:all=yesrtrv-scr-blkdpc:all=yesrtrv-scr-destfld:all=yesrtrv-scr-isup:all=yesrtrv-scr-cgpa:all=yesrtrv-scr-cdpa:all=yes
Gateway Screening Configuration Procedures
If the desired screen is not in the database, perform one of these procedures to add the desired screen to the database or change an existing screen in the database.
- Adding an Allowed DPC Screen
- Adding a Blocked DPC Screen
- Adding an Allowed Affected Destination Field Screen
- Adding an Allowed ISUP Message Type Screen
- Adding an Allowed Calling Party Address Screen
- Adding an Allowed Called Party Address Screen
- Changing an Allowed DPC Screen
- Changing a Blocked DPC Screen
- Changing an Allowed Affected Destination Field Screen
- Changing an Allowed ISUP Message Type Screen
- Changing an Allowed Calling Party Address Screen
- Changing an Allowed Called Party Address Screen
The new values for the network indicator code, service indicator, priority, and heading codes being changed in the allowed SIO screen cannot be in that screen.
Specifying a Range of Values
A range of values can be specified for the
pri,
h0, and
h1 parameters. If a range of values is
specified for any of these parameters and the
nic and
si values in the screening reference
name are not changed, the range of values for the
pri,
h0, or
h1 parameters cannot include any
values that are currently provisioned for the screening reference name.
For example, screening reference name
scr1 contains these entries:
SR NIC PRI SI H0 H1 NSFI NSR/ACT
SCR1 2 3 1 4 5 DPC LS03
SCR1 2 2 1 2 7 BLKDPC LS04
Another entry for screening reference
scr1 with the same
nic and
si values cannot be specified if:
- The range of values for the
priparameter includes the values 2 or 3 - The range of values for the
h0parameter includes the values 2 or 4 - The range of values for the
h1parameter includes the values 5 or 7.
Changing H0 and H1 Values
The
h0 and
h1 values must be specified if the
si value is 0, 1, or 2. If the
si value is 3 through 15, the
h0 and
h1 parameters cannot be specified.
The
nh0 and
nh1 values must be specified if the
nsi value is 0, 1, or 2. If the
nsi value is 3 through 15, the
nh0 and
nh1 parameters cannot be specified.
The
h0 and
h1 parameters must be specified if
either parameter is specified.
The
nh0 and
nh1 parameters must be specified if
either parameter is specified.
The H0 and H1 heading code values can be a single value, a range of values with the beginning and end of the range separated by double ampersands (for example, a range of values from 2 to 9, 2&&9), or with an asterisk (*). The asterisk specifies all possible values for the h0 and h1 parameters. Table 10-4 shows the valid combinations of these parameter values.
Table 10-4 Valid Value Combinations for H0 and H1 Parameters
| H0 | H1 |
|---|---|
| Single Value | Single Value |
| Single Value | Range of Values |
| Single Value | Asterisk |
| Range of Values | Asterisk |
| Asterisk | Asterisk |
Figure 10-9 Change an Allowed SIO Screen - Screen 1 of 3

Figure 10-10 Change an Allowed SIO Screen - Sheet 2 of 3

Figure 10-11 Change an Allowed SIO Screen - Sheet 3 of 3
